并发关键字volatile(重排序和内存屏障)

1,742 阅读6分钟

Java 语言中的**volatile**变量可以被看作是一种 **“程度较轻的 synchronized”;**与 synchronized 块相比,**volatile 变量所需的编码较少,并且运行时开销也较少,**但是它所能实现的功能也仅是 synchronized 的一部分。

锁和volatile

锁提供了两种主要特性:原子性和可见性。

原子性即一次只允许一个线程持有某个特定的锁,一次就只有一个线程能够使用共享数据。可见性是必须确保释放锁之前对共享数据做出的更改对于随后获得该锁的另一个线程是可见的 。

Volatile 变量具有 synchronized 的可见性特性,但是不具备原子特性。
当一个变量定义为 volatile 之后,将具备:

**1.保证此变量对所有的线程的可见性,当一个线程修改了这个变量的值,volatile 保证了新值能立即同步到主内存,其它线程每次使用前立即从主内存刷新。**但普通变量做不到这点,普通变量的值在线程间传递均需要通过主内存来完成。
2.禁止指令重排序优化。有volatile修饰的变量,赋值后多执行了一个“load addl $0x0, (%esp)”操作,这个操作相当于一个内存屏障(指令重排序时不能把后面的指令重排序到内存屏障之前的位置)。

我们通过有序性来详细看下指令重排序。

指令重排序

有序性:**即程序执行的顺序按照代码的先后顺序执行。**举个简单的例子,看下面这段代码:

int i = 0;              
boolean flag = false;
i = 1;                //语句1  
flag = true;          //语句2

从代码顺序上看,语句1是在语句2前面的,那么JVM在真正执行这段代码的时候会保证**语句1一定会在语句2前面执行吗?**不一定,为什么呢?这里可能会发生指令重排序(Instruction Reorder)。
指令重排序:

一般来说,处理器为了提高程序运行效率,可能会对输入代码进行优化,它不保证程序中各个语句的执行先后顺序同代码中的顺序一致,但是它会保证程序最终执行结果和代码顺序执行的结果是一致的。

比如上面的代码中,语句1和语句2谁先执行对最终的程序结果并没有影响,那么就有可能在执行过程中,语句2先执行而语句1后执行。虽然处理器会对指令进行重排序,但是它会保证程序最终结果会和代码顺序执行结果相同,那么它靠什么保证的呢?靠的是数据依赖性:

编译器和处理器在重排序时,会遵守数据依赖性,编译器和处理器不会改变存在数据依赖关系的两个操作的执行顺序。

举例如下代码

double pi  = 3.14;    //A  
double r   = 1.0;     //B  
double area = pi * r * r; //C  

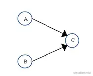
上面三个操作的数据依赖关系如下图所示

A和C之间存在数据依赖关系,同时B和C之间也存在数据依赖关系。因此在最终执行的指令序列中,C不能被重排序到A和B的前面(C排到A和B的前面,程序的结果将会被改变)。但A和B之间没有数据依赖关系,编译器和处理器可以重排序A和B之间的执行顺序。下图是该程序的两种执行顺序:

在计算机中,软件技术和硬件技术有一个共同的目标:在不改变程序执行结果的前提下,尽可能的开发并行度。编译器和处理器都遵从这一目标。
这里所说的数据依赖性仅针对
单个处理器中执行的指令序列和单个线程中执行的操作
,在单线程程序中,对存在控制依赖的操作重排序,不会改变执行结果;但在多线程程序中,对存在控制依赖的操作重排序,可能会改变程序的执行结果。这是就需要内存屏障来保证可见性了。

内存屏障

内存屏障分为两种:Load Barrier 和 Store Barrier即读屏障和写屏障。
内存屏障有两个作用:

1.阻止屏障两侧的指令重排序;
2.强制把写缓冲区/高速缓存中的脏数据等写回主内存,让缓存中相应的数据失效。

  • 对于Load Barrier来说,在指令前插入Load Barrier,可以让高速缓存中的数据失效,强制从新从主内存加载数据;
  • 对于Store Barrier来说,在指令后插入Store Barrier,能让写入缓存中的最新数据更新写入主内存,让其他线程可见。

java的内存屏障通常所谓的四种即LoadLoad,StoreStore,LoadStore,StoreLoad实际上也是上述两种的组合,完成一系列的屏障和数据同步功能。

**LoadLoad屏障:**对于这样的语句Load1; LoadLoad; Load2,在Load2及后续读取操作要读取的数据被访问前,保证Load1要读取的数据被读取完毕。
**StoreStore屏障:**对于这样的语句Store1; StoreStore; Store2,在Store2及后续写入操作执行前,保证Store1的写入操作对其它处理器可见。
**LoadStore屏障:**对于这样的语句Load1; LoadStore; Store2,在Store2及后续写入操作被刷出前,保证Load1要读取的数据被读取完毕。
**StoreLoad屏障:**对于这样的语句Store1; StoreLoad; Load2,在Load2及后续所有读取操作执行前,保证Store1的写入对所有处理器可见。它的开销是四种屏障中最大的。在大多数处理器的实现中,这个屏障是个万能屏障,兼具其它三种内存屏障的功能

volatile**的内存屏障策略非常严格保守,**非常悲观且毫无安全感的心态:

在每个volatile写操作前插入StoreStore屏障,在写操作后插入StoreLoad屏障;
在每个volatile读操作前插入LoadLoad屏障,在读操作后插入LoadStore屏障;

由于内存屏障的作用,避免了volatile变量和其它指令重排序、线程之间实现了通信,使得volatile表现出了锁的特性。

volatile 性能:

volatile 的读性能消耗与普通变量几乎相同,但是写操作稍慢,因为它需要在本地代码中插入许多内存屏障指令来保证处理器不发生乱序执行。