一文弄懂神经网络中的反向传播法

425 阅读6分钟

 最近在看深度学习的东西,一开始看的吴恩达的UFLDL教程,有中文版就直接看了,后来发现有些地方总是不是很明确,又去看英文版,然后又找了些资料看,才发现,中文版的译者在翻译的时候会对省略的公式推导过程进行补充,但是补充的又是错的,难怪觉得有问题。反向传播法其实是神经网络的基础了,但是很多人在学的时候总是会遇到一些问题,或者看到大篇的公式觉得好像很难就退缩了,其实不难,就是一个链式求导法则反复用。如果不想看公式,可以直接把数值带进去,实际的计算一下,体会一下这个过程之后再来推导公式,这样就会觉得很容易了。

  说到神经网络,大家看到这个图应该不陌生:

 

  这是典型的三层神经网络的基本构成,Layer L1是输入层,Layer L2是隐含层,Layer L3是隐含层,我们现在手里有一堆数据{x1,x2,x3,...,xn},输出也是一堆数据{y1,y2,y3,...,yn},现在要他们在隐含层做某种变换,让你把数据灌进去后得到你期望的输出。如果你希望你的输出和原始输入一样,那么就是最常见的自编码模型(Auto-Encoder)。可能有人会问,为什么要输入输出都一样呢?有什么用啊?其实应用挺广的,在图像识别,文本分类等等都会用到,我会专门再写一篇Auto-Encoder的文章来说明,包括一些变种之类的。如果你的输出和原始输入不一样,那么就是很常见的人工神经网络了,相当于让原始数据通过一个映射来得到我们想要的输出数据,也就是我们今天要讲的话题。

  本文直接举一个例子,带入数值演示反向传播法的过程,公式的推导等到下次写Auto-Encoder的时候再写,其实也很简单,感兴趣的同学可以自己推导下试试:)(注:本文假设你已经懂得基本的神经网络构成,如果完全不懂,可以参考Poll写的笔记:[Mechine Learning & Algorithm] 神经网络基础

  假设,你有这样一个网络层:

  第一层是输入层,包含两个神经元i1,i2,和截距项b1;第二层是隐含层,包含两个神经元h1,h2和截距项b2,第三层是输出o1,o2,每条线上标的wi是层与层之间连接的权重,激活函数我们默认为sigmoid函数。

  现在对他们赋上初值,如下图:

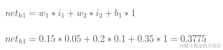
  其中,输入数据  i1=0.05,i2=0.10;

     输出数据 o1=0.01,o2=0.99;

     初始权重  w1=0.15,w2=0.20,w3=0.25,w4=0.30;

           w5=0.40,w6=0.45,w7=0.50,w8=0.55

 

  目标:给出输入数据i1,i2(0.05和0.10),使输出尽可能与原始输出o1,o2(0.01和0.99)接近。

 

  Step 1 前向传播

  1.输入层---->隐含层:

  计算神经元h1的输入加权和:

神经元h1的输出o1:(此处用到激活函数为sigmoid函数):

 

 

  同理,可计算出神经元h2的输出o2:

  

 

  2.隐含层---->输出层:

  计算输出层神经元o1和o2的值:

  

 

这样前向传播的过程就结束了,我们得到输出值为[0.75136079 , 0.772928465],与实际值[0.01 , 0.99]相差还很远,现在我们对误差进行反向传播,更新权值,重新计算输出。

 

Step 2 反向传播

1.计算总误差

总误差:(square error)

但是有两个输出,所以分别计算o1和o2的误差,总误差为两者之和:

 

2.隐含层---->输出层的权值更新:

以权重参数w5为例,如果我们想知道w5对整体误差产生了多少影响,可以用整体误差对w5求偏导求出:(链式法则)

下面的图可以更直观的看清楚误差是怎样反向传播的:

现在我们来分别计算每个式子的值:

计算

计算

(这一步实际上就是对sigmoid函数求导,比较简单,可以自己推导一下)

 

计算

最后三者相乘:

这样我们就计算出整体误差E(total)对w5的偏导值。

回过头来再看看上面的公式,我们发现:

为了表达方便,用来表示输出层的误差:

因此,整体误差E(total)对w5的偏导公式可以写成:

如果输出层误差计为负的话,也可以写成:

最后我们来更新w5的值:

(其中,是学习速率,这里我们取0.5)

同理,可更新w6,w7,w8:

 

3.隐含层---->隐含层的权值更新:

 方法其实与上面说的差不多,但是有个地方需要变一下,在上文计算总误差对w5的偏导时,是从out(o1)---->net(o1)---->w5,但是在隐含层之间的权值更新时,是out(h1)---->net(h1)---->w1,而out(h1)会接受E(o1)和E(o2)两个地方传来的误差,所以这个地方两个都要计算。

 

 

计算

先计算

同理,计算出:

          

两者相加得到总值:

再计算

再计算

最后,三者相乘:

 为了简化公式,用sigma(h1)表示隐含层单元h1的误差:

最后,更新w1的权值:

同理,额可更新w2,w3,w4的权值:

 

  这样误差反向传播法就完成了,最后我们再把更新的权值重新计算,不停地迭代,在这个例子中第一次迭代之后,总误差E(total)由0.298371109下降至0.291027924。迭代10000次后,总误差为0.000035085,输出为[0.015912196,0.984065734](原输入为[0.01,0.99]),证明效果还是不错的。

 

代码(Python):

复制代码

  1 #coding:utf-8
  2 import random
  3 import math
  4 
  5 #
  6 #   参数解释:
  7 #   "pd_" :偏导的前缀
  8 #   "d_" :导数的前缀
  9 #   "w_ho" :隐含层到输出层的权重系数索引
 10 #   "w_ih" :输入层到隐含层的权重系数的索引
 11 
 12 class NeuralNetwork:
 13     LEARNING_RATE = 0.5
 14 
 15     def __init__(self, num_inputs, num_hidden, num_outputs, hidden_layer_weights = None, hidden_layer_bias = None, output_layer_weights = None, output_layer_bias = None):
 16         self.num_inputs = num_inputs
 17 
 18         self.hidden_layer = NeuronLayer(num_hidden, hidden_layer_bias)
 19         self.output_layer = NeuronLayer(num_outputs, output_layer_bias)
 20 
 21         self.init_weights_from_inputs_to_hidden_layer_neurons(hidden_layer_weights)
 22         self.init_weights_from_hidden_layer_neurons_to_output_layer_neurons(output_layer_weights)
 23 
 24     def init_weights_from_inputs_to_hidden_layer_neurons(self, hidden_layer_weights):
 25         weight_num = 0
 26         for h in range(len(self.hidden_layer.neurons)):
 27             for i in range(self.num_inputs):
 28                 if not hidden_layer_weights:
 29                     self.hidden_layer.neurons[h].weights.append(random.random())
 30                 else:
 31                     self.hidden_layer.neurons[h].weights.append(hidden_layer_weights[weight_num])
 32                 weight_num += 1
 33 
 34     def init_weights_from_hidden_layer_neurons_to_output_layer_neurons(self, output_layer_weights):
 35         weight_num = 0
 36         for o in range(len(self.output_layer.neurons)):
 37             for h in range(len(self.hidden_layer.neurons)):
 38                 if not output_layer_weights:
 39                     self.output_layer.neurons[o].weights.append(random.random())
 40                 else:
 41                     self.output_layer.neurons[o].weights.append(output_layer_weights[weight_num])
 42                 weight_num += 1
 43 
 44     def inspect(self):
 45         print('------')
 46         print('* Inputs: {}'.format(self.num_inputs))
 47         print('------')
 48         print('Hidden Layer')
 49         self.hidden_layer.inspect()
 50         print('------')
 51         print('* Output Layer')
 52         self.output_layer.inspect()
 53         print('------')
 54 
 55     def feed_forward(self, inputs):
 56         hidden_layer_outputs = self.hidden_layer.feed_forward(inputs)
 57         return self.output_layer.feed_forward(hidden_layer_outputs)
 58 
 59     def train(self, training_inputs, training_outputs):
 60         self.feed_forward(training_inputs)
 61 
 62         # 1. 输出神经元的值
 63         pd_errors_wrt_output_neuron_total_net_input = [0] * len(self.output_layer.neurons)
 64         for o in range(len(self.output_layer.neurons)):
 65 
 66             # ∂E/∂zⱼ
 67             pd_errors_wrt_output_neuron_total_net_input[o] = self.output_layer.neurons[o].calculate_pd_error_wrt_total_net_input(training_outputs[o])
 68 
 69         # 2. 隐含层神经元的值
 70         pd_errors_wrt_hidden_neuron_total_net_input = [0] * len(self.hidden_layer.neurons)
 71         for h in range(len(self.hidden_layer.neurons)):
 72 
 73             # dE/dyⱼ = Σ ∂E/∂zⱼ * ∂z/∂yⱼ = Σ ∂E/∂zⱼ * wᵢⱼ
 74             d_error_wrt_hidden_neuron_output = 0
 75             for o in range(len(self.output_layer.neurons)):
 76                 d_error_wrt_hidden_neuron_output += pd_errors_wrt_output_neuron_total_net_input[o] * self.output_layer.neurons[o].weights[h]
 77 
 78             # ∂E/∂zⱼ = dE/dyⱼ * ∂zⱼ/∂
 79             pd_errors_wrt_hidden_neuron_total_net_input[h] = d_error_wrt_hidden_neuron_output * self.hidden_layer.neurons[h].calculate_pd_total_net_input_wrt_input()
 80 
 81         # 3. 更新输出层权重系数
 82         for o in range(len(self.output_layer.neurons)):
 83             for w_ho in range(len(self.output_layer.neurons[o].weights)):
 84 
 85                 # ∂Eⱼ/∂wᵢⱼ = ∂E/∂zⱼ * ∂zⱼ/∂wᵢⱼ
 86                 pd_error_wrt_weight = pd_errors_wrt_output_neuron_total_net_input[o] * self.output_layer.neurons[o].calculate_pd_total_net_input_wrt_weight(w_ho)
 87 
 88                 # Δw = α * ∂Eⱼ/∂wᵢ
 89                 self.output_layer.neurons[o].weights[w_ho] -= self.LEARNING_RATE * pd_error_wrt_weight
 90 
 91         # 4. 更新隐含层的权重系数
 92         for h in range(len(self.hidden_layer.neurons)):
 93             for w_ih in range(len(self.hidden_layer.neurons[h].weights)):
 94 
 95                 # ∂Eⱼ/∂wᵢ = ∂E/∂zⱼ * ∂zⱼ/∂wᵢ
 96                 pd_error_wrt_weight = pd_errors_wrt_hidden_neuron_total_net_input[h] * self.hidden_layer.neurons[h].calculate_pd_total_net_input_wrt_weight(w_ih)
 97 
 98                 # Δw = α * ∂Eⱼ/∂wᵢ
 99                 self.hidden_layer.neurons[h].weights[w_ih] -= self.LEARNING_RATE * pd_error_wrt_weight
100 
101     def calculate_total_error(self, training_sets):
102         total_error = 0
103         for t in range(len(training_sets)):
104             training_inputs, training_outputs = training_sets[t]
105             self.feed_forward(training_inputs)
106             for o in range(len(training_outputs)):
107                 total_error += self.output_layer.neurons[o].calculate_error(training_outputs[o])
108         return total_error
109 
110 class NeuronLayer:
111     def __init__(self, num_neurons, bias):
112 
113         # 同一层的神经元共享一个截距项b
114         self.bias = bias if bias else random.random()
115 
116         self.neurons = []
117         for i in range(num_neurons):
118             self.neurons.append(Neuron(self.bias))
119 
120     def inspect(self):
121         print('Neurons:', len(self.neurons))
122         for n in range(len(self.neurons)):
123             print(' Neuron', n)
124             for w in range(len(self.neurons[n].weights)):
125                 print('  Weight:', self.neurons[n].weights[w])
126             print('  Bias:', self.bias)
127 
128     def feed_forward(self, inputs):
129         outputs = []
130         for neuron in self.neurons:
131             outputs.append(neuron.calculate_output(inputs))
132         return outputs
133 
134     def get_outputs(self):
135         outputs = []
136         for neuron in self.neurons:
137             outputs.append(neuron.output)
138         return outputs
139 
140 class Neuron:
141     def __init__(self, bias):
142         self.bias = bias
143         self.weights = []
144 
145     def calculate_output(self, inputs):
146         self.inputs = inputs
147         self.output = self.squash(self.calculate_total_net_input())
148         return self.output
149 
150     def calculate_total_net_input(self):
151         total = 0
152         for i in range(len(self.inputs)):
153             total += self.inputs[i] * self.weights[i]
154         return total + self.bias
155 
156     # 激活函数sigmoid
157     def squash(self, total_net_input):
158         return 1 / (1 + math.exp(-total_net_input))
159 
160 
161     def calculate_pd_error_wrt_total_net_input(self, target_output):
162         return self.calculate_pd_error_wrt_output(target_output) * self.calculate_pd_total_net_input_wrt_input();
163 
164     # 每一个神经元的误差是由平方差公式计算的
165     def calculate_error(self, target_output):
166         return 0.5 * (target_output - self.output) ** 2
167 
168     
169     def calculate_pd_error_wrt_output(self, target_output):
170         return -(target_output - self.output)
171 
172     
173     def calculate_pd_total_net_input_wrt_input(self):
174         return self.output * (1 - self.output)
175 
176 
177     def calculate_pd_total_net_input_wrt_weight(self, index):
178         return self.inputs[index]
179 
180 
181 # 文中的例子:
182 
183 nn = NeuralNetwork(2, 2, 2, hidden_layer_weights=[0.15, 0.2, 0.25, 0.3], hidden_layer_bias=0.35, output_layer_weights=[0.4, 0.45, 0.5, 0.55], output_layer_bias=0.6)
184 for i in range(10000):
185     nn.train([0.05, 0.1], [0.01, 0.09])
186     print(i, round(nn.calculate_total_error([[[0.05, 0.1], [0.01, 0.09]]]), 9))
187 
188 
189 #另外一个例子,可以把上面的例子注释掉再运行一下:
190 
191 # training_sets = [
192 #     [[0, 0], [0]],
193 #     [[0, 1], [1]],
194 #     [[1, 0], [1]],
195 #     [[1, 1], [0]]
196 # ]
197 
198 # nn = NeuralNetwork(len(training_sets[0][0]), 5, len(training_sets[0][1]))
199 # for i in range(10000):
200 #     training_inputs, training_outputs = random.choice(training_sets)
201 #     nn.train(training_inputs, training_outputs)
202 #     print(i, nn.calculate_total_error(training_sets))

复制代码

 

  

  最后写到这里就结束了,现在还不会用latex编辑数学公式,本来都直接想写在草稿纸上然后扫描了传上来,但是觉得太影响阅读体验了。以后会用公式编辑器后再重把公式重新编辑一遍。稳重使用的是sigmoid激活函数,实际还有几种不同的激活函数可以选择,具体的可以参考文献[3],最后推荐一个在线演示神经网络变化的网址:www.emergentmind.com/neural-netw…

参考文献:

1.Poll的笔记:[Mechine Learning & Algorithm] 神经网络基础www.cnblogs.com/maybe2030/p…

2.Rachel_Zhang:blog.csdn.net/abcjennifer…

3.www.cedar.buffalo.edu/%7Esrihari/…

4.mattmazur.com/2015/03/17/…

\

\

本篇文章转载自:

www.cnblogs.com/charlotte77…

这个博主写的一手好文章偶,推荐一下.