【算法知识】详解选择排序算法

118 阅读2分钟

基本思想

选择排序的思想是:     
给定一个数组arr,其长度为n;        
第一次从 arr[0] 到 arr[n-1] 中选取一个最值(按照需求,可以是最大值,可以是最小值,下同)与arr[0]进行交换;            
第二次从arr[1] 到 arr[n-1]  中选取一个最值与arr[1]进行交换; 
以此类推,直到arr[n-2]到arr[n-1]中选出最值交换后即完成排序。(只剩下一个元素,前面的都是比它小(或者大)的)。

例子

给定数组 arr 为 [ 300, 50 , 120 , 110 ];   
则其初始状态为:   \

初始状态

定义两个变量minIndexmin,分别表示最小值元素的索引,和最小值元素的值。   
先假定最小值元素为循环开始的第一个元素。 
第一次循环将minIndexmin分别赋值为 0300。 
循环变量为当前元素的下一个元素的索引。   
由图来演示算法过程:   
黄色表示当前循环需要遍历的元素。

第一趟排序

第一趟排序状态1

此时 50  < min当前值300,将minIndex赋值为1,将min赋值为50;

第一趟排序状态2


循环变量向后移动。

第一趟排序状态3

此时 120  > min当前值50,循环变量直接向后移动;

第一趟排序状态4

此时 110  > min当前值50,循环变量无法向后移动,当前循环结束。

minIndex不等于循环开始前的首元素的索引0,发生交换。

第一趟排序状态5

第二趟排序

第二趟排序状态1

此时 120  > min当前值100,循环变量直接向后移动;

第二趟排序状态2

此时 120  > min当前值110,循环变量向后移动则会发生越界,当前循环结束。

minIndex等于循环开始前的首元素的索引1,不发生交换。

第三趟排序

第三趟排序状态1

此时 110  < min当前值120,将minIndex赋值为3,将min赋值为110;

第三趟排序状态2

循环变量再向后移动则会发生越界,当前循环结束。

minIndex不等于循环开始前的首元素的索引2,发生交换。

第三趟排序状态3

因为前n-1个元素均排序完毕,所以原数组排序完毕。

我们由例子可知:
选择排序的趟数为数组长度-1

代码

由上面的讲解知道要写成双重循环,最终代码如下:

import java.util.Arrays;

public class Solution {
    public static void main(String[] args) {
        int [] arr = new int[]{300,50,120,110};
        System.out.println("排序前的数组" + Arrays.toString(arr));
        selectSort(arr);
        System.out.println("排序前的数组" + Arrays.toString(arr));
    }
    public static void selectSort(int[] arr){

        int minIndex;//最小值元素索引
        int min;//最小值元素
        for (int i = 0; i < arr.length - 1; i++) {
            minIndex = i;
            min = arr[i];
            for (int j = i + 1; j < arr.length; j++) {
                if (min > arr[j]) {
                    min = arr[j];
                    minIndex = j;
                }
            }
            //交换
            if (minIndex != i) {
                arr[minIndex] = arr[i];
                arr[i] = min;
            }
        }
    }
}

时间复杂度

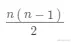
比较次数与关键字的初始状态无关,总的比较次数N=(n-1)+(n-2)+…+1= 。为

稳定性

选择排序是不稳定的排序算法。 
举个例子来说明:   
序列 6 9 6 3 10      
在第一趟排序时第一个6会和3交换位置,那么原序列中两个6的相对前后顺序就被破坏了。   
所以选择排序是一个不稳定的排序算法。

往期精彩回顾




适合初学者入门人工智能的路线及资料下载机器学习在线手册深度学习在线手册AI基础下载(pdf更新到25集)本站qq群1003271085,加入微信群请回复“加群”获取一折本站知识星球优惠券,请回复“知识星球”喜欢文章,点个在看