【数据分析】数据分析(EDA)学习总结!

186 阅读10分钟

作者:张永泰,北京工业大学,Datawhale优秀学习者

探索性数据分析(Exploratory Data Analysis,EDA)是一种探索数据的结构和规律的一种数据分析方法。其主要的工作包含:对数据进行清洗,对数据进行描述(描述统计量,图表),查看数据的分布,比较数据之间的关系,培养对数据的直觉和对数据进行总结。

EDA可以帮助我们找到适合的数据模型,本文针对文本数据,将进行具体的数据探索性分析讲解。

一、数据及背景

tianchi.aliyun.com/competition…

二、 实验环境

导入需要使用的包

import numpy as np
import pandas as pd
import matplotlib.pyplot as plt
from sklearn.model_selection import train_test_split
import seaborn as sns
import scipy
from collections import Counter

三、数据探索

首先,利用Pandas对数据进行读取。

df_train = pd.read_csv(train_path, sep='\t')
df_test = pd.read_csv(test_path, sep='\t')

3.1 简单查看数据

df_train.head(), len(df_train)

发现text域的数据是字符串。我们想要得到整数序列。可以用字符串分割split()。

print(len(df_train['text'][0]), type(df_train['text'][0]))
df_train.head()

3.2 长度分布

3.2.1 describe

这里与教程中的方法有所不同。vectorize是numpy中很方便的函数,作用和pandas中apply差不多。用法:

np.vectorize(function)(array)

输入待处理的array,以及逐元素处理函数function,返回经过处理后的ndarray。原来的array则不受影响。

当前我使用的函数split_df负责将一行数据按空格切分成整数列表,然后计算该列表的长度。

def split_df(df_row):
    return len(str(df_row).split())
len_dist = np.vectorize(split_df)(df_train['text'])
len_test_dist = np.vectorize(split_df)(df_test['text'])

使用describe函数查看训练集和测试集中的数据长度分布

print(pd.Series(len_dist).describe())

print(pd.Series(len_test_dist).describe())

通过数据描述可以看到:

  • 训练集共200,000条新闻,每条新闻平均907个字符,最短的句子长度为2,最长的句子长度为57921,其中75%以下的数据长度在1131以下。
  • 测试集共50,000条新闻,每条新闻平均909个字符,最短句子长度为14,最长句子41861,75%以下的数据长度在1133以下。
  • 训练集和测试集就长度来说似乎是同一分布。

3.2.2 直方图

绘制直方图查看训练集和测试集中的数据长度分布

fig, ax = plt.subplots(1,1,figsize=(12,6))


ax = plt.hist(x=len_dist, bins=100)
ax = plt.hist(x=len_test_dist, bins=100)


plt.xlim([0, max(max(len_dist), max(len_test_dist))])
plt.xlabel("length of sample")
plt.ylabel("number of sample")
plt.legend(['train_len','test_len'])


plt.show()

使用seaborn绘制更好的图。seaborn计算的纵坐标是频率,而不是出现次数。由于训练集和测试集的数据量不一样,因此用频率更加科学、更能看出是否符合同一分布。

plt.figure(figsize=(15,5))
ax = sns.distplot(len_dist, bins=100)
ax = sns.distplot(len_test_dist, bins=100)
plt.xlim([0, max(max(len_dist), max(len_test_dist))])
plt.xlabel("length of sample")
plt.ylabel("prob of sample")
plt.legend(['train_len','test_len'])

通过直方图,我们能直观感受到训练集和测试集的长度分布都属于右偏分布。按理说分析到这份儿上就该停了。\

3.2.3 同分布验证

import scipy
scipy.stats.ks_2samp(len_dist, len_test_dist)
Ks_2sampResult(statistic=0.004049999999999998, pvalue=0.5279614323123156)

P值为0.52,比指定的显著水平(假设为5%)大,我们认为二者同分布。

3.2.4 截断位置

在输入模型进行训练之前,我们要把所有的数据长度统一化,数据肯定要截断。但是在什么位置截断合适呢?

考虑到数据长度分布是长尾分布,log一下看看是不是正态分布,如果是正态分布,使用3sigma法则作为截断的参考。如果不是,则就只能瞎猜了

测量拟合分布的均值和方差sigma原则:

  • 原则:数值分布在 中的概率为0.6526;
  • 原则:数值分布在 中的概率为0.9544;
  • 原则:数值分布在 中的概率为0.9974;

由于“小概率事件”和假设检验的基本思想 “小概率事件”通常指发生的概率小于5%的事件,认为在一次试验中该事件是几乎不可能发生的。由此可见X落在 以外的概率小于千分之三,在实际问题中常认为相应的事件是不会发生的,基本上可以把区间 看作是随机变量X实际可能的取值区间,这称之为正态分布的“ ”原则。

log_len_dist = np.log(1+len_dist)
log_len_test_dist = np.log(1+len_test_dist)
plt.figure(figsize=(15,5))
ax = sns.distplot(log_len_dist)
ax = sns.distplot(log_len_test_dist)
plt.xlabel("log length of sample")
plt.ylabel("prob of log")
plt.legend(['train_len','test_len'])

从log图上也能看出二者(很像)同分布。\

下面我想验证一下我的猜想:该分布为正态分布,且训练集和测试集为同分布。

先验证训练集分布为正态分布:

_, lognormal_ks_pvalue = scipy.stats.kstest(rvs=log_len_dist, cdf='norm')
print('P value is ', lognormal_ks_pvalue)


P value is  0.0

?0???拟合优度检验,p值为0,意思就是说这不是一个正态分布。

之前我们把数据log了一下,但是这里有更科学的变换方式。log只是box-cox变换的特殊形式。我们使用box-cox变换再次做一下验证,是否为正态分布:

trans_data, lam = scipy.stats.boxcox(len_dist+1)
scipy.stats.normaltest(trans_data)
NormaltestResult(statistic=1347.793358118494, pvalue=2.1398873511704724e-293)

e后面跟了那么多负数,我佛了。这说明我们的假设不成立。

但总归是要猜一个截断值的。看log图上8.5的位置比较靠谱。np.exp(8.5)=4914约等于5000,因此我初步决定把截断长度定为5000。

3.3 类别信息

3.3.1 简单查看类别信息表

先改造一下df_train,多加几个字段,分别是:

  • text-split,将text字段分词
  • len,每条新闻长度
  • first_char,新闻第一个字符
  • last_char,新闻最后一个字符
  • most_freq,新闻最常出现的字符
df_train['text_split'] = df_train['text'].apply(lambda x:x.split())
df_train['len'] = df_train['text'].apply(lambda x:len(x.split()))
df_train['first_char'] = df_train['text_split'].apply(lambda x:x[0])
df_train['last_char'] = df_train['text_split'].apply(lambda x:x[-1])
df_train['most_freq'] = df_train['text_split'].apply(lambda x:np.argmax(np.bincount(x)))
df_train.head()

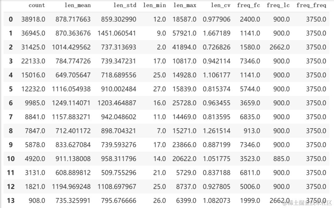
构建一个类别信息表。\

  • count,该类别新闻个数
  • len_mean,该类别新闻平均长度
  • len_std,该类别新闻长度标准差
  • len_min,该类别新闻长度最小值
  • len_max,该类别新闻长度最大值
  • freq_fc,该类别新闻最常出现的第一个字符
  • freq_lc,该类别新闻最常出现的最后一个字符
  • freq_freq,该类别新闻最常出现的字符
df_train_info = pd.DataFrame(columns=['count','len_mean','len_std','len_min','len_max','freq_fc','freq_lc','freq_freq'])
for name, group in df_train.groupby('label'):
    count = len(group) # 该类别新闻数
    len_mean = np.mean(group['len']) # 该类别长度平均值
    len_std = np.std(group['len']) # 长度标准差
    len_min = np.min(group['len']) # 最短的新闻长度
    len_max = np.max(group['len']) # 最长的新闻长度
    freq_fc = np.argmax(np.bincount(group['first_char'])) # 最频繁出现的首词
    freq_lc = np.argmax(np.bincount(group['last_char'])) # 最频繁出现的末词
    freq_freq = np.argmax(np.bincount(group['most_freq'])) # 该类别最频繁出现的词
    df_train_info.loc[name] = [count,len_mean,len_std,len_min,len_max,freq_fc,freq_lc,freq_freq]
df_train_info

3.3.2 类别分布

之前的讨论是从数据集总体验证同分布的,我们还需要验证训练集的类别足够均匀。

在数据集中标签的对应的关系如下

label_2_index_dict = {'科技': 0, '股票': 1, '体育': 2, '娱乐': 3, '时政': 4, '社会': 5, '教育': 6, '财经': 7, '家居': 8, '游戏': 9, '房产': 10, '时尚': 11, '彩票': 12, '星座': 13}
index_2_label_dict = {v:k for k,v in label_2_index_dict.items()}


plt.figure()
plt.bar(x=range(14), height=np.bincount(df_train['label']))
plt.xlabel("label")
plt.ylabel("number of sample")
plt.xticks(range(14), list(index_2_label_dict.values()), fontproperties=zhfont, rotation=60)
plt.show()

从统计结果可以看出\

  • 赛题的数据集类别分布存在较为不均匀的情况。在训练集中科技类新闻最多,其次是股票类新闻,最少的新闻是星座新闻。
  • 科技类新闻最多,星座类新闻最少。这个国家的人大部分是唯物主义者哈,神秘学受众比较少(啊这,我在分析什么?)。
  • 由于类别不均衡,会严重影响模型的精度。但是我们也是有办法应对的。

3.3.3 类别长度

df_train['len'] = df_train['text'].apply(lambda x: len(x.split()))
plt.figure()
ax = sns.catplot(x='label', y='len', data=df_train, kind='strip')
plt.xticks(range(14), list(index_2_label_dict.values()), fontproperties=zhfont, rotation=60)

在散点图中,股票类新闻的长度都飘到天上去了,可以看出股票分析类文章真的很容易写得又臭又长啊(发现:不同类别的文章长度不同,可以把长度作为一个Feature,以供机器学习模型训练)!\

3.4 字符分布

训练集中总共包括6869个字,最大数字为7549,最小数字为0,其中编号3750的字出现的次数最多,编号3133的字出现的次数最少,仅出现一次。

# 内存警告!!!没有8G内存不要运行该代码
all_lines = ' '.join(list(df_train['text']))
word_count = Counter(all_lines.split(" "))
word_count = sorted(word_count.items(), key=lambda d:d[1], reverse=True)


print(len(word_count))
# 6869


print(word_count[0])
# ('3750', 7482224)


print(word_count[-1])
# ('3133', 1)

下面代码统计了不同字符在多少个句子中出现过,其中字符3750、字符900和字符648在20w新闻的覆盖率接近99%,很有可能是标点符号。

%%time
df_train['text_unique'] = df_train['text'].apply(lambda x: ' '.join(list(set(x.split(' ')))))
all_lines = ' '.join(list(df_train['text_unique']))
word_count = Counter(all_lines.split(" "))
word_count = sorted(word_count.items(), key=lambda d:int(d[1]), reverse=True)
# 打印整个训练集中覆盖率前5的词
for i in range(5):
    print("{} occurs {} times, {}%".format(word_count[i][0], word_count[i][1], (word_count[i][1]/200000)*100))

四、分析总结

数据分析肯定要有结论,没有结论的数据分析是不完整的。

  1. 训练集共200,000条新闻,每条新闻平均907个字符,最短的句子长度为2,最长的句子长度为57921,其中75%以下的数据长度在1131以下。测试集共50,000条新闻,每条新闻平均909个字符,最短句子长度为14,最长句子41861,75%以下的数据长度在1133以下。
  2. 训练集和测试集就长度来说似乎是同一分布,但是不属于正态分布。
  3. 赛题的数据集类别分布存在较为不均匀的情况。在训练集中科技类新闻最多,其次是股票类新闻,最少的新闻是星座新闻。需要用采样方法解决。文章最长的是股票类新闻。不同类别的文章长度不同,可以把长度和句子个数作为一个Feature,以供机器学习模型训练。
  4. 训练集中总共包括6869个字,最大数字为7549,最小数字为0,其中编号3750的字出现的次数最多,编号3133的字出现的次数最少,仅出现一次,其中字符3750、字符900和字符648在20w新闻的覆盖率接近99%,很有可能是标点符号。
  5. 900很有可能是句号,2662和885则很有可能为感叹号和问号,3750出现频率很高但是基本不在新闻最后出现,因此初步判断为逗号。按照这种划分,训练集中每条新闻平均句子个数约为19。
  6. 在训练集中,不同类别新闻出现词汇有特色。但是需要把共有的常用词停用。自然想到利用TF-IDF编码方式。

往期精彩回顾




适合初学者入门人工智能的路线及资料下载机器学习及深度学习笔记等资料打印机器学习在线手册深度学习笔记专辑《统计学习方法》的代码复现专辑
AI基础下载机器学习的数学基础专辑获取一折本站知识星球优惠券,复制链接直接打开:https://t.zsxq.com/yFQV7am本站qq群1003271085。加入微信群请扫码进群: