【机器学习基础】数学推导+纯Python实现机器学习算法4:决策树之ID3算法

987 阅读5分钟

     

Python机器学习算法实现

Author:louwill

     

     作为机器学习中的一大类模型,树模型一直以来都颇受学界和业界的重视。目前无论是各大比赛各种大杀器的XGBoost、lightgbm还是像随机森林、Adaboost等典型集成学习模型,都是以决策树模型为基础的。传统的经典决策树算法包括ID3算法、C4.5算法以及GBDT的基分类器CART算法。\

     三大经典决策树算法最主要的区别在于其特征选择准则的不同。ID3算法选择特征的依据是信息增益、C4.5是信息增益比,而CART则是Gini指数。作为一种基础的分类和回归方法,决策树可以有如下两种理解方式。一种是我们可以将决策树看作是一组if-then规则的集合,另一种则是给定特征条件下类的条件概率分布。关于这两种理解方式,读者朋友可深入阅读相关教材进行理解,笔者这里补详细展开。

     根据上述两种理解方式,我们既可以将决策树的本质视作从训练数据集中归纳出一组分类规则,也可以将其看作是根据训练数据集估计条件概率模型。整个决策树的学习过程就是一个递归地选择最优特征,并根据该特征对数据集进行划分,使得各个样本都得到一个最好的分类的过程。

ID3算法理论

     所以这里的关键在于如何选择最优特征对数据集进行划分。答案就是前面提到的信息增益、信息增益比和Gini指数。因为本篇针对的是ID3算法,所以这里笔者仅对信息增益进行详细的表述。

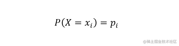
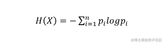
     在讲信息增益之前,这里我们必须先介绍下熵的概念。在信息论里面,熵是一种表示随机变量不确定性的度量方式。若离散随机变量X的概率分布为:

\

     则随机变量X的熵定义为:

     同理,对于连续型随机变量Y,其熵可定义为:

     当给定随机变量X的条件下随机变量Y的熵可定义为条件熵H(Y|X):

     所谓信息增益就是数据在得到特征X的信息时使得类Y的信息不确定性减少的程度。假设数据集D的信息熵为H(D),给定特征A之后的条件熵为H(D|A),则特征A对于数据集的信息增益g(D,A)可表示为:

g(D,A) = H(D) - H(D|A)

     信息增益越大,则该特征对数据集确定性贡献越大,表示该特征对数据有较强的分类能力。信息增益的计算示例如下:
1).计算目标特征的信息熵。

2).计算加入某个特征之后的条件熵。

3).计算信息增益。

     以上就是ID3算法的核心理论部分,至于如何基于ID3构造决策树,我们在代码实例中来看。

ID3算法实现\

     先读入示例数据集:

import numpy as np
import pandas as pd
from math import log

df = pd.read_csv('./example_data.csv')
df

定义熵的计算函数:\

def entropy(ele):    
    '''
    function: Calculating entropy value.
    input: A list contain categorical value.
    output: Entropy value.
    entropy = - sum(p * log(p)), p is a prob value.
    '''
    # Calculating the probability distribution of list value
    probs = [ele.count(i)/len(ele) for i in set(ele)]    
    # Calculating entropy value
    entropy = -sum([prob*log(prob, 2) for prob in probs])    
    return entropy

计算示例:

\

然后我们需要定义根据特征和特征值进行数据划分的方法:

def split_dataframe(data, col):    
    '''
    function: split pandas dataframe to sub-df based on data and column.
    input: dataframe, column name.
    output: a dict of splited dataframe.
    '''
    # unique value of column
    unique_values = data[col].unique()    
    # empty dict of dataframe
    result_dict = {elem : pd.DataFrame for elem in unique_values}    
    # split dataframe based on column value
    for key in result_dict.keys():
        result_dict[key] = data[:][data[col] == key]    
    return result_dict

根据temp和其三个特征值的数据集划分示例:

     然后就是根据熵计算公式和数据集划分方法计算信息增益来选择最佳特征的过程:

def choose_best_col(df, label):    
    '''
    funtion: choose the best column based on infomation gain.
    input: datafram, label
    output: max infomation gain, best column,
            splited dataframe dict based on best column.
    '''
    # Calculating label's entropy
    entropy_D = entropy(df[label].tolist())    
    # columns list except label
    cols = [col for col in df.columns if col not in [label]]    
    # initialize the max infomation gain, best column and best splited dict
    max_value, best_col = -999, None
    max_splited = None
    # split data based on different column
    for col in cols:
        splited_set = split_dataframe(df, col)
        entropy_DA = 0
        for subset_col, subset in splited_set.items():            
            # calculating splited dataframe label's entropy
            entropy_Di = entropy(subset[label].tolist())            
            # calculating entropy of current feature
            entropy_DA += len(subset)/len(df) * entropy_Di        
        # calculating infomation gain of current feature
        info_gain = entropy_D - entropy_DA        
        if info_gain > max_value:
            max_value, best_col = info_gain, col
            max_splited = splited_set    
        return max_value, best_col, max_splited

     最先选到的信息增益最大的特征是outlook:

     决策树基本要素定义好后,我们即可根据以上函数来定义一个ID3算法类,在类里面定义构造ID3决策树的方法:

class ID3Tree:    
    # define a Node class
    class Node:        
        def __init__(self, name):
            self.name = name
            self.connections = {}    
            
        def connect(self, label, node):
            self.connections[label] = node    
        
    def __init__(self, data, label):
        self.columns = data.columns
        self.data = data
        self.label = label
        self.root = self.Node("Root")    
    
    # print tree method
    def print_tree(self, node, tabs):
        print(tabs + node.name)        
        for connection, child_node in node.connections.items():
            print(tabs + "\t" + "(" + connection + ")")
            self.print_tree(child_node, tabs + "\t\t")    
    
    def construct_tree(self):
        self.construct(self.root, "", self.data, self.columns)    
    
    # construct tree
    def construct(self, parent_node, parent_connection_label, input_data, columns):
        max_value, best_col, max_splited = choose_best_col(input_data[columns], self.label)        
        if not best_col:
            node = self.Node(input_data[self.label].iloc[0])
            parent_node.connect(parent_connection_label, node)            
        return

        node = self.Node(best_col)
        parent_node.connect(parent_connection_label, node)

        new_columns = [col for col in columns if col != best_col]        
        # Recursively constructing decision trees
        for splited_value, splited_data in max_splited.items():
            self.construct(node, splited_value, splited_data, new_columns)

     根据上述代码和示例数据集构造一个ID3决策树:


     以上便是ID3算法的手写过程。sklearn中tree模块为我们提供了决策树的实现方式,参考代码如下:

from sklearn.datasets import load_iris
from sklearn import tree
import graphviz

iris = load_iris()
# criterion选择entropy,这里表示选择ID3算法
clf = tree.DecisionTreeClassifier(criterion='entropy', splitter='best')
clf = clf.fit(iris.data, iris.target)

dot_data = tree.export_graphviz(clf, out_file=None,
                               feature_names=iris.feature_names,
                               class_names=iris.target_names,
                               filled=True,
                               rounded=True,
                               special_characters=True)
graph = graphviz.Source(dot_data)
graph

往期精彩:

数学推导+纯Python实现机器学习算法3:k近邻**
**

数学推导+纯Python实现机器学习算法2:逻辑回归**
**

数学推导+纯Python实现机器学习算法1:线性回归