拉格朗日乘数法的原理,我用10幅图把它讲清楚

188 阅读4分钟

机器学习是一个目标函数优化问题,给定目标函数f,约束条件会有一般包括以下三类:

  1. 仅含等式约束
  2. 仅含不等式约束
  3. 等式和不等式约束混合型

当然还有一类没有任何约束条件的最优化问题

关于最优化问题,大都令人比较头疼,首先大多教材讲解通篇都是公式,各种符号表达,各种梯度,叫人看的云里雾里。

有没有结合几何图形阐述以上问题的?很庆幸,还真有这么好的讲解材料,图文并茂,逻辑推导严谨,更容易叫我们理解拉格朗日乘数法KKT条件为什么就能求出极值。

1 仅含等式约束

假定目标函数是连续可导函数,问题定义如下:

然后,\

通过以上方法求解此类问题,但是为什么它能求出极值呢

这是本篇文章写作目的,解释为什么这种方法就能求出极值。

2 找找 sense

大家时间都有限,只列出最核心的逻辑,找找sense, 如有兴趣可回去下载PPT仔细体会。

此解释中对此类问题的定义:

为了更好的阐述,给定一个具体例子,锁定:

所以,f(x)的一系列取值包括0,1,100,10000等任意实数:\

但是,约束条件h(x)注定会约束f(x)不会等于100,不会等于10000...

一个可行点:

3 梯度下降

我们想要寻找一个移动x的规则,使得移动后f(x+delta_x)变小,当然必须满足约束h(x+delta_x)=0

使得f(x)减小最快的方向就是它的梯度反方向,即

\

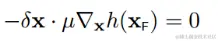
因此,要想f(x+delta_x) 变小,通过图形可以看出,只要保持和梯度反方向夹角小于90,也就是保持大概一个方向,f(x+delta_x)就会变小,转化为公式就是:

如下所示的一个delta_x就是一个会使得f(x)减小的方向,但是这种移动将会破坏等式约束: h(x)=0,关于准确的移动方向下面第四小节会讲到

4 约束面的法向

约束面的外法向:

约束面的内法向:

绿圈表示法向的正交方向

x沿着绿圈内的方向移动,将会使得f(x)减小,同时满足等式约束h(x) = 0

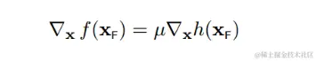
5 提出猜想

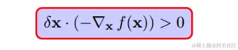
我们不妨大胆假设,如果满足下面的条件:

\

根据第四小节讲述,delta_x必须正交于h(x),所以:

所以:

至此,我们就找到f(x)偏导数等于0的点,就是下图所示的两个关键点(它们也是f(x)与h(x)的临界点) 。且必须满足以下条件,也就是两个向量必须是平行的:

6 完全解码拉格朗日乘数法

至此,已经完全解码拉格朗日乘数法,拉格朗日巧妙的构造出下面这个式子:\

还有取得极值的的三个条件,都是对以上五个小节中涉及到的条件的编码

关于第三个条件,稍加说明。

对于含有多个变量,比如本例子就含有2个变量x1, x2,就是一个多元优化问题,需要求二阶导,二阶导的矩阵就被称为海塞矩阵(Hessian Matrix)

与求解一元问题一样,仅凭一阶导数等于是无法判断极值的,需要求二阶导,并且二阶导大于0才是极小值,小于0是极大值,等于0依然无法判断是否在此点去的极值。

备注:公众号菜单包含了整理了一本 AI小抄非常适合在通勤路上用学习

往期精彩回顾




2019年公众号文章精选适合初学者入门人工智能的路线及资料下载机器学习在线手册深度学习在线手册AI基础下载(第一部分)备注:加入本站微信群或者qq群,请回复“加群”加入知识星球(4500+用户,ID:92416895),请回复“知识星球”

喜欢文章,点个 在看