数组异或

138 阅读1分钟

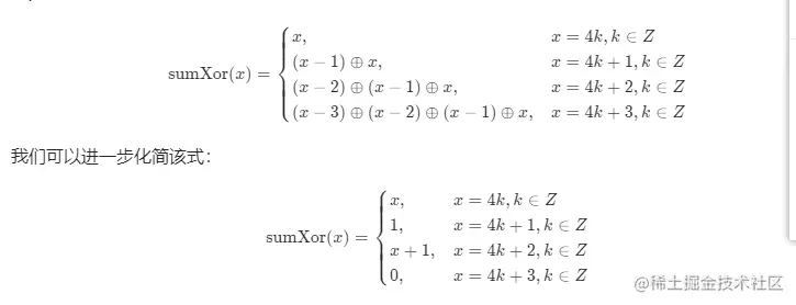
⊕ 为异或运算,异或运算满足以下性质:

1. x⊕x=0;

2. x⊕y=y⊕x(交换律);

3. (x⊕y)⊕z=x⊕(y⊕z)(结合律);

4. x⊕y⊕y=x(自反性);

5. ∀i∈Z,有 4i⊕(4i+1)⊕(4i+2)⊕(4i+3)=0。

例:

 0 ⊕ 1 ⊕ 2 ⊕ 3 = 0;
 
 0 ⊕ 1 ⊕ 2 = 3;
 
 0 ⊕ 1 = 10 = 0;
 
 4 ⊕ 5 ⊕ 6 ⊕ 7 = 0

[T})@9C@KU3T40XI]YF17_X.png