Java中的经典算法之冒泡排序(Bubble Sort)

111 阅读4分钟

Java中的经典算法之冒泡排序(Bubble Sort)

原理:比较两个相邻的元素,将值大的元素交换至右端。

思路:依次比较相邻的两个数,将小数放在前面,大数放在后面。即在第一趟:首先比较第1个和第2个数,将小数放前,大数放后。然后比较第2个数和第3个数,将小数放前,大数放后,如此继续,直至比较最后两个数,将小数放前,大数放后。重复第一趟步骤,直至全部排序完成。

举例说明:要排序数组:int[] arr={6,3,8,2,9,1};

第一趟排序:

    第一次排序:6和3比较,6大于3,交换位置: 3 6 8 2 9 1

    第二次排序:6和8比较,6小于8,不交换位置:3 6 8 2 9 1

    第三次排序:8和2比较,8大于2,交换位置: 3 6 2 8 9 1

    第四次排序:8和9比较,8小于9,不交换位置:3 6 2 8 9 1

    第五次排序:9和1比较:9大于1,交换位置: 3 6 2 8 1 9

    第一趟总共进行了5次比较, 排序结果: 3 6 2 8 1 9


第二趟排序:

    第一次排序:3和6比较,3小于6,不交换位置:3 6 2 8 1 9

    第二次排序:6和2比较,6大于2,交换位置: 3 2 6 8 1 9

    第三次排序:6和8比较,6大于8,不交换位置:3 2 6 8 1 9

    第四次排序:8和1比较,8大于1,交换位置: 3 2 6 1 8 9

    第二趟总共进行了4次比较, 排序结果: 3 2 6 1 8 9


第三趟排序:

    第一次排序:3和2比较,3大于2,交换位置: 2 3 6 1 8 9

    第二次排序:3和6比较,3小于6,不交换位置:2 3 6 1 8 9

    第三次排序:6和1比较,6大于1,交换位置: 2 3 1 6 8 9

    第二趟总共进行了3次比较, 排序结果: 2 3 1 6 8 9


第四趟排序:

    第一次排序:2和3比较,2小于3,不交换位置:2 3 1 6 8 9

    第二次排序:3和1比较,3大于1,交换位置: 2 1 3 6 8 9

    第二趟总共进行了2次比较, 排序结果: 2 1 3 6 8 9


第五趟排序:

    第一次排序:2和1比较,2大于1,交换位置: 1 2 3 6 8 9

    第二趟总共进行了1次比较, 排序结果: 1 2 3 6 8 9


最终结果:1 2 3 6 8 9


由此可见:N个数字要排序完成,总共进行N-1趟排序,每i趟的排序次数为(N-i)次,所以可以用双重循环语句,外层控制循环多少趟,内层控制每一趟的循环次数,即

    for(int i = 0; i < arr.length-1; i++) 
    //外循环是控制排序的次数N-1, 每次循环结束确定一个最大值
        {
        // 内循环是比较的次数N-i
        {
            if(arr[j] > arr[j+1]){
                int temp = arr[j];
                arr[j] = arr[j+1];
                arr[j+1] = temp;
            }
        }
    }

冒泡排序的优点:每进行一趟排序,就会少比较一次,因为每进行一趟排序都会找出一个较大值。如上例:第一趟比较之后,排在最后的一个数一定是最大的一个数,第二趟排序的时候,只需要比较除了最后一个数以外的其他的数,同样也能找出一个最大的数排在参与第二趟比较的数后面,第三趟比较的时候,只需要比较除了最后两个数以外的其他的数,以此类推……也就是说,没进行一趟比较,每一趟少比较一次,一定程度上减少了算法的量。

用时间复杂度来说:

  1.如果我们的数据正序,只需要走一趟即可完成排序。所需的比较次数和记录移动次数均达到最小值,即:Cmin=n-1;Mmin=0;所以,冒泡排序最好的时间复杂度为O(n)。

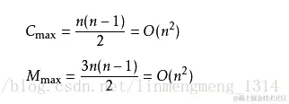
  2.如果很不幸我们的数据是反序的,则需要进行n-1趟排序。每趟排序要进行n-i次比较(1≤i≤n-1),且每次比较都必须移动记录三次来达到交换记录位置。在这种情况下,比较和移动次数均达到最大值:
冒泡排序的最坏时间复杂度为:O(n2) 。

综上所述:冒泡排序总的平均时间复杂度为:O(n2) 。

完整代码:

/*
*冒泡排序
*/
public class BubbleSort
{
public static void main(String[] args)
{
    int[] arr = {1,5,3,4,7,8,9,6,2,0};
    System.out.print("排序前的数组为:");
    for(int i = 0; i < arr.length; i++){
        System.out.print(arr[i] + " ");
    }
    for(int i = 0; i < arr.length-1; i++) //外循环是控制排序的次数N-1, 每次循环结束确定一个最大值
    {
        for(int j = 0; j < arr.length - 1 - i; j++) // 内循环是比较的次数N-i
        {
            if(arr[j] > arr[j+1]){
                int temp = arr[j];
                arr[j] = arr[j+1];
                arr[j+1] = temp;
            }
        }
    }
    System.out.println();
    System.out.print("排序后的数组为:");
    for(int i = 0; i < arr.length; i++){
        System.out.print(arr[i] + " ");
    }
}
}

文章摘自www.cnblogs.com/shen-hua/p/…