不可变对象的魅力

285 阅读4分钟

前言

工作以后就不像在学校里面有那么多的时间拿来写博客了啊 QAQ,一直有些想法想通过博客整理一下, 但周六周末的时间往往一下就没了,结果一直拖到现在才有时间写写(:з」∠)_

……

当然,之前也有不少机会可以写写,但是一想到来自不易的周末和写博客需要的时间 @_@

这篇博客的灵感主要来源于 Git Commit Object 和 GoLang Context,两者在使用中都算是不可变对象, 通过内部指针建立当前对象和前一个对象之间的联系,实现在分布式/并发场景下的安全使用。

Git Commit Object

Git 中一个比较常见的问题:Git Merge 和 Git Rebase 之间的区别是什么?

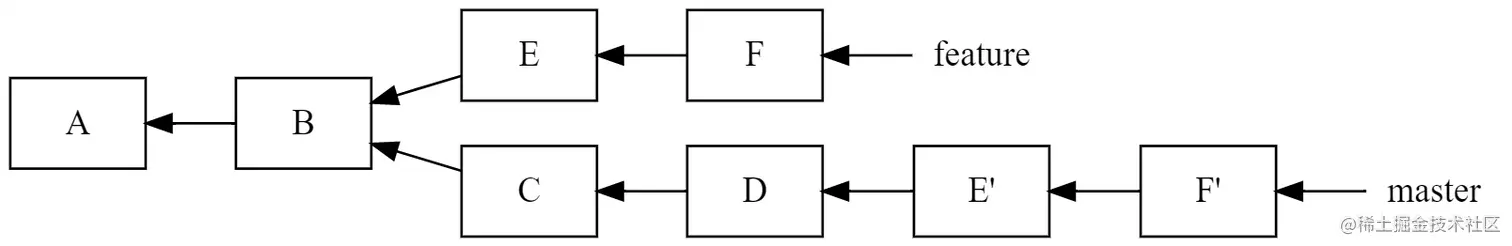
对于这个问题,我们可以从 Git Commit Object 和 Git Ref Object 的角度来回答,其中,Commit Object 就是每次我们执行 git commit 会创建的对象, 而 Ref Object 则是含有一个 Commit Object SHA-1 值的可变对象,指向对应的 Commit Object。

对应到上面这张图片,其中的 A、B、C……F 就是 Commit Object,而 master、feature 这样的分支其实就是一个指向 Commit Object 的 Ref Object。

执行 git merge 将 feature 分支合并到 master 分支时,会创建一个特殊的 Merge Commit Object,这个 Commit 同时存在两个父 Commit, 并将 master 包含的 SHA-1 值修改为这个新 Commit 的值:

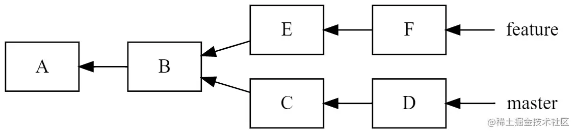
但是 git rebase 的操作就特殊地多,我们需要明白的一点是,Commit Object 是不变的,无论是 merge 和 rebase,我们都需要解决这样的问题:

  1. 我们需要同时保留 F 和 D 相对于 B 已经作出的修改
  2. Commit Object 是不可变的,也就是说,我们不可能通过修改 F 或 D 对象来应用另一个分支上的修改

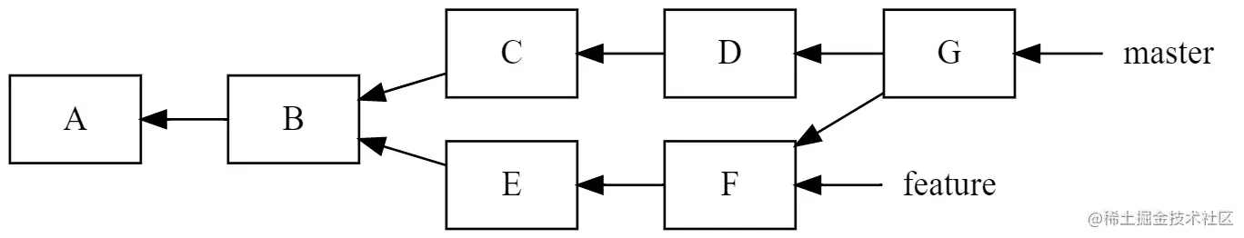
merge 通过创建一个新的 Commit Object 来保留两边的修改,而 rebase,则会将 E、F 的修改在 master 分支上重放,创建对应的一串新的 Commit Object:

原来的 E 和 F 依然存在,通过这样的方式,我们可以保证已有的 Commit Object 不会被人为修改。这很重要,Git 本质上也是一种分布式系统, 每一个 fork 都在已有 Commit 的基础上进行修改,如果每个人都可以随便修改 Commit Object,那么简直就是一种灾难。

相应的,常用的 git commit –amend 也是相同的原理,创建了一个新的 Commit Object,保留之前的和现在的修改,并让 Ref 指向新的 Commit。

PS:非常推荐阅读 Git Book 的第十章 Git 内部原理,通过这一章我们可以了解到 Git 内部的一些工作原理, 同时结合日常使用进行理解,能够让我们知道,我们执行了一个 Git 命令后发生了什么。

GoLang Context

GoLang 和 JavaScript 是我接触过的语言中唯二先天异步的编程语言,在 GoLang 中这种异步还是无感知的,写着同步的代码, 运行时帮你完成异步协程的调度。

在 Java 中,多线程下上下文信息的传递往往可以用 ThreadLocal 变量来实现,但是在 GoLang 中,你是无法直接操作线程的, 而协程这一级别通常也不会再提供一个 CroutineLocal 机制了。

因此,在 GoLang 中,上下文信息在函数之间的传递就只有靠函数参数,通常,也就是 Context 对象,所以,写 Go 代码的时候, 一堆 func xxx(ctx context.Context, ...) 形式的函数……

我们可以通过 context.WithValue 创建一个新的 Context 对象,这个对象持有指向父 Context 对象的指针和绑定的值,使用 Context 对象的 Value 方法, 可以在当前 Context 对象和父对象上寻找对应的值:

type contextKey struct{}

func main() {
  example(context.WithValue(context.Background(), contextKey{}, "value"))
}

func example(ctx context.Context) {
  fmt.Println(ctx.Value(contextKey{}))
}

Context 对象也可以看做是不可变对象,因此,可以安全地通过 Context 在多个协程中传递上下文信息。

Trace Context

在涉及到多个服务之间调用的追踪时,Trace 信息就是非常重要的依据,阅读 Trace Context 文档的时候,Trace Context 其实也有点不可变对象的感觉, 但本质上 Trace 信息就是需要使用相同的 ID 串起来……

233

结语

并发场景下,共享内存的安全访问是一个很常见的问题,同样,也有很多成熟的解决方案,而不可变对象只是其中的一种。

能够使用的场景其实也比较少,但是唯独这种方案让我感觉很 Nice,道理简单,成本低,通过对象上的一个指针, 也可以串出像 Git 这样的分布式协作系统。