完全二叉树和满二叉树的区别

116 阅读1分钟

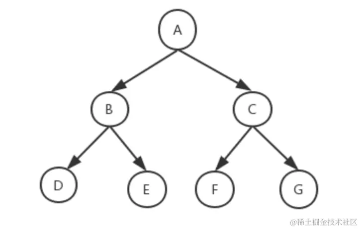
满二叉树

如图

QQ20210507-084241@2x.png

性质

1、一个层数为k 的满二叉树总结点数为:2^k - 1
2、第i层上的结点数为:2^(i-1)
3、一个层数为k的满二叉树的叶子结点个数(也就是最后一层):2^(k-1)

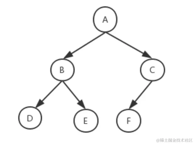
完全二叉树

如图

完全.png

性质

完全二叉树是由满二叉树而引出来的,若设二叉树的深度为h,除第 h 层外,其它各层 (1~h-1) 的结点数都达到最大个数(即1~h-1层为一个满二叉树),第 h 层所有的结点都连续集中在最左边,这就是完全二叉树。

堆一般都是用完全二叉树来实现的。