【机器学习基础】数学推导+纯Python实现机器学习算法10:线性不可分支持向量机...

169 阅读5分钟

Python机器学习算法实现

Author:louwill

     

     本节笔者和大家讨论支持向量机的最后一种情况——非线性支持向量机。前面两节我们探讨了数据样例是完全线性可分情况和近似线性可分情况下的支持向量机模型。但线性可分情况并非总如人愿,大多数时候我们遇到的都是非线性情况。

     

     所谓非线性可分问题,就是对于给定数据集,如果能用一个超曲面将正负实例正确分开,则这个问题为非线性可分问题。非线性问题的一个关键在于将原始数据空间转换到一个新的数据空间,在原始空间中的非线性可分问题到新空间就是是线性可分问题。

     一般来说,用线性可分方法来解决非线性可分问题可分为两步:首先用一个变换将原始空间的数据映射到新空间,再在新空间中用线性分类学习方法训练分类模型。这种将原始空间转换到新空间的方法称为核技巧(kernel trick)。

     假设存在一个从输入空间到特征空间的映射,使得所有的x和z都有函数K(x,z)=&(x).&(z),则称K(x,z)为核函数。在实际问题中,通常直接给定核函数的形式,然后进行求解。核函数的选择通常依赖于领域知识,最后由实验验证其有效性。常用的核函数包括多项式核函数、高斯核函数以及sigmoid核函数等,核函数更多细节问题可参考统计学习方法。

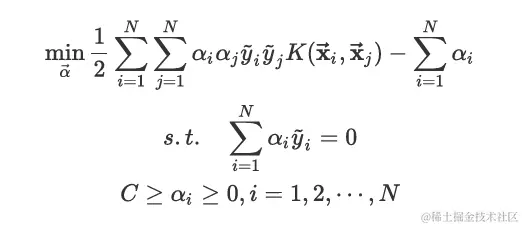
     基于核函数的非线性支持向量机对偶优化问题如下:

     当核函数为正定核的时候,上述优化问题为凸优化问题,是可以直接进行求解的。可求得最优解:

     计算w如下:

     最后可构造分类决策函数:

     虽然凸优化问题可以直接求解,但当数据量很大时,直接求解将会非常低效,这时候可能需要一些高效的训练算法,比如说SMO(序列最小最优化)算法。关于SMO算法的内容这里不展开叙述,可参考统计学习方法了解更多内容。

下面来看基于cvxopt的非线性支持向量机快速实现方法。

导入相关package:

import numpy as np
from numpy import linalg
import cvxopt
import cvxopt.solvers
import pylab as pl

定义多项式核函数如下:

def polynomial_kernel(x, y, p=3):
    return (1 + np.dot(x, y)) ** p

生成示例数据:

def gen_non_lin_separable_data():
    mean1 = [-1, 2]
    mean2 = [1, -1]
    mean3 = [4, -4]
    mean4 = [-4, 4]
    cov = [[1.0, 0.8], [0.8, 1.0]]
    X1 = np.random.multivariate_normal(mean1, cov, 50)
    X1 = np.vstack((X1, np.random.multivariate_normal(mean3, cov, 50)))
    y1 = np.ones(len(X1))
    X2 = np.random.multivariate_normal(mean2, cov, 50)
    X2 = np.vstack((X2, np.random.multivariate_normal(mean4, cov, 50)))
    y2 = np.ones(len(X2)) * -1
    return X1, y1, X2, y2

然后是构建非线性支持向量机模型,完整版代码如下:

import numpy as np
from numpy import linalg
import cvxopt
import cvxopt.solvers


def polynomial_kernel(x, y, p=3):
    return (1 + np.dot(x, y)) ** p


class nolinear_svm(object):
    
    def __init__(self, kernel=linear_kernel, C=None):
        self.kernel = kernel
        self.C = C
        if self.C is not None: self.C = float(self.C)
    
    def fit(self, X, y):
        n_samples, n_features = X.shape
        
        # Gram 矩阵
        K = np.zeros((n_samples, n_samples))
        for i in range(n_samples):
            for j in range(n_samples):
                K[i, j] = self.kernel(X[i], X[j])
        
        P = cvxopt.matrix(np.outer(y, y) * K)
        q = cvxopt.matrix(np.ones(n_samples) * -1)
        A = cvxopt.matrix(y, (1, n_samples))
        b = cvxopt.matrix(0.0)
        
        if self.C is None:
            G = cvxopt.matrix(np.diag(np.ones(n_samples) * -1))
            h = cvxopt.matrix(np.zeros(n_samples))
        else:
            tmp1 = np.diag(np.ones(n_samples) * -1)
            tmp2 = np.identity(n_samples)
            G = cvxopt.matrix(np.vstack((tmp1, tmp2)))
            tmp1 = np.zeros(n_samples)
            tmp2 = np.ones(n_samples) * self.C
            h = cvxopt.matrix(np.hstack((tmp1, tmp2)))
        
        # 求解二次规划
        solution = cvxopt.solvers.qp(P, q, G, h, A, b)
        
        # 获得拉格朗日乘子
        a = np.ravel(solution['x'])
        
        # 非零拉格朗日乘子的支持向量
        sv = a > 1e-5
        ind = np.arange(len(a))[sv]
        self.a = a[sv]
        self.sv = X[sv]
        self.sv_y = y[sv]
        print("%d support vectors out of %d points" % (len(self.a), n_samples))
        
        # 截距项
        self.b = 0
        for n in range(len(self.a)):
            self.b += self.sv_y[n]
            self.b -= np.sum(self.a * self.sv_y * K[ind[n], sv])
        self.b /= len(self.a)
        
        # 权重参数向量
        if self.kernel == linear_kernel:
            self.w = np.zeros(n_features)
            for n in range(len(self.a)):
                self.w += self.a[n] * self.sv_y[n] * self.sv[n]
        else:
            self.w = None
            
    # 预测函数
    def project(self, X):
        if self.w is not None:
            return np.dot(X, self.w) + self.b
        else:
            y_predict = np.zeros(len(X))
            for i in range(len(X)):
                s = 0
                for a, sv_y, sv in zip(self.a, self.sv_y, self.sv):
                    s += a * sv_y * self.kernel(X[i], sv)
                y_predict[i] = s
            return y_predict + self.b
    
    def predict(self, X):
        return np.sign(self.project(X))




if __name__ == "__main__":
    def gen_non_lin_separable_data():
        mean1 = [-1, 2]
        mean2 = [1, -1]
        mean3 = [4, -4]
        mean4 = [-4, 4]
        cov = [[1.0, 0.8], [0.8, 1.0]]
        X1 = np.random.multivariate_normal(mean1, cov, 50)
        X1 = np.vstack((X1, np.random.multivariate_normal(mean3, cov, 50)))
        y1 = np.ones(len(X1))
        X2 = np.random.multivariate_normal(mean2, cov, 50)
        X2 = np.vstack((X2, np.random.multivariate_normal(mean4, cov, 50)))
        y2 = np.ones(len(X2)) * -1
        return X1, y1, X2, y2
    
    def split_train(X1, y1, X2, y2):
        X1_train = X1[:90]
        y1_train = y1[:90]
        X2_train = X2[:90]
        y2_train = y2[:90]
        X_train = np.vstack((X1_train, X2_train))
        y_train = np.hstack((y1_train, y2_train))
        return X_train, y_train
    
    def split_test(X1, y1, X2, y2):
        X1_test = X1[90:]
        y1_test = y1[90:]
        X2_test = X2[90:]
        y2_test = y2[90:]
        X_test = np.vstack((X1_test, X2_test))
        y_test = np.hstack((y1_test, y2_test))
        return X_test, y_test
    
    def plot_margin(X1_train, X2_train, clf):
        def f(x, w, b, c=0):
            return (-w[0] * x - b + c) / w[1]
        
        pl.plot(X1_train[:, 0], X1_train[:, 1], "ro")
        pl.plot(X2_train[:, 0], X2_train[:, 1], "bo")
        pl.scatter(clf.sv[:, 0], clf.sv[:, 1], s=100, c="g")
        
        # w.x + b = 0
        a0 = -4;
        a1 = f(a0, clf.w, clf.b)
        b0 = 4;
        b1 = f(b0, clf.w, clf.b)
        pl.plot([a0, b0], [a1, b1], "k")
        
        # w.x + b = 1
        a0 = -4;
        a1 = f(a0, clf.w, clf.b, 1)
        b0 = 4;
        b1 = f(b0, clf.w, clf.b, 1)
        pl.plot([a0, b0], [a1, b1], "k--")
        
        # w.x + b = -1
        a0 = -4;
        a1 = f(a0, clf.w, clf.b, -1)
        b0 = 4;
        b1 = f(b0, clf.w, clf.b, -1)
        pl.plot([a0, b0], [a1, b1], "k--")
        
        pl.axis("tight")
        pl.show()
    
    
    def plot_contour(X1_train, X2_train, clf):
        pl.plot(X1_train[:, 0], X1_train[:, 1], "ro")
        pl.plot(X2_train[:, 0], X2_train[:, 1], "bo")
        pl.scatter(clf.sv[:, 0], clf.sv[:, 1], s=100, c="g")
        
        X1, X2 = np.meshgrid(np.linspace(-6, 6, 50), np.linspace(-6, 6, 50))
        X = np.array([[x1, x2] for x1, x2 in zip(np.ravel(X1), np.ravel(X2))])
        Z = clf.project(X).reshape(X1.shape)
        pl.contour(X1, X2, Z, [0.0], colors='k', linewidths=1, origin='lower')
        pl.contour(X1, X2, Z + 1, [0.0], colors='grey', linewidths=1, origin='lower')
        pl.contour(X1, X2, Z - 1, [0.0], colors='grey', linewidths=1, origin='lower')
        
        pl.axis("tight")
        pl.show()
    
    def test_non_linear():
        X1, y1, X2, y2 = gen_non_lin_separable_data()
        X_train, y_train = split_train(X1, y1, X2, y2)
        X_test, y_test = split_test(X1, y1, X2, y2)
        
        clf = nolinear_svm(polynomial_kernel)
        clf.fit(X_train, y_train)
        
        y_predict = clf.predict(X_test)
        correct = np.sum(y_predict == y_test)
        print("%d out of %d predictions correct" % (correct, len(y_predict)))
        
        plot_contour(X_train[y_train == 1], X_train[y_train == -1], clf)
    
    test_non_linear()

基于多项式核函数的非线性支持向量机分类效果如下:

     以上就是本节内容,关于支持向量机的部分内容,笔者就简单写到这里,下一讲我们来看看朴素贝叶斯算法。完整代码文件和数据可参考笔者GitHub地址:

github.com/luwill/mach…

参考资料:

github.com/SmirkCao/Li…

cvxopt.org/examples/