作者:JackTian
微信公众号:杰哥的IT之旅(ID:Jake_Internet)
一、什么是 Markdown?
Markdown 是一种轻量级标记语言,创始人是约翰·格鲁伯(John Gruber)。允许人们使用易读易写的纯文本格式编写文档,可以导出 HTML 、Word、图像、PDF、Epub 等多种格式的文档,文档后缀为.md,.markdown。
听说Markdown是目前互联网上最流行的写作语言,它使用一些简单的符号# * / > [] ()\来标记文本格式,语法非常简单。除此之外,还有很多非常好看的格式可自行选择。
二、为什么学习 Markdown?
自从运营公众号起,刚开始那会,我都是通过公众号后台编辑的文章。这里肯定有不少读者,不知道公众号后台是如何编辑文章的,给大家看下,具体见下图。
公众号后台编辑文章时,不仅输出的同时,还要调整字体大小、加粗、对齐、缩进等一系列的操作,刚开始推送出去的文章,排版整体觉得不是很美观,后来,慢慢接触了业界的大佬们吸取了他们的经验,慢慢改善,逐步转向了markdown编辑器,排版格式也得到了读者们的认可。
经过一段时间的研究后,Markdown 编辑器不仅可以帮助公众号排版之外,还可以给其他文档进行排版,使其文章更有结构感,整体布局也更加好看。我相信大家,只要你喜欢记录和输出,Markdown 是一个非常值得学习和掌握的技能,良好的平台扩展性,专注于写作本身而不是格式。
三、Markdown 编辑器工具
- 平台文章编辑器:简书、CSDN 等;
- 本地APP:MarkText、Typora、Notable、vnote 等;
- Web APP:md2all、mdeditor 等;
四、Markdown 有哪些特点?
- 一键创建
- 支持主流的语法
- 支持插入图片
- 支持多种模式切换
- 跨平台同步
- 演示模式
- …
五、Markdown 的基本语法
Markdown 标题
使用#号可表示1-6级标题,一级标题对应一个#号,二级标题对应两个#号,以此类推。
# 一级标题
## 二级标题
### 三级标题
#### 四级标题
##### 五级标题
###### 六级标题
字体
斜体文本:可以在需要标注为斜体文本前及斜体文本结尾,输入一个星号*或者一个下划线_
粗体文本:可以在需要标注为粗体文本前及粗体文本结尾,输入两个星号**或者两个下划线__
粗斜体文本:可以在需要标注为粗斜体文本前及粗斜体文本结尾,输入三个星号***或者三个下划线 _
*斜体文本*
_斜体文本_
**粗体文本**
__粗体文本__
***粗斜体文本***
___粗斜体文本___
分隔线
在一行中用三个(以上)的星号、减号、底线来建立一个分隔线,该分隔线行内不能输出任何其他文本,也可以在星号或是减号中间插入空格。
***
* * *
*****
- - -
删除线
如果段落上的文字需添加删除线,在需要添加删除线的文字首部和尾部加上两个波浪线~~即可
~~这行文字已被删除~~
这行文字已被删除
下划线
如果段落上的文字需添加下划线,在需要添加下划线的文字首部和尾部加上<u>文本</u>即可
<u>这行文字已被添加下划线</u>
这行文字已被添加下划线
脚注
脚注是对文本的备注说明。
print ^Hello World
[^Hello World]:你好,世界
列表
Markdown 支持有序列表和无序列表。
无序列表使用星号(*)、加号(+)或是减号(-)作为列表标记;
有序列表使用数字并加上 . 号标记;
* 第一
+ 第二
- 第三
1.第四
2.第五
3.第六
列表嵌套
列表嵌套需在子列表中的选项中添加四个空格
1. 第一
- 第一个列表嵌套
2. 第二
- 第二个列表嵌套
- 第一
- 第一个列表嵌套
-
第二
-
- 第二个列表嵌套
引用
Markdown 引用需在段落开头使用
>符号,后面紧跟一个空格符号,不加也可。> 这是一个引用 > 作者:JackTian > 微信公众号:杰哥的IT之旅(ID:Jake_Internet)这是一个引用
作者:JackTian
微信公众号:杰哥的IT之旅(ID:Jake_Internet)除上述引用外,还可以嵌套,一个
>符号在第一层,两个>符号是第一层的嵌套,以此类推。> 这是一个引用 > > 作者:JackTian > > > 微信公众号:杰哥的IT之旅(ID:Jake_Internet)这是一个引用
作者:JackTian
微信公众号:杰哥的IT之旅(ID:Jake_Internet)
引用中使用列表
> 引用列表 > * 这是一个引用 > - 作者:JackTian > 1. 微信公众号:杰哥的IT之旅(ID:Jake_Internet)引用列表
-
这是一个引用
-
作者:JackTian
- 微信公众号:杰哥的IT之旅(ID:Jake_Internet)
列表中使用引用
如要在列表中使用引用,需要在
>号前添加四个空格的缩进。- 列表中使用引用 1 > 这是一个引用 > 作者:JackTian > 微信公众号:杰哥的IT之旅(ID:Jake_Internet) - 列表中使用引用 2-
列表中使用引用 1
这是一个引用
作者:JackTian
微信公众号:杰哥的IT之旅(ID:Jake_Internet) -
列表中使用引用 2
代码
markdown对代码块的语法是开始和结束行都要添加:```,其中 ` 为windows键盘左上角那个,要精确指定语言(如:
java、cpp、css、xml、javascript、python、php、go、kotlin、lua、objectivec等等)时,在头部直接指定,如:```java#!/bin/bash . /etc/init.d/functions for var in {11..59}; do ip=172.16.1.$var ping -c2 $ip >/dev/null 2>&1 if [ $? = 0 ];then action "$ip" /bin/true else action "$ip" /bin/false fi don链接
链接语法格式:
[链接名称](链接地址) 或者 <链接地址>[Linux 环境下实战 Rsync 备份工具及配置 rsync+inotify 实时同步](https://mp.weixin.qq.com/s/P8XDrr7ROIXBYOZnLy45zA) 或者 <https://mp.weixin.qq.com/s/P8XDrr7ROIXBYOZnLy45zA>除此之外,链接还可以用变量来代替。
这个链接用 Rsync 备份工具 作为网址变量 Linux 环境下实战 Rsync 备份工具及配置 rsync+inotify 实时同步
这个链接用 无人值守安装 作为网址变量 RHEL 6 下 DHCP+TFTP+FTP+PXE+Kickstart 实现无人值守安装
结尾变量地址如下:
[Linux 环境下实战 Rsync 备份工具及配置 rsync+inotify 实时同步]: https://mp.weixin.qq.com/s/P8XDrr7ROIXBYOZnLy45zA [RHEL 6 下 DHCP+TFTP+FTP+PXE+Kickstart 实现无人值守安装]: https://mp.weixin.qq.com/s/YcPnTT74HfturmINeDvCeA图片
图片语法格式:
 除此之外,图片网址使用变量
这个链接用 WeChat 作为网址变量 WeChat。
变量赋值:
[WeChat]:https://mmbiz.qpic.cn/mmbiz_png/nDMNE6lrvW5vhBgOCoUxyvxibYqeibicjWyFzjVIY8fEWVslGUcwPxicOggBCt0Os7ib7KYzqwNLS3sIAmGMxQRlibjg/0?wx_fmt=png在 Markdown 编辑器是无法调整图片的高度与宽度的,如需要可使用普通的
<img>标签。<img src="https://mmbiz.qpic.cn/mmbiz_png/nDMNE6lrvW5vhBgOCoUxyvxibYqeibicjWyFzjVIY8fEWVslGUcwPxicOggBCt0Os7ib7KYzqwNLS3sIAmGMxQRlibjg/0?wx_fmt=png" width="50%">表格
制作表格使用
|来分隔不同的单元格,使用-来分隔表头和其他行。表格语法格式:
| 表头 | 表头 | 表头 | | ---- | ---- | ----- | | 单元格 | 单元格 | 单元格 | | 单元格 | 单元格 | 单元格 |注意:表格在公众号预览时,可能在 PC 端显示的不是正确的全屏,但在手机上预览时会正常显示为全屏。
如果你想调整表格的
左对齐、右对齐、居中对齐,可按下述方式进行调整;:-:将表头及单元格的内容左对齐;
-::将表头及单元格的内容左对齐;
:-::将表头及单元格的内容居中对齐;| 表头1 | 表头2 | 表头3 | 表头4 | | :---- | :----: | :-----: | -----:| | 单元格1 | 单元格2 | 单元格3 | 单元格4 | | 单元格1 | 单元格2 | 单元格3 | 单元格4 |支持 HTML 元素
目前支持的 HTML 元素有:
<kbd> <b> <i> <em> <sup> <sub> <br>等;不在 Markdown 涵盖范围之内的标签,可直接在文档里面用 HTML 撰写,通过
md2all编辑器是无法显示使用<kbd>Ctrl</kbd>+<kbd>C</kbd>复制文本 HTML 元素的,这里大家可以结合mdeditor编辑器平台来实现。使用 <kbd>Ctrl</kbd>+<kbd>C</kbd> 复制文本转义
在 Markdown 编辑器里面使用了很多特殊符号来表示特定的意义,该特殊符号将不再显示。那么如果需要想让这些特殊符号显示出来,则需要使用转义字符,Markdown 编辑器可使用
反斜杠来进行转义特殊字符即可;转义特殊字符格式:
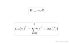
\*\* 转义特殊符号正常显示 \*\*科学公式
当需要在 Markdown 编辑器中插入数学公式时,可以使用两个美元符
$$包裹TeX或LaTeX格式的数学公式来实现。$$E=mc^2$$ $$\sin(\alpha)^{\theta}=\sum_{i=0}^{n}(x^i + \cos(f))$$多行公式
****
横向流程图
在
md2all编辑器是无法实现流程图的制作的,可以在有道云笔记PC端,新建一个md的文件,开启源代码模式进行编辑查看效果;``` graph LR A(总经理) --> B(技术部) B --> C{开发/测试/运维} C --> |开发部| D[开发者1] C --> |测试部| E[测试者1] C --> |运维部| F[运维者1] G[横向流程图]```竖向流程图
``` graph TD A(总经理) --> B(技术部) B --> C{开发/测试/运维} C --> D[开发者1] C --> E[测试者1] C --> F[运维者1] G[竖向流程图] ```标准流程图
```flow st=>start: 用户登陆 op=>operation: 登陆操作 cond=>condition: 登陆成功 Yes or No? e=>end: 进入后台 st->op->cond cond(yes)->e cond(no)->op ```标准流程图(横向)
```flow st=>start: 用户登陆 op=>operation: 登录操作 cond=>condition: 登陆成功(Yes or No?) sub1=>subroutine: 重新登录 io=>inputoutput: 开始操作后台 e=>end: 退出系统 st(right)->op(right)->cond cond(yes)->io(bottom)->e cond(no)->sub1(right)->op ```UML时序图
```sequence 好友A->好友C: Hello,好友C!(请求) Note left of 好友A: 一段有趣的对话 好友C-->好友A: Hi,好友A!(响应) 好友A->好友B: Good night! 好友B-->好友A: Good night! 好友C->好友B: How are you? 好友B-->好友C: Fine,thank you! ```UML 复杂时序图
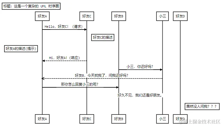
```sequence Title: 标题:这是一个复杂的 UML 时序图 好友A->好友C: Hello,好友C!(请求) Note right of 好友C: 好友C的描述 Note left of 好友A: 好友A的描述(提示) 好友C-->好友A: Hi,好友A!(响应) 好友B->小三: 小三,你还好吗? 小三-->>好友A: 好友B,今天找我了,问我还好吗? 好友A->好友B: 那你怎么回复小三的呢? Note over 小三,好友B: 好久不见,我们还是好朋友。 participant 好友D Note right of 好友D: 居然没人问我???```除了上面举例的
横向流程图、竖向流程图、标准流程图、标准流程图(横向)、UML时序图、UML复杂时序图,还有UML标准时序图、甘特图等等。六、Markdown 可以在哪个平台编写文章?
在上面第三标题内简单介绍了几款
平台文章编辑器、本地 APP、Web APP,结合我自身情况,现在用的是md2all编辑器来写文章,只需简单的一些特殊字符来完成即可,不会把整体的文章搞的花里胡哨的。大家也可以根据自己的需求,选择适合自己的。这里也欢迎大家留言说说,你是通过什么 Markdown 编辑器工具来写文章的。
七、怎么将 Markdown 编写的文章与公众号平台相结合?
公众号编辑器是一个富文本编辑器,样式都比较基础,不支持直接用Markdown语法来编辑文本。
我个人是通过
md2all编辑器编写好后,然后复制粘贴到公众号,所有的样式渲染地很完美,包括图片加载等等,且格式也不会变的很乱。 (备注:这里有修改)推荐一个神网站mdnice.com,可以将Markdown源文件复制Markdown编辑器,预览窗口即可显示效果,并可以复制到微信公众号或者知乎。
效果图:
```php
往期精彩回顾 适合初学者入门人工智能的路线及资料下载机器学习在线手册深度学习在线手册AI基础下载(pdf更新到25集)备注:加入本站微信群或者qq群,请回复“加群”获取一折本站知识星球优惠券,请回复“知识星球”