标定实验(二)

491 阅读2分钟

相机的标定原理与方法

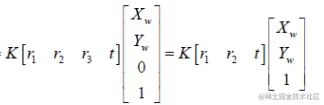
在图像测量过程以及机器视觉应用中,为确定空间物体表面某点的三维几何位置与其在图像中对应点之间的相互关系,必须建立相机成像的几何模型,这些几何模型参数就是相机参数。在大多数条件下这些参数必须通过实验与计算才能得到,这个求解参数的过程就称之为相机标定(或摄像机标定)本实验采用张正友标定法对相机进行标定。在张氏标定中用于标定的棋盘格是三维场景中的一个平面,成像平面的像是另一个平面。知道了这两个对应点的坐标,就可以求解得到两个平面的单应性矩阵H..其中,标定棋盘是特质的,交点坐标是已知的,通过角点的提取算法得到,这样就可以得到棋盘平面和图像平面的单应性矩阵H。通过上面的相机模型,令

image.png

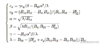
H是成像平面和标定棋盘格之间的单应性矩阵,通过对应点解的H后,可以通过上面的等式得到相机内参数K,以及外参旋转矩阵R和平移向量t。假设棋盘格所在的平面为世界坐标Z=0的平面,这样的棋盘格任意一点P的世界坐标为(X,Y,0)。所以第三行r3的数据可以被省略。                                                  image.png

由于每个单应性方程能提供两个方程,内参数矩阵包含5个方程,要求解至少需要3个单应性矩阵,使用至少三幅棋盘格对图片进行标定,改变相机与标定板之间的相对位置来得到三个不同的图片,通过图像得到关于内参数的两个等式,令  

image.png

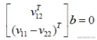
对称B是一个对称矩阵,未知量只有6个,将6个未知量写成向量的形式                                                 

image.png

令hi为单应性矩阵的第i个行向量,则有:                                             

image.png

故:

                                       image.png

结合上面两式重写矩阵可以推导出:       image.png

上面是取得约束的约束等式,假如n幅图像,则V是2n×6“的矩阵。Vb=0最后,使用SVD求解最小二乘,得到相机的各个内参数

                                                         image.png

以及外参数。

                                                                   image.png