16-数据结构-二叉树(第二部分:自平衡二叉树,自平衡二叉树是建立在二叉搜索树基础之上的,需要先弄懂之前的二叉搜索树)

737 阅读16分钟

树结构的经典问题之自平衡树

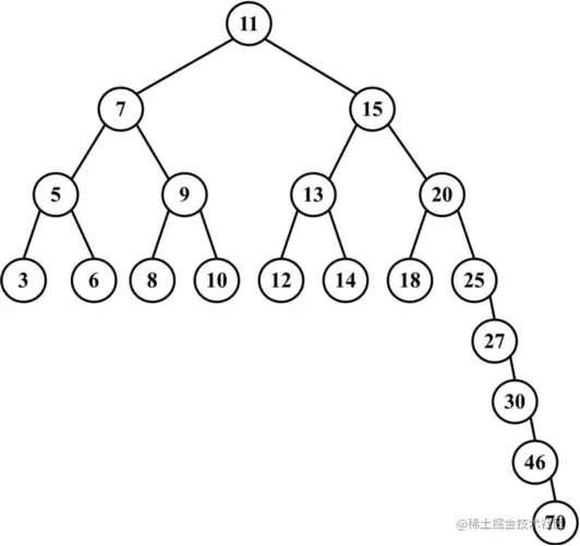
BST树存在一个问题:取决于你添加的节点数,树的一条边可能会非常深;也就是说,树的一条分支会有很多层,而其他的分支却只有几层,如下图所示

image.png

这样,在需要在某条边上添加、移除和搜索某个节点的时候,会引起一些性能问题。

为了解决这个问题,有一种树叫作Adelson-Velskii-Landi 树(AVL 树)。

AVL树是一种自平衡二叉搜索树,意思是任何一个节点左右两侧子树的高度之差最多为1

理清基本概念

节点的高度

image.png

如上图所示:

根节点3的左侧除了一个子节点2再也没有其他子节点,而节点2本身也是叶节点,所以左侧子树的高度就为0;

根节点3的右侧有一个子节点6子节点6下方左右两侧都有子节点,其左侧子节点5下方还有一个叶节点4,所以节点4的高度是0,节点5的高度是1;

节点6的右侧有一个子节点7,而节点7下面也没有其他子节点,所以节点7也是叶节点,所以节点7的高度也是0;

节点6作为节点5节点7的父节点,它的高度要以左右两侧中最高的一方为准,所以节点6的高度要在节点5的高度1之上再加1,即节点6的高度为2;

根节点3又作为节点2节点6的父节点,节点3的高度也要以左右两侧中最高的一方为准,所以根节点3的高度要在节点6的高度2之上再加1,即根节点3的高度为3。

平衡因子

AVL树中,需要对每个节点计算右子树高度(hr)和左子树高度(hl)之间的差值,该值(hr-hl)应为01-1,如下图所示:

image.png

如果结果不是这三个值之一,则需要平衡该AVL树。这就是平衡因子的概念。

平衡操作

在对AVL树添加或移除节点后,要计算并验证树是否需要进行平衡。向AVL树插入节点时,可以执行单旋转或者双旋转两中平衡操作,分别对应四种场景:

场景一:

左左(LL):向右的单旋转

此时又可细分为两种情况:

情况1:

节点的左侧子节点的右下方没有子节点且左侧偏重,如下图所示:

image.png

根节点3左侧子节点2的左侧有子节点1节点2的右侧没有子节点,此时只需要将节点2作为新的根节点,节点3变成新的根节点2的右侧子节点即可保持平衡

情况2:

节点的左侧子节点的左侧偏重,且左侧子节点的右侧有子节点,如下图所示:

向右的单旋转一开始的情况.png

根节点50左侧子树30偏重,且左侧子树30左侧子节点10的左下方也有子节点5,而左侧子树30右侧子节点40没有子节点,自己就是叶节点。此时需要平衡的话:

第一步,先将左侧子树30根节点50分离,如下图所示:

向右的单旋转1.png

第二步,将节点30下方的右侧子节点40抽离出来,移植到节点50的左侧,成为节点50的左侧子节点,如下图所示:

向右的单旋转2.png

第三步,将节点50这一系,整体移植到节点30右侧,成为节点30的右侧子树,这样就完成了平衡,如下图所示:

向右的单旋转3.png

综上所述,LL使用场景为:节点的左侧子节点的高度大于右侧子节点的高度时,并且左侧子节点也是平衡或者左侧较重的情况。

场景二:

右右(RR):向左的单旋转

此时又可细分为两种情况:

情况1:

节点的右侧子节点的左下方没有子节点且右侧偏重,如下图所示:

image.png

根节点1右侧子节点2的右侧有子节点3节点2的左侧没有子节点,此时只需要将节点2作为新的根节点,节点1变成新的根节点2的左侧子节点即可保持平衡

情况2:

节点的右侧子节点的右侧偏重,且右侧子节点的左侧有子节点,如下图所示:

向左的单旋转一开始的情况.png

根节点50右侧子树70偏重,且右侧子树70右侧子节点80的右下方也有子节点90,而右侧子树70左侧子节点60没有子节点,自己就是叶节点。此时需要平衡的话:

第一步,先将右侧子树70根节点50分离,如下图所示:

向左的单旋转1.png

第二步,将节点70下方的左侧子节点60抽离出来,移植到节点50的右侧,成为节点50的右侧子节点,如下图所示:

向左的单旋转2.png

第三步,将节点50这一系,整体移植到节点70左侧,成为节点70的左侧子树,这样就完成了平衡,如下图所示:

向左的单旋转3.png

综上所述,RR使用场景为:节点的右侧子节点的高度大于左侧子节点的高度时,并且右侧子节点也是平衡或者右侧较重的情况。

场景三:

左右(LR):向右的双旋转(先LL向右的单旋转,再RR向左的单旋转)

此时又可细分为两种情况:

情况1:

节点的左偏重,左侧子节点的右侧子节点是平衡的,如下图所示:

向右的双旋转的一开始的情况.png

根节点3的左侧偏重,且左侧子节点1的右侧偏重,左侧子节点1右侧子节点2下方没有子节点,所以节点2下方是平衡的,但是节点3、1、2整体是不平衡的,此时需要保持平衡的话:

第一步,先将节点2从原来的位置替换掉节点1的位置,并且将节点1变成节点2的左侧子节点,这样就变成了之前场景一(左左)中的情况1了,如下图所示:

向右的双旋转1.png

第二步,像之前场景一(左左)中的情况1那样,将根节点3进行向右的单旋转,成为节点2的右侧子节点即可保持平衡,如下图所示:

向右的双旋转2.png

流程图如下:

image.png

情况2:

节点的左侧子树偏重,左侧子树的右侧偏重,且左侧子树的右侧子节点的下方是不平衡的,如下图所示:

2向右的双旋转的一开始的情况.png

根节点50的左侧子树偏重,左侧子节点30右侧子节点40的下方只有左边一侧有子节点35,所以此时子节点40是不平衡的,且整体也都是不平衡的,此时需要保持平衡的话:

第一步,先将根节点50与左侧子树分离,如下图所示:

2向右的双旋转1.png

第二步,将节点40左侧子节点35替换到节点40原来的位置,此时节点35成为节点30右侧的新子节点,然后将节点40变成节点30的父节点,如下图所示:

2向右的双旋转2.png

第三步,将节点40这一系整体作为根节点50的左侧子树,这样就又变成了之前场景一(左左)中的情况1了(我知道上一步直接将节点50这一系变成节点40的右侧子树就能直接平衡,但是变回场景一中的情况1有利于代码层面的复用),如下图所示:

2向右的双旋转2.1.png

第四步,像之前场景一(左左)中的情况1那样,将根节点50连带着子节点70这一系整体进行向右的单旋转,作为节点40的右侧子树,这样整体就保持平衡,如下图所示:

2向右的双旋转3.png

整体流程如下:

2向右的双旋转的整体流程图.png

LR使用场景:节点的左侧子节点高度大于右侧子节点的高度,并且左侧子节点的右侧较重的情况。

场景四:

右左(RL):向左的双旋转(先RR向左的单旋转,再LL向右的单旋转)

此时又可细分为两种情况:

情况1:

节点的右偏重,右侧子节点的左侧子节点是平衡的,如下图所示:

向左的双旋转的一开始的情况.png

根节点1的右侧偏重,且右侧子节点3的左侧偏重,右侧子节点3左侧子节点2下方没有子节点,所以节点2下方是平衡的,但是节点1、3、2整体是不平衡的,此时需要保持平衡的话:

第一步,先将节点2从原来的位置替换掉节点3的位置,并且将节点3变成节点2的右侧子节点,这样就变成了之前场景二(右右)中的情况1了,如下图所示:

向左的双旋转1.png

第二步,像之前场景二(右右)中的情况1那样,将根节点1进行向左的单旋转,成为节点2的左侧子节点即可保持平衡,如下图所示:

向左的双旋转2.png

流程图如下:

image.png

情况2:

节点的右侧子树偏重,右侧子树的左侧偏重,且右侧子树的左侧子节点的下方是不平衡的,如下图所示:

2向左的双旋转的一开始的情况.png

根节点70的右侧子树偏重,右侧子节点80左侧子节点72的下方只有右边一侧有子节点75,所以此时子节点72是不平衡的,且整体也都是不平衡的,此时需要保持平衡的话:

第一步,先将根节点70与右侧子树分离,如下图所示:

2向左的双旋转1.png

第二步,将节点72右侧子节点75替换到节点72原来的位置,此时节点75成为节点80左侧的新子节点,然后将节点72变成节点80的父节点,如下图所示:

2向左的双旋转2.png

第三步,将节点72这一系整体作为根节点70的右侧子树,这样就又变成了之前场景二(右右)中的情况1了(我知道上一步直接将节点70这一系变成节点72的左侧子树就能直接平衡,但是变回场景二中的情况1有利于代码层面的复用),如下图所示:

2向左的双旋转2.1.png

第四步,像之前场景二(右右)中的情况1那样,将根节点70连带着子节点50这一系整体进行向左的单旋转,作为节点72的左侧子树,这样整体就保持平衡,如下图所示:

2向左的双旋转3.png

整体流程如下:

2向左的双旋转的整体流程图.png

自平衡二叉树的自我实现

既然AVL树是一个BST树,我们可以扩展我们写的BST类,只需要覆盖用来维持AVL树平衡的方法,也就是insertinsertNoderemoveNode方法。所有其他的BST方法将会被AVLTree类继承。

(如果代码看不懂,没太大关系,请千万要先把图中的转换看懂!用了一上午才做好的这些图,也不知道其他小伙伴能不能理解。)

// 先将之前实现的二叉搜索树直接copy过来:

// 树中每个存储数据的地方叫元素节点,所以要创建一个节点的类
class Node{
    constructor(key){ // 这里的key不像是栈或者队列里面的索引,树的key直接对应的就是节点所存储的数据值
        this.key = key // 存储节点值
        this.left = null // 索引,指向左侧子节点,就像双向链表,链表是上下结构(指针域指向上和下),树是左右结构(指向左和右)
        this.right = null // 索引,指向右侧子节点
    }
}

// 二叉搜索树类
class BinarySearchTree{
    constructor(){
        this.root = null // 二叉树的根节点,默认值为null,初始化
    }

    insert(key){ // 往二叉树里面插入新的值
        if(!this.root){ // 如果根节点没有值,那么就插到二叉树的根节点中
            this.root = new Node(key)
        }else{ // 如果根节点已经有了值,做判断,比较插入的子节点的值与父节点的值得大小,来决定是左侧子节点还是右侧子节点
            this.insertNode(this.root,key) // this.root是因为要每次插入新值的时候,要从根节点开始做比较大小的判断并插入值
        }
    }

    // insertNode方法是为了在已经有了大量数据的时候,能够递归地调用
    insertNode(node,key){ // 往某个节点插入一个值,node表示父节点,key表示子节点的值,子节点的值要和父节点的值比较后决定左右侧
        if(key < node.key){ // 如果待插入的值 比 父节点的值小,插左边
            // 还要细分,如果该父节点的左边已经有了一个子节点(因为不可能每次都是插入根节点的子节点,万一有很多层),那么就要判断
            if(node.left){ // 该父节点左侧已有子节点,待插入的值 就要成为 该子节点 的 子节点(不确定有多少层,所以要递归)
                this.insertNode(node.left,key) // 递归调用往某个节点插入值的方法,这次是左侧子节点的值与待插入值比较大小
            }else{ // 如果该父节点左侧没有子节点,直接插入成为该父节点的子节点
                node.left = new Node(key)
            }
        }else{ // 大于或是等于插右边同样右侧子节点也要进行递归判断
            if(node.right){ // 该父节点右侧已有子节点,待插入的值 就要成为 该子节点 的 子节点(不确定有多少层,所以要递归)
                this.insertNode(node.right,key) // 递归调用往某个节点插入值的方法,这次是右侧子节点的值与待插入值比较大小
            }else{ // 如果该父节点右侧没有子节点,直接插入成为该父节点的子节点
                node.right = new Node(key)
            }
        }
    }

    min(){ // 查询整个二叉树的最小值,同样需要一个递归方法,因为无法得知哪个节点才是最小值
        return this.minNode(this.root) // 返回 从根节点开始递归判断查找最小值的函数方法 的 返回值
    }

    // 注意区分min方法和minNode方法的区别,一个是查找整个树的最小值,一个是从某个节点开始往下的最小值(不一定是整个树的最小值)
    minNode(node){ // 从某个指定的节点开始 递归地判断查找最小值方法,node表示传入的节点
        let current = node // 将每一次当前传入的节点保存在变量中
        while(current && current.left){ // 在 当前节点存在值 并且 当前节点的左侧子节点也存在值时,说明还有更小的值
            current = current.left // 就将左侧子节点的变成当前节点,继续进行循环比较
        }
        // 否则直接进行返回,左侧没有子节点就表明当前节点就是最小值所在节点
        return current
    }

    max(){ // 查询整个二叉树的最大值,同样需要一个递归方法,因为无法得知哪个节点才是最小值
        return this.maxNode(this.root) // 返回 从根节点开始递归判断查找最小值的函数方法 的 返回值
    }
    // 注意区分max方法和maxNode方法的区别,一个是查找整个树的最大值,一个是从某个节点开始往下的最大值(不一定是整个树的最大值)
    maxNode(node){ // 从某个指定的节点开始 递归地判断查找最大值方法,node表示传入的节点
        let current = node // 将每一次当前传入的节点保存在变量中
        while(current && current.right){ // 当 当前节点存在值 并且 当前节点的右侧子节点也存在值时,说明还有更大的值
            current = current.right // 就将右侧子节点的变成当前节点,继续进行循环比较
        }
        // 否则直接进行返回,右侧没有子节点就表明当前节点就是最大值所在节点
        return current
    }

    // 中序遍历
    inOrderTraverse(cb){ // 接收一个回调函数,中序遍历排序
        this.inOrderTraverseNode(this.root,cb) // 从根节点开始中序遍历排序
    }

    inOrderTraverseNode(node,cb){ // 中序遍历递归方法
        if(node){ // 当该节点存在的时候才做遍历操作
            this.inOrderTraverseNode(node.left,cb)
            cb(node.key) 
            this.inOrderTraverseNode(node.right,cb) 
        }
    }

    // 先序遍历
    preOrderTraverse(cb){ // 接收一个回调函数,先序遍历数据的结构
        this.preOrderTraverseNode(this.root,cb) // 从根节点开始先序遍历
    }

    preOrderTraverseNode(node,cb){ // 先序遍历递归方法
        if(node){ // 当该节点存在的时候才做遍历操作
            cb(node.key) 
            this.preOrderTraverseNode(node.left,cb)
            this.preOrderTraverseNode(node.right,cb) 
        }
    }

    // 后序遍历
    postOrderTraverse(cb){ // 接收一个回调函数,后序遍历
        this.postOrderTraverseNode(this.root,cb) // 从根节点开始后序遍历排序
    }

    postOrderTraverseNode(node,cb){ // 后序遍历递归方法
        if(node){ // 当该节点存在的时候才做遍历操作
            this.postOrderTraverseNode(node.left,cb)
            this.postOrderTraverseNode(node.right,cb)
            cb(node.key)
        }
    }

    // 查找功能
    searchKey(key){
        return this.searchNode(this.root,key)
    }

    searchNode(node,key){ // 递归方法
        // 先判断树里面有没有东西
        if(node){ // 树中必须有节点才能进行搜索
            // 再判断值的大小,决定从哪边搜
            if(key < node.key){ // 如果传入的值比当前节点的值小,继续搜索左侧子节点
                return this.searchNode(node.left,key)
            }else if(key > node.key){ // 如果传入的值比当前节点的值大,继续搜索右侧子节点
                return this.searchNode(node.right,key)
            }else{ // 既不是大于也不是小于那就是搜到了
                return true
            }
        }else{ // 如果节点都不存在那就不用搜了
            return false
        }
    }

    // 删除功能
    removeKey(key){
        this.root = this.removeNode(this.root,key)
    }

    removeNode(node,key){
        if(node){ // 树里面有节点存在才能删
            if(key < node.key){ // 从左侧开始搜
                node.left = this.removeNode(node.left,key)
                return node // 返回拼接后的节点
            }else if(key > node.key){ // 从右侧开始搜
                node.right = this.removeNode(node.right,key)
                return node // 返回拼接后的节点
            }else{ // 找到了要删除的对象
                // 第一种情况:待删除的节点下面左右两侧都有子节点
                if(node.left && node.right){
                    let target = this.minNode(node.right) // 将待删除节点的右侧子节点的所有子节点中最小的子节点找出来,即最小孙子节点
                    node.key = target.key // 最小孙子节点替补到被删除节点的位置上
                    node.right = this.removeNode(node.right,key) // 把那个找来做替补的最小孙子节点从原来的孙子位置上删掉
                    return node
                }

                // 第二种情况:待删除节点左侧或者右侧有子节点
                if(node.left || node.right){
                    if(node.left){ // 如果待删除节点左侧有子节点,左侧子节点替代被删除节点
                        node = node.left
                    }
                    if(node.right){ // 同理
                        node = node.right
                    }
                    return node // 返回替代后的节点
                }

                // 第三种情况:待删除节点就是一个叶节点
                node = null
                return node
            }
        }else{
            return null
        }
    }

    // 修改功能
    updateKey(key,key1){
        return this.updateNode(this.root,key,kye1)
    }

    updateNode(node,key,key1){ // 递归方法
        // 先判断树里面有没有东西
        if(node){ // 树中必须有节点才能进行搜索
            // 再判断值的大小,决定从哪边搜
            if(key < node.key){ // 如果传入的值比当前节点的值小,继续搜索左侧子节点
                return this.updateNode(node.left,key,key1)
            }else if(key > node.key){ // 如果传入的值比当前节点的值大,继续搜索右侧子节点
                return this.updateNode(node.right,key,key1)
            }else{ // 既不是大于也不是小于那就是搜到了
                node.key = key1
                return true
            }
        }else{ // 如果节点都不存在那就不用搜了
            return false
        }
    }
}

// 下面部分就是真正开始实现自平衡二叉树了

// 先定义一个平衡因子标准映射表,方便后期阅读
const BalanceFactor = { 
    UNBALANCED_RIGHT:-2, // 右边极其不平衡
    SLIGHTLY_UNBALANCED_RIGHT:-1, // 右边有点不平衡
    BALANCED:0, // 左右都平
    UNBALANCED_LEFT:1, // 左边有点不平衡
    SLIGHTLY_UNBALANCED_LEFT:2, // 左边极其不平衡
}

// 自平衡二叉树类 继承 二叉搜索树类
class AVLTree extends BinarySearchTree{
    constructor(){
        super()
    }

    getNodeHeight(node){ // 获取传入节点高度
        if(node){ // 判断节点是否存在
            return Math.max(this.getNodeHeight(node.left),this.getNodeHeight(node.right)) + 1 // 发生了隐式类型转换,递归入口
            // 如果是根节点传入,左侧节点没有,返回-1,右侧节点也没有,返回-1,Math.max(-1,-1)取得就是-1,-1+1等于0
        }else{
            return -1 // 递归出口
        }
    }

    getBalanceFactor(node){ // 计算平衡因子
        const heightDifference = this.getNodeHeight(node.left) - this.getNodeHeight(node.right) // 用左边子树高度减去右边子树高度
        switch(heightDifference){
            case -2:
                return BalanceFactor.UNBALANCED_RIGHT
            case -1:
                return BalanceFactor.SLIGHTLY_UNBALANCED_RIGHT
            case 0:
                return BalanceFactor.BALANCED
            case 1:
                return BalanceFactor.SLIGHTLY_UNBALANCED_LEFT
            case 2:
                return BalanceFactor.UNBALANCED_LEFT
        }
    }

    // 整个左侧子树较重,将左侧子树右旋
    rotationLL(node){ // 左左(LL):向右的单旋转
        let temp = node.left 
        node.left = temp.right 
        temp.right = node 
        return temp
    }

    // 整个右侧子树较重,将右侧子树左旋
    rotationRR(node){ // 右右(RR):向左的单旋转
        let temp = node.right 
        node.right = temp.left 
        temp.left = node 
        return temp
    }

    // 左侧子树的右侧较重,先变成整个左侧子树较重,再将整个左侧子树右旋
    rotationLR(node){ // 左右(LR):向右的双旋转(先RR向左的单旋转,再LL向右的单旋转)
        node.left = this.rotationRR(node.left) // 先把左侧子节点左单旋转,左侧子树传入RR就会变成先平衡左侧子树的右侧较重部分,使其变成整个左侧子树较重
        return this.rotationLL(node) // 当整个左侧子树较重时,就进行向右的单旋转
    }

    // 右侧子树的左侧较重,先变成整个右侧子树较重,再将整个右侧子树左旋
    rotationRL(node){ // 右左(RL):向左的双旋转(先LL向右的单旋转,再RR向左的单旋转)
        node.right = this.rotationLL(node.right) // 先把右侧子节点右单旋转,右侧子树传入LL就会变成先平衡右侧子树的左侧较重部分,使其变成整个右侧子树较重
        return this.rotationRR(node) // 当整个右侧子树较重时,就进行向左的单旋转
    }

    // 插入新节点
    insert(key) {
        this.root = this.insertNode(this.root,key)
    }

    insertNode(node, key) { // 插入新节点的递归方法
        if(!node){ // 如果node节点不存在,生成并返回node节点
            return new Node(key)
        }else if(key < node.key){ // 如果待插入的值小于当前节点的值,插入节点的左侧子节点
            node.left = this.insertNode(node.left,key)
        }else if(key > node.key){ // 如果待插入的值大于当前节点的值,插入节点的右侧子节点
            node.right = this.insertNode(node.right,key)
        }else{ // 如果值重复了,返回节点
            return node
        }

        // 上面的代码和BST一模一样,现在下面重点来了
        // 插入完成之后,判断当前节点是否平衡,如不平衡,则进行平衡操作
        switch(this.getBalanceFactor(node)){ // 每次都平衡一点点,立马对新插入的节点进行平衡,而不是等全部插完再一次性平衡
            // 只有极不平衡才需要被平衡,即高度差大于1时,左边极不平衡,右边极不平衡
            case BalanceFactor.UNBALANCED_LEFT:
                if(key < node.left.key){ // 插入的新值小于左侧子节点的值,需要进行LL平衡
                    node = this.rotationLL(node)
                }else{ // 插入的新值大于父节点的值
                    node = this.rotationLR(node)
                }
                break
            case BalanceFactor.UNBALANCED_RIGHT:
                if(key < node.right.key){ // 插入的新值小于右侧子节点的值
                    node = this.rotationRL(node)
                }else{
                    node = this.rotationRR(node)
                }
                break
        }

        return node // 将平衡好的node返回
    }

    removeNode(node, key) { // 删除节点的递归方法
        if(!node){ // 如果要删除的节点压根不存在
            return null
        }
        node = super.removeNode(node,key)
        switch(this.getBalanceFactor(node)){ // 每次都平衡一点点,立马对新删除后剩下的的节点进行平衡,而不是等全部删完再一次性平衡
            // 只有极不平衡才需要被平衡,即高度差大于1时,左边极不平衡,右边极不平衡
            case BalanceFactor.UNBALANCED_LEFT:
                if(
                    this.getBalanceFactor(node.left) === BalanceFactor.BALANCED ||
                    this.getBalanceFactor(node.left) === BalanceFactor.SLIGHTLY_UNBALANCED_LEFT
                ){
                    node = this.rotationLL(node)
                }else{ // 插入的新值大于父节点的值
                    node = this.rotationLR(node)
                }
                break
            case BalanceFactor.UNBALANCED_RIGHT:
                if(
                    this.getBalanceFactor(node.right) === BalanceFactor.BALANCED ||
                    this.getBalanceFactor(node.right) === BalanceFactor.SLIGHTLY_UNBALANCED_LEFT
                ){
                    node = this.rotationRR(node)
                }else{
                    node = this.rotationRL(node)
                }
                break
        }

        return node // 将平衡好的node返回
    }
}

let treeData = new AVLTree()
treeData.insert(10)
treeData.insert(5)
treeData.insert(3)
treeData.insert(15)
treeData.insert(13)
treeData