员外带你读论文:SeqGAN论文分享

264 阅读11分钟

本次要分享和总结的论文为:,其论文链接SeqGAN,源自 ,参考的实现代码链接代码实现。

本篇论文结合了  和  的知识,整篇论文读下来难度较大,在这里就浅薄的谈下自己的见解。

好了,老规矩,带着代码分析论文。

动机

  • 我们知道  网络在计算机视觉上得到了很好的应用,然而很可惜的是,其在自然语言处理上并不 ,最初的   仅仅定义在实数领域,  通过训练出的生成器来产生合成数据,然后在合成数据上运行判别器,判别器的输出梯度将会告诉你,如何通过略微改变合成数据而使其更加现实。一般来说只有在数据连续的情况下,你才可以略微改变合成的数据,而如果数据是离散的,则不能简单的通过改变合成数据。例如,如果你输出了一张图片,其像素值是 ,那么接下来你可以将这个值改为 。如果输出了一个单词“penguin”,那么接下来就不能将其改变为“penguin + .001”,因为没有“penguin +.001”这个单词。因为所有的自然语言处理( )的基础都是离散值,如“单词”、“字母”或者“音节”,   中应用   是非常困难的。
  •  只能衡量一个完整的句子的好坏程度,对于部分生成的句子,很难预测其后面的部分,无法很好的对其打分。
  • 在传统的  模型中,我们通常用  来训练模型,但是这个训练方式也存在一个严重的问题,也就是论文中所说的  ,在模型训练阶段,我们用  作为  ,但是在真正的预测阶段时,我们只能从上一步产生的分布中以某种方式抽样某一个  作为下一步的 ,也就是这个阶段的  的分布可能是不一样的。

论文的大体思路

这里写图片描述

我们先看左图:现在有一批 ,生成器生成一批假数据,我们利用  的方式来  生成器,也就是让生成器不断拟合  的分布。这个过程经过几个回合;然后把训练好的生成器生成的数据作为 ,  作为  来  判别器。这样就  出了生成器和判别器。

再看右图:先了解下强化学习的四个重要概率:,  为现在已经生成的  ,  是下一个即将生成的  ,   为  的生成器,  为  的判别器所回传的信息。

带着代码仔细分析各个部分

在实现代码中,生成器是一个  神经网络,判别器是一个  网络,其  是由一个  生成的。

pretrain

由上面的分析可知,在  生成器时,只是利用  的方法来训练,不需要考虑 。

我们先看看代码中是如何  生成器的:

for epoch in xrange(PRE_EPOCH_NUM):
	## gen_data_loader存储真实数据。
    loss = pre_train_epoch(sess, generator, gen_data_loader)##该操作为利用MLE训练生成器
    if epoch % 5 == 0:
    ┆   generate_samples(sess, generator, BATCH_SIZE, generated_num, eval_file)## 利用生成器生成一批假数据
    ┆   likelihood_data_loader.create_batches(eval_file)##将假数据存进likelihood_data_loadertest_loss = target_loss(sess, target_lstm, likelihood_data_loader)##测试下当前生成的假数据与target_lstm生成的真实数据的loss
    ┆   print 'pre-train epoch ', epoch, 'test_loss ', test_loss
    ┆   buffer = 'epoch:\t'+ str(epoch) + '\tnll:\t' + str(test_loss) + '\n'
    ┆   log.write(buffer)

以上过程循环  个循环,不断的  生成器。

再来看看怎么  判别器的:

for _ in range(50):
    generate_samples(sess, generator, BATCH_SIZE, generated_num, negative_file)##上面的生成器生成一批负样本
    dis_data_loader.load_train_data(positive_file, negative_file)
    for _ in range(3):
    ┆   dis_data_loader.reset_pointer()
    ┆   for it in xrange(dis_data_loader.num_batch):
    ┆   ┆   x_batch, y_batch = dis_data_loader.next_batch()##获取一个batch数据,二分类
    ┆   ┆   feed = {
    ┆   ┆   ┆   discriminator.input_x: x_batch,
    ┆   ┆   ┆   discriminator.input_y: y_batch,
    ┆   ┆   ┆   discriminator.dropout_keep_prob: dis_dropout_keep_prob
    ┆   ┆   }
		    ## 判别器是一个二分类的CNN网络,利用cross-entropy作为损失函数。
    ┆   ┆   _ = sess.run(discriminator.train_op, feed)##训练判别器

生成器的目标函数

由强化学习的相关知识,我们可知其目标就是,也就是生成器生成了一句完整的句子后,我们希望尽可能的使其所有  的  之和尽可能的大,也就是如何公式:

如何理解上式呢?其中  可理解为一个完整句子的  之和,  表示初始状态,  表示生成器的参数。后面的求和过程表示,每生成一个 ,我们都会计算其生成该  的概率与其对应的  值,那么两者相乘即表示生成该  的期望  值。求和后即为该整句的期望  值。生成器的目标就是不断的 。至于  为啥表示成 ,因为  是由后面判别器  决定的。

reward 求法

由上面的  ,如何求每一步的  呢?也就是求 。论文中提到  只能对一个完整的句子进行打分,而不能对生成的不完整句子打分,因此引入强化学习的方式:

蒙特卡洛树搜索方法:

在  的阶段时,我们希望生成器生成的  在当前生成概率分布中对应的概率与该  的  乘积和越大越好(上面的 意义),那么该  的  如何计算得到呢?要知道只有是一个完整的句子,其判别器才能对其进行打分。例如我们在生成第  步的 时,后面的  是未知的,我们只能让生成器继续向后面生成 ,直到生成一个完整的句子。然后在喂给判别器打分,为了让这个打分更有说服力,我们让这个过程重复  次,然后取平均的 ,可以用如下图示展示这个过程:

这里写图片描述

简单来说,就是生成器每生成一个  都会有相应的一个 ,而这个  后面的  都是未知的,只能按照生成器来补全,形成一个完整的句子,这个过程进行  次,会生成  个不同的完整句子(因为生成器的随机性,不可能出现相同的句子)。然后将这 个句子放到判别器中得到  个不同的打分结果,对这  个打分结果取平均作为该  最终的 ,论文中讲到当生成第  个  时:

上式左边表示  出来的   个不同的完整句子。

综上所述:

那么代码中是如何实现这一步的呢?

def get_reward(self, sess, input_x, rollout_num, discriminator):
"""
input_x: 需要打分的序列
rollout_num: 即sample的次数,即上面的N
discriminator: 判别器
"""
    rewards = []
    for i in range(rollout_num):
    ┆   # given_num between 1 to sequence_length - 1 for a part completed sentence
		会遍历一整句中的每个token,给其打分
    ┆   for given_num in range(1, self.sequence_length ):
    ┆   ┆   feed = {self.x: input_x, self.given_num: given_num}
		    ##生成一批样本,前give_num的token由input_x提供,give_num后的token由生成器补上。由此生成一批完整的句子。
    ┆   ┆   samples = sess.run(self.gen_x, feed)
    ┆   ┆   feed = {discriminator.input_x: samples, discriminator.dropout_keep_prob: 1.0}
    ┆   ┆   ypred_for_auc = sess.run(discriminator.ypred_for_auc, feed)##喂给判别器,给每个句子打分,作为reward
    ┆   ┆   ypred = np.array([item[1] for item in ypred_for_auc])
    ┆   ┆   if i == 0:
    ┆   ┆   ┆   rewards.append(ypred)
    ┆   ┆   else:
    ┆   ┆   ┆   rewards[given_num - 1] += ypred## 在rollout_num循环中,相同位置的reward相加。# the last token rewardfeed = {discriminator.input_x: input_x, discriminator.dropout_keep_prob: 1.0}##如果give_num已经是最后一个token了,则喂给判别器的样本就全是input_x。ypred_for_auc = sess.run(discriminator.ypred_for_auc, feed)
	    ##注意下:ypred_for_auc只是softmax_logits,二分类的,第一个数为该样本为假样本概率,第二个数为其为真样本概率ypred = np.array([item[1] for item in ypred_for_auc])##我们拿其真样本概率作为reward
    ┆   if i == 0:
    ┆   ┆   rewards.append(ypred)
    ┆   else:
    ┆   ┆   # completed sentence reward
    ┆   ┆   rewards[self.sequence_length - 1] += ypred


    rewards = np.transpose(np.array(rewards)) / (1.0 * rollout_num)  # batch_size x seq_length##取平均值。
    return rewards

通过上面的分析,我们可知,每个  的  都是由判别器得到的。那么这个打分的过程是怎么做的呢?我们来看看判别器的实现代码:

不行,代码太多了,简单解说:生成器就是一个  网络,我们会将  (二分类的)   成一个四维的张量,然后通过各种的卷积,  操作得到一个结果,然后再经过一个线性操作最终得到只有二维的张量,再做一个  操作得到  作为  值等等,直接看下面精华代码:

with tf.name_scope("output"):##num_classes为2,真样本还是假样本
    W = tf.Variable(tf.truncated_normal([num_filters_total, num_classes], stddev=0.1), name="W")
    b = tf.Variable(tf.constant(0.1, shape=[num_classes]), name="b")
    l2_loss += tf.nn.l2_loss(W)
    l2_loss += tf.nn.l2_loss(b)
    self.scores = tf.nn.xw_plus_b(self.h_drop, W, b, name="scores")
    self.ypred_for_auc = tf.nn.softmax(self.scores)##reward
    self.predictions = tf.argmax(self.scores, 1, name="predictions")


# CalculateMean cross-entropy loss
with tf.name_scope("loss"):
    losses = tf.nn.softmax_cross_entropy_with_logits(logits=self.scores, labels=self.input_y)
    self.loss = tf.reduce_mean(losses) + l2_reg_lambda * l2_loss

***其实就是将该整句被判别器判别为真样本的概率作为该   的  ***,嗯,就是这么简单。判别为真样本的概率越大,则在当前步选择该  越正向。

值得一提的是:这里  的方式并不唯一,论文中的对比实验就用了  指标作为  来指导生成器的训练。

好了,怎么求  已经搞清楚了。

接下来再看看判别器是如何训练的?以及他的目标函数。

判别器的目标函数

简短解说:判别器是一个  网络,我们喂给判别器的样本是一个二分类的样本,即有生成器生成的一批假样本,也有一批真样本,然后直接做个二分类,损失函数就是一个  :

实现代码上面已写到。

policy Gradient

这一步有大量的数学公式需要推导。

我们由上面的分析,知道生成器的目标函数为:

我们再来看看上式是如何得到的:

可以这么理解:上式在  为生成器时,状态为已经生成  到  的  情况下,当前第  步选择  的  值。那么:

这样,一个完整句子的期望  就可以表示成

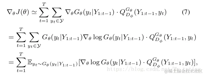
那么如何  呢?利用  方法,需要对  求导。

具体求导过程就不赘述了,如有兴趣请看论文。

最后求出的结果为:

这里写图片描述

这里写图片描述

利用梯度上升法来更新生成器参数:

那么目标函数的优化过程在代码中如何实现呢?

self.g_loss = -tf.reduce_sum(
	## self.x 为生成器生成一个序列,我们需要找到这个序列中每个token在生成器分布中的概率,然后与对应的reward相乘。求和取负作为要优化的loss
    tf.reduce_sum(
    ┆   tf.one_hot(tf.to_int32(tf.reshape(self.x, [-1])), self.num_emb, 1.0, 0.0) * tf.log(
    ┆   ┆   tf.clip_by_value(tf.reshape(self.g_predictions, [-1, self.num_emb]), 1e-20, 1.0)
    ┆   ), 1) * tf.reshape(self.rewards, [-1])
)   


g_opt = self.g_optimizer(self.learning_rate)


self.g_grad, _ = tf.clip_by_global_norm(tf.gradients(self.g_loss, self.g_params), self.grad_clip)


##更新生成器参数
self.g_updates = g_opt.apply_gradients(zip(self.g_grad, self.g_params))

在  可以自动的反向求导,所以许多细节不需要在代码中显示。

整体算法流程

这里写图片描述

利用  方法  生成器、判别器,这部分上面已经讲过。下面稍微详细讲下 。

G_step

  1. 利用生成器生成一批假样本。注意生成器每一步都是生成一个在  上的分布,我们以某种方式抽样一个  作为本步生成的 。
  2. 在  作为目标函数时,我们需得到  中当前步的  在当前生成分布中的概率,在SeqGAN 中考虑的是当前步得到的   在生成分布中的概率以及该  的  ,我们利用蒙特卡洛树搜索法得到每个   的  。
  3. 利用  更新生成器的参数。

实现代码:

for total_batch in range(TOTAL_BATCH):
    # Train the generator for one step
    for it in range(1):
    ┆   samples = generator.generate(sess)##生成器生成一批序列
	    ## 获得序列中每个token 的rewardrewards = rollout.get_reward(sess, samples, 16, discriminator)
		## 将序列与其对应的reward 喂给生成器,以policy gradient更新生成器feed = {generator.x: samples, generator.rewards: rewards}
    ┆   _ = sess.run(generator.g_updates, feed_dict=feed)

以上就是训练生成器的过程, 在这个阶段,判别器不发生改变只是对当前的生成情况做出反馈,也就是  。

D_step

利用上面已经训完的生成器生成一批样本作为假样本,加上已有的一批真样本,作为训练数据,来训练一个二分类的判别器。

实现代码:

for _ in range(5):
    generate_samples(sess, generator, BATCH_SIZE, generated_num, negative_file)
    dis_data_loader.load_train_data(positive_file, negative_file)


    for _ in range(3):
    ┆   dis_data_loader.reset_pointer()
    ┆   for it in xrange(dis_data_loader.num_batch):
    ┆   ┆   x_batch, y_batch = dis_data_loader.next_batch()
    ┆   ┆   feed = { 
    ┆   ┆   ┆   discriminator.input_x: x_batch,
    ┆   ┆   ┆   discriminator.input_y: y_batch,
    ┆   ┆   ┆   discriminator.dropout_keep_prob: dis_dropout_keep_prob
    ┆   ┆   }   
    ┆   ┆   _ = sess.run(discriminator.train_op, feed)

个人总结与疑点

  • 如果用传统的  网络来做  的任务,那么生成器生成的序列需要喂给判别器,然后利用判别器来反向的纠正生成器,这个时候梯度的微调不再适用在离散的数据上,并且梯度在回传时可能会有一些困难。如下图:

这里写图片描述

生成器是以某种方式采样生成一批数据传给判别器的,这样判别器反向将梯度回传给生成器时貌似不太好办?

而在  中,生成器每生成一个  时,都会计算该  在生成分别中的概率,并且利用上一次训完的判别器计算出相应的 ,这个  可以理解为生成该  的权重?经过几轮的训练后,  越大的  越正向,越容易生成(这其实是强化学习的思想)。这里面就不需要判别器反向传梯度给生成器了。这就避免了梯度的微调导致不适用在离散的样本上?

不知道上面我个人的理解是否正确?如有想法欢迎留言讨论。

  • 开头就说了传统的  方法存在  问题,在本篇论文中,生成器只是在  时用了  来做  ,而在真正训练生成器的时候,生成器并没有用到 ,只是在判别器 中用到了  来训练生成器 ,训练好的生成器能得到更好、更准确的 。那么无论在 ,还是在  阶段,其生成器的输入时一致的,不存在在  时用  作为  ,而在预测的时候用 。

备注:公众号菜单包含了整理了一本 AI小抄非常适合在通勤路上用学习

往期精彩回顾

那些年做的学术公益-你不是一个人在战斗适合初学者入门人工智能的路线及资料下载机器学习在线手册深度学习在线手册备注:加入本站微信群或者qq群,请回复“加群”加入知识星球(4500+用户,ID:92416895),请回复“知识星球”

喜欢文章,点个 在看