009_触摸屏编程_校准原理

995 阅读1分钟

我们需要校准触摸屏,所谓校准就是找到一个公式把电压值转换为坐标值。

触摸屏和LCD是两个不一样的东西,触摸屏覆盖在LCD。

QQ图片20210512195513.png

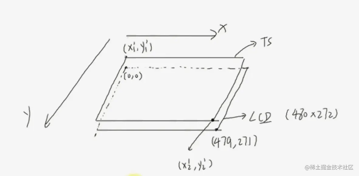
问:得到触电的(x1,y1)怎么换算出LCD(x,y)?

QQ图片20210512200035.png

QQ图片20210512200913.png

QQ图片20210512201312.png

X轴方向

s1’是TS上X轴两个点的距离

s1 是LCD上X轴两个点的距离

s2’ s2

Kx= LCD距离/触摸屏距离

= (s1 + s2) / (s1’ + s2’)

= 2s/(s1’ + s2’)

Y轴方向

TS距离是d1’

LCD距离是d1

Ky=(d1 + d2) / (d1’ + d2’)

= 2d / (d1’ + d2’)

QQ图片20210512202411.png

我们现在有了斜率,给定一个坐标,我们需要需要原点的触屏LCD坐标

原点我们选在最中间 可以忽略掉上下左右的偏差

原点坐标在触摸屏上是xc' yc',在LCD上是 xc yc ,那我们的校准公式,对于给定的x3,我们如何求出x

X= (x3 - xc’ ) * Kx + xc

y = (y’ - yc’) * Ky + yc

我们需要点击触摸屏上这5个点,同时需要把这五个点坐标打印显示出来.