关键词提取
-
说明
- 内部采用
TextRankKeyword实现,用户可以直接调用TextRankKeyword.getKeywordList(document, size)
- 内部采用
-
算法详解
部分内容如下
谈起自动摘要算法,常见的并且最易实现的当属TF-IDF,但是感觉TF-IDF效果一般,不如TextRank好。
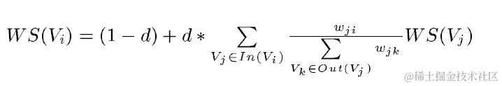
TextRank是在Google的PageRank算法启发下,针对文本里的句子设计的权重算法,目标是自动摘要。它利用投票的原理,让每一个单词给它的邻居(术语称窗口)投赞成票,票的权重取决于自己的票数。这是一个“先有鸡还是先有蛋”的悖论,PageRank采用矩阵迭代收敛的方式解决了这个悖论。TextRank也不例外:
PageRank的计算公式:
正规的TextRank公式
正规的TextRank公式在PageRank的公式的基础上,引入了边的权值的概念,代表两个句子的相似度:
但是很明显我只想计算关键字,如果把一个单词视为一个句子的话,那么所有句子(单词)构成的边的权重都是0(没有交集,没有相似性),所以分子分母的权值w约掉了,算法退化为PageRank。所以说,这里称关键字提取算法为PageRank也不为过。
另外,如果你想提取关键句(自动摘要)的话,请参考姊妹篇《TextRank算法自动摘要的Java实现》。
pyhanlp中的使用方法如下
from pyhanlp import *# 关键词提取
content = (
"程序员(英文Programmer)是从事程序开发、维护的专业人员。"
"一般将程序员分为程序设计人员和程序编码人员,"
"但两者的界限并不非常清楚,特别是在中国。"
"软件从业人员分为初级程序员、高级程序员、系统"
"分析员和项目经理四大类。")
TextRankKeyword = JClass("com.hankcs.hanlp.summary.TextRankKeyword")
keyword_list = HanLP.extractKeyword(content, 5)
print(keyword_list)
# 新词识别,此处没什么用,文本太短。之后会在案例中使用
# newword_list = HanLP.extractWords(content, 5)
# print(newword_list)
[程序员, 人员, 程序, 分为, 开发]
自动摘要
-
说明
- 内部采用
TextRankSentence实现,用户可以直接调用TextRankSentence.getTopSentenceList(document, size)。
- 内部采用
-
算法详解
原文部分内容
所谓自动摘要,就是从文章中自动抽取关键句。何谓关键句?人类的理解是能够概括文章中心的句子,机器的理解只能模拟人类的理解,即拟定一个权重的评分标准,给每个句子打分,之后给出排名靠前的几个句子。
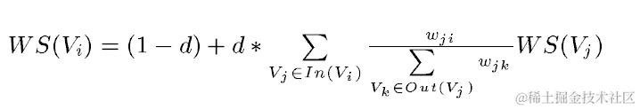
TextRank公式
TextRank的打分思想依然是从PageRank的迭代思想衍生过来的,如下公式所示:
等式左边表示一个句子的权重(WS是weight_sum的缩写),右侧的求和表示每个相邻句子对本句子的贡献程度。与提取关键字的时候不同,一般认为全部句子都是相邻的,不再提取窗口。
求和的分母wji表示两个句子的相似程度,分母又是一个weight_sum,而WS(Vj)代表上次迭代j的权重。整个公式是一个迭代的过程。
相似程度的计算
而相似程度wji的计算,推荐使用BM25
BM25算法,通常用来作搜索相关性平分。一句话概况其主要思想:对Query进行语素解析,生成语素qi;然后,对于每个搜索结果D,计算每个语素qi与D的相关性得分,最后,将qi相对于D的相关性得分进行加权求和,从而得到Query与D的相关性得分。
pyhanlp中使用自动摘要
# 自动摘要
document = '''水利部水资源司司长陈明忠9月29日在国务院新闻办举行的新闻发布会上透露,
根据刚刚完成了水资源管理制度的考核,有部分省接近了红线的指标,
有部分省超过红线的指标。对一些超过红线的地方,陈明忠表示,对一些取用水项目进行区域的限批,
严格地进行水资源论证和取水许可的批准。
'''
TextRankSentence = JClass("com.hankcs.hanlp.summary.TextRankSentence")
sentence_list = HanLP.extractSummary(document, 3)
print(sentence_list)
sentence_list = HanLP.extractSummary(document, 2)
print(sentence_list)
sentence_list = HanLP.extractSummary(document, 1)
print(sentence_list)
sentence_list = HanLP.getSummary(document, 50)
print(sentence_list)
sentence_list = HanLP.getSummary(document, 30)
print(sentence_list)
sentence_list = HanLP.getSummary(document, 20)
print(sentence_list)
[严格地进行水资源论证和取水许可的批准, 有部分省超过红线的指标, 水利部水资源司司长陈明忠9月29日在国务院新闻办举行的新闻发布会上透露]
[严格地进行水资源论证和取水许可的批准, 有部分省超过红线的指标]
[严格地进行水资源论证和取水许可的批准]
水利部水资源司司长陈明忠9月29日在国务院新闻办举行的新闻发布会上透露。有部分省超过红线的指标。
有部分省超过红线的指标。严格地进行水资源论证和取水许可的批准。
有部分省超过红线的指标。