【评价指标】详解F1-score与多分类F1

342 阅读4分钟

基本概念

首先,要背住的几个概念就是:accuracy,precision,recal, TP,FP,TN,FN

  • TP:true positive。预测是正确的正样本
  • FP:false positive。预测是错误的正样本
  • TN:true negative。预测是正确的负样本
  • FP:false positive。预测是错误的负样本

通常我们会做出这样的一个混淆矩阵:

PositiveNegative
PositiveTrue PositiveFalse Positive
NegativeFalse NegativeTrue Negative

左边的positive,negative表示样本真实值,表格上边的positive,negative表示样本的预测结果。\

现在我们有这样的一个例子:图中的TP,FP等是一个比例,假设总共有100个样本,有40个是TP,有20个是FP……(不过混淆矩阵一般不用除以总样本数量)

现在我们有了

准确率Accuracy

准确率是指,对于给定的测试数据集,分类器正确分类的样本书与总样本数之比,也就是预测正确的概率。

对应上面的例子,可以得到Accuracy=0.7。

【准确率Accuracy的弊端】

准确率作为我们最常用的指标,当出现样本不均衡的情况时,并不能合理反映模型的预测能力。例如测试数据集有90%的正样本,10%的负样本,假设模型预测结果全为正样本,这时准确率为90%,然而模型对负样本没有识别能力,此时高准确率不能反映模型的预测能力。

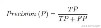
精确率Precision

表示预测为正的样本中,实际的正样本的数量。

对应上面的例子,。

【个人理解】

Precision是针对预测结果而言的。预测结果中,预测为正的样本中预测正确的概率。**类似于一个考生在考卷上写出来的答案中,正确了多少。**体现模型的精准度,模型说:我说哪个对哪个就是对的。

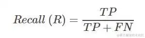
召回率Recall

Recall表示实际为正的样本被判断为正样本的比例对应上述的例子,得到

【个人理解】

Recall是针对数据样本而言的。数据样本中,正样本中预测正确的概率。类似于一个考生在考卷上回答了多少题。体现一个模型的全面性,模型说:所有对的我都能找出来。

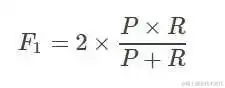
F1 score

Precision和Recall是一对矛盾的度量,一般来说,Precision高时,Recall值往往偏低;而Precision值低时,Recall值往往偏高。当分类置信度高时,Precision偏高;分类置信度低时,Recall偏高。为了能够综合考虑这两个指标,F-measure被提出(Precision和Recall的加权调和平均),即:

F1的核心思想在于,在尽可能的提高Precision和Recall的同时,也希望两者之间的差异尽可能小。F1-score适用于二分类问题,对于多分类问题,将二分类的F1-score推广,有Micro-F1和Macro-F1两种度量。

【Micro-F1】

统计各个类别的TP、FP、FN、TN,加和构成新的TP、FP、FN、TN,然后计算Micro-Precision和Micro-Recall,得到Micro-F1。具体的说,统计出来各个类别的混淆矩阵,然后把混淆矩阵“相加”起来,得到一个多类别的混淆矩阵,然后再计算F1score

【Macro-F1】

我感觉更常用的是Macro-F1。统计各个类别的TP、FP、FN、TN,分别计算各自的Precision和Recall,得到各自的F1值,然后取平均值得到Macro-F1

【总结】

从上面二者计算方式上可以看出,Macro-F1平等地看待各个类别,它的值会受到稀有类别的影响;而Micro-F1则更容易受到常见类别的影响。

参考:

[1]zjmmf.com/2019/08/13/…

[2]zhuanlan.zhihu.com/p/49895905

往期精彩回顾




适合初学者入门人工智能的路线及资料下载机器学习及深度学习笔记等资料打印机器学习在线手册深度学习笔记专辑《统计学习方法》的代码复现专辑
AI基础下载机器学习的数学基础专辑获取一折本站知识星球优惠券,复制链接直接打开:https://t.zsxq.com/yFQV7am本站qq群1003271085。加入微信群请扫码进群: