25. K 个一组翻转链表

511 阅读2分钟

给你一个链表,每 k 个节点一组进行翻转,请你返回翻转后的链表。

k 是一个正整数,它的值小于或等于链表的长度。

如果节点总数不是 k 的整数倍,那么请将最后剩余的节点保持原有顺序。

进阶:

你可以设计一个只使用常数额外空间的算法来解决此问题吗? 你不能只是单纯的改变节点内部的值,而是需要实际进行节点交换。

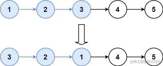
image.png

输入:head = [1,2,3,4,5], k = 3
输出:[3,2,1,4,5]

解法一

看答案之前,自己的写法。解法和两两交换链表中的节点类似,因为要求常数额外空间,就不能使用递归,所以使用迭代的解法。

主要思想:每次取出链表中的k个节点存在数组中,在数组中进行翻转节点的操作。

def reverseKGroup1(head, k):
    """迭代,解法和两两交换链表中的节点类似"""
    if k == 1: return head  # 如果k=1,就直接返回原链表

    dummy = ListNode()
    dummy.next = head  # 声明一个哑节点,指向链表的头节点
    temp = dummy  # 每次翻转temp后面的k个节点
    arr = []  # 用来记录链表中的节点

    while temp:
        for i in range(k):  # 每次取出链表中的k个节点
            arr.append(head)
            head = head.next
            if head is None: break  # 如果节点为空了,直接跳出这层for循环

        if len(arr) < k:  # 如果数组长度小于k,那么就不需要交换节点,直接跳出while循环
            break

        last_node = arr[-1].next  # 用来记录剩下的未交换的节点

        for i in range(k):  # 在数组中翻转节点
            if i == 0:  # 第一步让temp指向最后一个节点
                temp.next = arr[-1]
            arr[-i].next = arr[-(i + 1)]  # 翻转中间的节点,令后一个节点指向前一个节点
            if i == k - 1:  # 最后一步,让翻转后的最后一个节点指向剩下的未交换的节点
                arr[-(i + 1)].next = last_node

        temp = arr[0]  # 将temp指向交换过后的最后一个节点
        if temp.next is None: break  # 如果最后一个节点的next为空,则结束循环
        arr.clear()  # 每次循环结束后,清空数组,用于存储下次循环的k个节点

    return dummy.next
复杂度分析
  • 时间复杂度:O(n)。
  • 空间复杂度:O(1),我们只需要建立常数个变量。

感觉官方答案中翻转子链表不好理解,就不贴出来了,感兴趣的可以自己去看。

力扣官方答案