Structure augmented monocular saliency for planetary rovers

228 阅读6分钟

一、调研文章介绍

文章名:Structure augmented monocular saliency for planetary rovers

发表日期:收到2015年11月21日收到的修订版2016年11月9日接受2016年11月14日可在线查阅2016年11月21日

期刊:Robotics and Autonomous Systems

作者:Conrad Spiteri , Affan Shaukat, Yang Gao

单位:S.T.A.R. Lab. Surrey Space Centre, University of Surrey, Guildford, Surrey, GU2 7XH, UK

二、背景简介

文章提出了一种新的基于视觉显著性模型的目标检测方法SAMS,用来从单目行星图像中可靠地检测出诸如岩石之类的物体。算法利用行星环境中相对均匀和明显反照率的优势来使用光度法提取一个数字地形模型的场景。然后将该模型与自底向上的视觉显著性算法相结合,以增强从地面突出的物体。SAMS建立在与Wang等人类似的概念之上。使用光度法在特征映射中添加一个形状维数,这些特征映射是由显着性算法(如Iti等人)使用的。其中深度映射被计算为特征映射的一个单独的过程,然后组合在一个最终的显着性映射中。然而,与Wang等人不同。 建模深度显着性映射的生成不需要各种步骤和转换来实现合适的形状特征映射。此外,SAMS算法将所有单个特征映射(结构、颜色、强度和方向)结合在一起。与Wang等人不同,从二维信息计算显着性地图的算法,然后将该地图与三维深度地图相结合。 这提供了根据应用程序为每个特征映射分配不同权重的灵活性

三、方法

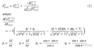
采用了一种视界(Sky)检测方法作为预处理,对天空线以下的所有图像进行裁剪。天空探测从建立边缘地图开始。利用边界跟踪方法提取候选轮廓。不封装任何四个角的轮廓被拒绝。在其余的候选中,基于标准差的最亮均匀斑块被假定包含天空区域。 光影测量或阴影形状(SfS)是一组估计地形的技术。它采用图像和参数文件来计算场景结构,以与原始图像大小相同的密集矩阵的形式返回数字地形模型(DTM。 参数文件包含有关光方向、允许的最大迭代次数和比例因子的信息。光的方向是由太阳传感器上的探测器推导出来的。采用雅可比迭代法,将复杂计算简化为方程。利用先前的估计数求解方程的一部分,并假设第一次迭代时先前估计的初始状态为零。τ和σ是照明光源的倾斜和倾斜角。由于该算法不执行精确的计算,只涉及突出显示从地面突出的对象,因此迭代值被设置为2的值,以最大限度地提高执行速度。

image.png

基于强度的权重与使用上述方法的多个像素集群相关联,概述视觉场景中感兴趣的区域(ROI这些具有非严格边界的显着性BLOB需要转换为二进制显着性映射,即具有硬边界的ROI BLOB使用强度阈值选择准则将它们从背景中分离出来。 由此产生的二进制斑点可以作为输入图像中重要的表面岩石的语义表示,这些岩石被用作地标特征(最终目标是漫游者定位、姿态估计和导航)。 因此,地面岩石完全是根据其局部或全局显著的弹出特征来描述的。将自动阈值选择准则应用于显着性映射,以便将其转换为二进制映射。我们使用Otsu的方法(基于直方图形状的阈值化)将我们的显着性映射减少到二进制图像,假设显着性映射具有双峰分布(即两类像素;显著对象(即岩石)和背景)。 这种方法基本上遵循详尽的搜索路径

image.png

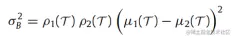
其中ρ1(T)和ρ2(T)分别是这两类(C1和C2)的概率,以及

image.png

而T∈{1,2,256}表示灰度直方图值全范围内的任何级别。 在大多数情况下,Otsu的方法迭代地计算最优

image.png

利用Itti等人提出的中心-周围差分方法计算颜色、强度和方向特征图。

image.png

SAMS算法对所有特征映射进行加权合并,但是,SAMS算法没有将二维显着性映射与深度映射相结合,而是按照下述等式将所有5个映射组合在一起。

image.png

四、结论与分析

考虑到ITI算法的总体成功,它被选择作为构建SAMS算法的基础方法,因为对ITI算法的任何改进都必将导致比其他算法更好的性能。

image.png

结果表明,SAMS算法在所有数据集上均优于标准ITI算法。 值得重申的是,这种性能是以纯粹无监督的方式实现的,没有任何自上而下的反馈或所使用的测试数据集的任何先验知识。

image.png

SAMS算法的输出更容易阈值化,因为显著特征是相当突出的,很少有假阳性被检测为显著特征,能够识别复杂场景中的单个对象(岩石),而不是检测对象的聚合。 SAMS算法还省略了场景中的小对象,当存在更大的对象时,这些小对象很难被认为是突出的。图中的蓝色边框显示ITI算法检测到的突出对象。 该算法检测到了许多不应该被归类为显著的特征。此外,如果这些小特征被认为是一个突出的对象,该算法无法检测到类似的对象点缀在图像周围。此外,实际突出物体(大岩石)已经被检测为一个整体特征,而不是3个不同的对象。 图中的红色包围框。 显示SAMS算法检测到的突出对象。该算法忽略了非常小的特征,这些特征在为行星探索提供信息方面没有任何重要价值。SAMS算法的输出与人类注释的对象密切相关,边界框的大小变化很小。

image.png

本文提出的算法(SAMS)大大降低了三维显着性算法在通过立体对图像构造DTM时所需的计算成本。因此取得的结果显示了良好的性能比以前的研究使用相同的数据集和注释。这种模式可能会为目标检测提供一个非常有效的基础,专门用于未来远程自主漫游者导航的应用。