设计模式之对象池模式

110 阅读2分钟

对象池模式

对象池模式, 或者称为对象池服务, 其意图为: 通过循环使用对象, 减少资源在初始化和释放时的昂贵损耗(这里的"昂贵"可能是时间效益(如性能), 也可能是空间效益(如并行处理), 在大多情况下, 指性能)

简单的说, 在需要时,从池中提取,不用时,放回池中,等待下一个请求. 典型的例子是连接池和线程池.

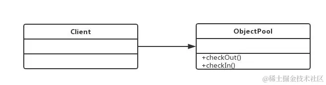
类图如下:

设计模式之对象池模式

 

其中角色如下:

  1. ObjectPool 对象池角色: 提供对象池, 其中有两个公共方法, checkOut负责从池中提取对象, checkIn负责回收对象(很多时候,checkIn已经自动化处理,不需要显示生命, 如连接池)

对象池实例代码:

设计模式之对象池模式

 

这是一个简单的对象池实现,在实际应用中还需要考虑池的最小值、最大值、池化对象状态(若有,重点考虑)、异常处理(如满池情况)等方面,特别是池化对象状态,若是有状态的业务对象则需要重点关注.


把对象池化的本意是期望一次性初始化所有对象,减少对象在初始化上的昂贵性能开销,从而提高系统整体性能. 然而池化处理本身也要付出代价, 因此,并非任何情况下都适合采用对象池化.

通常情况下, 在重复生成对象的操作成为影响性能的关键时,才适合进行对象池化.但是若池化所能带来的性能提高并不显著或重要的话,建议放弃对象池化技术,以保持代码的简明,转而使用更好的硬件来提高性能为佳.

对象池技术在Java领域已经非常成熟, 只要做过企业级开发的人员,基本都用过 C3P0、DBCP、Proxool等连接池, 这是对象池模式的典型应用. 在实际开发中若需要对象池, 建议使用 common-pool 工具包来实现, 简单、快捷、高效.