最大似然估计

349 阅读1分钟

欢迎点击「算法与编程之美」↑关注我们!

本文首发于微信公众号:"算法与编程之美",欢迎关注,及时了解更多此系列文章。

一、简介

最大似然估计法 是费希尔(Fisher, R. A.)于1912年首次提出,并于1921年和1925年的工作中加以发展使其更臻于完善。最大似然估计是一种求估计量的方法,它在求估计量的方法中地位是比较高的。那么最大似然估计法就是参数估计中的点估计中的一种方法的,按照变量的类型主要分为离散型随机变量与连续性随机变量。

二、离散型随机变量与连续性随机变量

1.离散型随机变量:640?wx_fmt=png

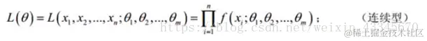
2.连续性随机变量:640?wx_fmt=png

三、最大似然估计的求法(求法比较固定)

1 根据题中所给条件写出似然函数:

640?wx_fmt=png

640?wx_fmt=png

2 取对数:lnL;

(因为要使似然函数取得最大值,对函数求导是乘法求导法则很麻烦,所以要利用对数求导)

640?wx_fmt=png

3 对 1, 2… m求偏导数

4 判断方程组640?wx_fmt=png是否有解,若有解,则其解就为我们所求的最大似然估计;若无解,则说明该函数单调递增或单调递减,与X轴没有交点,那么它的最大似然估计常在 i的边界点上达到。

四、举例

题目:

640?wx_fmt=png

答案:

640?wx_fmt=png

更多精彩文章:


640?wx_fmt=png

温馨提示: 点击页面右下角“写留言”发表评论,期待您的参与!期待您的转发!