梯度下降与delta法则

259 阅读2分钟

delta法则

尽管当训练样例线性可分时,感知器法则可以成功地找到一个权向量,但如果样例不是线性可分时它将不能收敛。
因此,人们设计了另一个训练法则来克服这个不足,称为 delta 法则(delta rule)。如果训练样本不是线性可分的,那么 delta 法则会收敛到目标概念的最佳 近似。 


delta 法则的关键思想是使用梯度下降(gradient descent)来搜索可能权向量的假设空间, 以找到最佳拟合训练样例的权向量。\

\

梯度下降

  利用感知器法则的要求是必须训练样本是线性可分的,当样例不满足这条件时,就不能再收敛,为了克服这个要求,引出了delta法则,它会收敛到目标概念的最佳近似!

delta法则的关键思想是利用梯度下降(gradient descent) 来搜索可能的权向量的假设空间,以找到最佳拟合训练样例的权向量。

  简单的理解,就是训练一个无阈值的感知器,也就是一个线性单元。它的输出o如下:

 

        

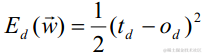
   先指定一个度量标准来衡量假设(权向量)相对于训练样例的训练误差(training error)

      

其中D是训练样例集合,td 是训练样例d的目标输出,od是线性单元对训练样例d的输出。E(w)是目标输出td和线性单元输出od的差异的平方在所有的训练样例上求和后的一半。我们定义E为w的函数,是因为线性单元的输出o依赖于这个权向量。  

在这里,我们对于给定的训练数据使E最小化的假设也就是H中最可能的假设,也就是找到一组权向量能使E最小化。

直观感觉,E函数就是为了让目标输出td 与线性输出od的差距也来越小,也就是越来越接近目标概念。\

上图中,红点和绿点是线性不可分的(不能找到一条直线完全分开两类点),但是找到一条线能把两类点尽可能的分开。使错分的点尽可能地少。

为什么感知器不能分开呢?

就在于它是带阈值的,>0 为1,<0为-1。正是这种强制性,使函数输出带有跳跃性(不是可微的),用上图中的图像来表示就是,在训练过程中,线会一直顺时针或着逆时针旋转,而不会收敛到最佳值。

上图中,两个坐标轴表示一个简单的线性单元中两个权可能的取值,而圆圈大小代表训练误差E值的大小。

为了确定一个使E最小化的权向量,梯度下降搜索从一个任意的初始向量开始,然后以很小的步伐反复修改这个向量。每一步都沿误差曲线产生最陡峭的下降方向修改权向量(见蓝线),继续这个过程直到得到全局的最小误差点。

 

这个最陡峭的下降方向是什么呢?

可以通过计算E相对向量w的的每个分量的导数来得到这个方向。这个向量导数被称为E对于W的梯度(gradient),记作ΔE(w).

ΔE(w)本身是一个向量,它的成员是E对每个wi的偏导数。当梯度被解释为权空间的一个向量时,它确定了使E最陡峭上升的方向。

*
*既然确定了方向,那梯度下降法则就是:

 

其中:

这里的η是一个正的常数叫做学习速率,它决定梯度下降搜索中的步长。公式中的符号是想让权向量E下降的方向移动。

这个训练法则也可以写成它的分量形式:

 

其中:

    (公式1)

最陡峭的下降可以按照比例改变中的每一分量来实现。

可以通过前面的训练误差公式中计算E的微分,从而得到组成这个梯度向量的分量

推导过程略去。

最后得到:

 

其中xid表示训练样例d的一个输入分量xi。现在我们有了一个公式,能够用线性单元的输入xid,输出od以及训练样例的目标值td表示

把次此公式带入公式(1)得到了梯度下降权值更新法则。

   (公式2)

因此,训练线性单元的梯度下降算法如下:选取一个初始的随机权向量;应用线性单元到所有的训练样例,然后根据公式2计算每个权值的Δwi;通过加上Δwi来更新每个权值,然后重复这个过程。

因为这个误差曲面仅包含一个全局的最小值,所以无论训练样例是否线性可分,这个算法都会收敛到具有最小误差的权向量。条件是必须使用一个足够小的学习速率η。

如果η太大,梯度下降搜素就有越过误差面最小值而不是停留在那一点的危险。因此常有的改进方法是随着梯度下降步数的增加逐渐减小η的值。

梯度下降算法的伪代码:

 

要实现梯度下降的随机近似,删除(T4.2),并把(T4.1)替换为 。

 

 

随机梯度下降算法

梯度下降是一种重要的通用学习范型。它是搜索庞大假设空间或无限假设空间的一种策略,它可以满足以下条件的任何情况:

(1)假设空间包含连续参数化的假设。

(2)误差对于这些假设参数可微。

在应用梯度下降的主要实践问题是:

(1)有时收敛过程可能非常慢;

(2)如果在误差曲面上有多个局部极小值,那么不能保证这个过程会找到全局最小值。

 

缓解这些困难的一个常见的梯度下降变体被称为增量梯度下降算法(incremental gradient descent)或者随机梯度下降(stochastic gradient descent)。

鉴于公式2给出的梯度下降训练法则在对D中的所有训练样例求和后计算权值更新,随机梯度下降的思想是根据每个单独样例的误差增量计算权值更新,得到近似的梯度下降搜索.

修改后的训练法则与公式2相似,只是在迭代计算每个训练样例时根据下面的公式来更新权值:\

    公式3

其中,t、o和xi分别是目标值、单元输出和第i个训练样例的输入。

随机梯度下降可被看作为每个单独的训练样例d定义不同的误差函数:

其中,td和od是训练样例d的目标输出值和单元输出值。

 随机梯度下降迭代计算训练样例集D的每个样例d,在每次迭代过程中按照关于的梯度来改变权值。在迭代所有训练样例时,这些权值更新的序列给出了对于原来的误差函数的梯度下降的一个合理近似。

 

标准的梯度下降和随机的梯度下降之间的关键区别:

(1)标准的梯度下降是在权值更新前对所有的样例汇总误差,而随机梯度下降的权值是通过考查每个训练样例来更新的。

(2)在标准的梯度下降中,权值更新的每一步对多个样例求和,这需要大量的计算。

(3)如果有多个局部极小值,随机的梯度下降有时可能避免陷入这些局部极小值中,因为它使用不同的而不是来引导搜索。

 

注意:

  公式3的增量法则与之前感知器法则训练法则相似。但是它们是不同的,在增量法则中o是值线性单元的输出,而对于感知器法则,o是指阈值输出,在公式中。

 

样例:

  输入x1、x2,输出为o,训练w0,w1,w2

  满足 w1+x1*w1+x2*x2=o

训练样例为:

  

x1 x2 o
1 4 19
2 5 26
5 1 19
4 2 20

头文件

复制代码

#ifndef HEAD_H_INCLUDED
#define HEAD_H_INCLUDED
#include <iostream>
#include <fstream>
#include <vector>
#include <cstdio>
#include <cstdlib>
#include <cmath>

using namespace std;

const int DataRow=4;
const int DataColumn=3;
const double learning_rate=.01;
extern double DataTable[DataRow][DataColumn];
extern double Theta[DataColumn-1];
const double loss_theta=0.001;
const int iterator_n =100;


#endif // HEAD_H_INCLUDED

复制代码

 

源代码

复制代码

#include "head.h"
double DataTable[DataRow][DataColumn];
double Theta[DataColumn-1];
void Init()    
{
    ifstream fin("data.txt");
    for(int i=0;i<DataRow;i++)
    {
        for(int j=0;j<DataColumn;j++)
        {
            fin>>DataTable[i][j];
        }
    }
    if(!fin)
    {
        cout<<"fin error";
        exit(1);
    }
    fin.close();
    for(int i=0;i<DataColumn-1;i++)
    {
        Theta[i]=0.5;
    }
}
void batch_grandient()          //标准梯度下降
{
    double loss=1000;
    for(int i=0;i<iterator_n&&loss>=loss_theta;i++)
    {
        double Thetasum[DataColumn-1]={0};
        for(int j=0;j<DataRow;j++)
        {
            double error=0;
            for(int k=0;k<DataColumn-1;k++)
            {
                error+=DataTable[j][k]*Theta[k];
            }
            error=DataTable[j][DataColumn-1]-error;
            for(int k=0;k<DataColumn-1;k++)
            {
                Thetasum[k]+=learning_rate*error*DataTable[j][k];
            }
        }
        double a=0;
        for(int k=0;k<DataColumn-1;k++)
            {
                Theta[k]+=Thetasum[k];
                a+=abs(Thetasum[k]);
            }
        loss=a/(DataColumn-1);
    }
}
void stochastic_gradient()      //随即梯度下降
{
    double loss=1000;
    for(int i=0;i<iterator_n&&loss>=loss_theta;i++)
    {
        double Thetasum[DataColumn-1]={0};
        for(int j=0;j<DataRow;j++)
        {
            double error=0;
            for(int k=0;k<DataColumn-1;k++)
            {
                error+=DataTable[j][k]*Theta[k];
            }
            error=DataTable[j][DataColumn-1]-error;
            double a=0;
            for(int k=0;k<DataColumn-1;k++)
            {
                Theta[k]+=learning_rate*error*DataTable[j][k];
                a+=abs(learning_rate*error*DataTable[j][k]);
            }
            loss=a/(DataColumn-1);
            if(loss<=loss_theta)
                break;
        }
    }
}
void printTheta()
{
    for(int i=0;i<DataColumn-1;i++)
        cout<<Theta[i]<<" ";
    cout<<endl;
}

int main()
{
    Init();
    //batch_grandient();
    stochastic_gradient();
    printTheta();
    return 0;
}

复制代码


\

\

文章大部分转载自: www.cnblogs.com/dztgc/archi…