LeetCode刷题系列—101.Symmetric Tree 判断二叉树是否对称

172 阅读1分钟

1 题目描述

1.1 英文描述

Given the root of a binary tree, check whether it is a mirror of itself (i.e., symmetric around its center).

Example 1:

Input: root = [1,2,2,3,4,4,3]

Output: true

Example 2:

Input: root = [1,2,2,null,3,null,3]

Output: false

1.2 中文描述

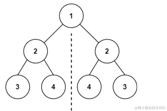
给你一个二叉树,你要判断它是否沿中轴线对称。

比如说,给你的二叉树是:

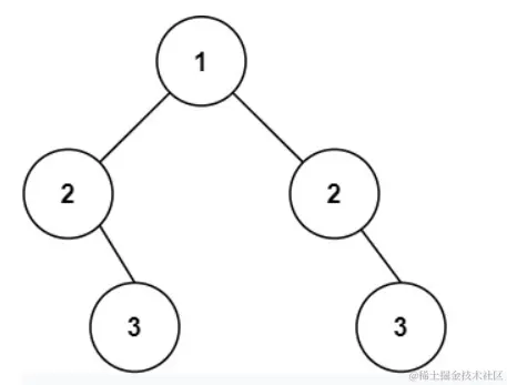
这棵二叉树是沿中轴线对称的,因此要返回 true。如果我去掉两个 4:

就不对称了,这时就要返回 false。

2 前置条件

2.1 树的结构

    public static class TreeNode{

        private int value;

        private TreeNode left;

        private TreeNode right;

        public TreeNode(){

        }

        public TreeNode(int value, TreeNode left, TreeNode right) {
            this.value = value;
            this.left = left;
            this.right = right;
        }
    }

3 解法

3.1 解法1 - 递归

使用递归解决

    /**
     * 方式1:递归
     */
    public static boolean isSymmetricTree(TreeNode root){
        return root != null && helper(root.left,root.right);
    }

    public static boolean helper(TreeNode left,TreeNode right){
        if(left == null && right == null){
            return true;
        }
        if((left != null && right == null) || (left == null && right != null)){
            return false;
        }
        if(left.value != right.value){
            return false;
        }
        return helper(left.left,right.right) && helper(left.right,right.left);
    }

3.2 解法2 - 栈

使用栈辅助解决

    /**
     * 方式2:栈
     */
    public static boolean isSymmetricTree2(TreeNode root){
        if(root == null){
            return true;
        }

        Stack<TreeNode> stack = new Stack<>();

        if(root.left != null){
            if(root.right != null){
                stack.push(root.left);
                stack.push(root.right);
            }else {
                return false;
            }
        }else if(root.right != null){
            return false;
        }

        while (!stack.isEmpty()){
            if(stack.size() % 2 != 0){
                return false;
            }

            TreeNode left = stack.pop();
            TreeNode right = stack.pop();

            if(left.value != right.value){
                return false;
            }

            if(left.left != null){
                if(right.right != null){
                    stack.push(left.left);
                    stack.push(right.right);
                }else {
                    return false;
                }
            }else if(right.right != null){
                return false;
            }

            if(left.right != null){
                if(right.left != null){
                    stack.push(left.right);
                    stack.push(right.left);
                }else {
                    return false;
                }
            }else if(right.left != null){
                return false;
            }

        }

        return true;
    }
欢迎关注个人公众号,可直接扫描以下二维码或微信搜索“阿毛聊技术”进行关注。