何为泰勒公式

357 阅读4分钟

欢迎点击「算法与编程之美」↑关注我们!

本文首发于微信公众号:"算法与编程之美",欢迎关注,及时了解更多此系列文章。

在数学中,泰勒公式是一个用函数在某点的信息描述其附近取值的公式。如果函数足够光滑的话,在已知函数在某一点的各阶导数值的情况之下,泰勒公式可以用这些导数值做系数构建一个多项式来近似函数在这一点的邻域中的值。泰勒公式还给出了这个多项式和实际的函数值之间的偏差。(其实就是用多项式函数去逼近光滑函数)

推导过程

(1)引例

给出一个三次多项式如下图,我们来做一个貌似无趣的工作:将p(x)求导三次

640?wx_fmt=other

显然这个十分漂亮的结果在启发我们去寻找更一般的规律。

(2)n次多项式的泰勒公式

给出n次多项式p(x),按照上边的方法步骤,先求导n次。

640?wx_fmt=other

这里的S1叫做n次多项式的泰勒公式

640?wx_fmt=other

到这里我们能发现假设成功,接下来推导一般规律

640?wx_fmt=other

这里的S2被称为n次多项式的麦克劳林公式

------------------------------------------------------------------------------

但是到了这里,我们的推导过程才刚开始

上述的是n次多项式的泰勒公式是基础并且重要的,它将为下面要研究的任意函数的泰勒公式提供足够的准备。给出一个不是多项式的任意函数f(x),其定义域为D,接下来我们推导是否可以将f(x)也写成与多项式类似的漂亮的展开式。

仿照S2我们人为的构造一个有意思的多项式。

640?wx_fmt=png

记此式为:

640?wx_fmt=other

注意:(1)要能写成这样的式子,f(x)需要在点x0处存在n阶导数;

           (2)由于f(x)不是多项式,所以我们人为的写成Pn(x)!=f(x),所以写成这样的式子并非f(x)的展开式;

所以接下来我们需要研究两者之间究竟相差多少,为进一步研究此问题,需要设f(x)在定义域内存在n+1阶导数,后面会看到这里假设的用处。

640?wx_fmt=other

能看出,接下来的任务是讨论g(x0).

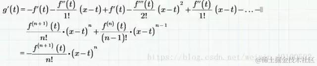
前面已经假设f(x)在定义域内n+1阶可导,故对g(t)求导,

640?wx_fmt=other

另取函数:

640?wx_fmt=png

有:640?wx_fmt=png于是

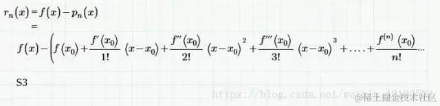
640?wx_fmt=other

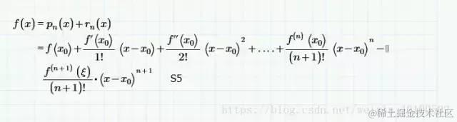
这里ξ介于x0与x之间,S4被叫做拉格朗日余项,   S5被叫做带拉格朗日余项的泰勒公式  

-----------------------------------------------------------------------------------

然后我们再令x0=0,则

640?wx_fmt=other

这里S6被称为带拉格朗日余项的麦克劳林公式

接下来,我们再详细讨论当  x趋于x0   时f(x)的展开式问题,这应该看作“极限工具贯穿整个微积分体系”这一原则的体现。

首先可以降低f(x)需要满足的条件,即只需要假设f(x)在点x0处的n阶导数连续,也就是f(x)的n阶导数在点x0处连续,这时,在S5中用(n-1)代替n,有

640?wx_fmt=other

S8被叫做带佩亚诺余项的泰勒公式,S9被叫做佩亚诺余项(佩亚诺是意大利数学家) 

到这里就结束了,下面我们再给出一些常用的带佩亚诺余项的麦克劳林公式

640?wx_fmt=other

带佩亚诺余项的泰勒公式一般用于计算题,证明题中一般用带拉格朗日余项的泰勒公式。

泰勒公式的用处

多项式这种函数是我们可以亲近的函数,它们很开放、很坦白,心里想什么就说什么,比如 f(x)=2-3x ,这个多项式会告诉我们想问的任何消息,甚至更多,譬如,我们问:“嘿,老兄,你在4那点的值是多少?”这时 f(x) 会毫不犹豫的回答:“你把4代进来,就会得到 2-3*4=-10,顺便告诉你,我最近长了奇怪的疹子,痒的要命,还好这两天症状减轻了...”。但是 ln(x)阴暗、多疑,要是问它:“嗨,你在3的值是多少啊?”你得到的答案可能是:“你要干什么?为什么打听别人的私事?你以为凭着你那点加减乘除的三脚猫功夫就可以查出我的底细?况且我在3的值是多少,干你什么事!”

更多精彩文章:


640?wx_fmt=png

温馨提示: 点击页面右下角“写留言”发表评论,期待您的参与!期待您的转发!