图像对齐与图像拼接(三)

2,087 阅读4分钟

掌握图像的特征描述子的匹配度量(距离比)

根据SIFT进行Match:生成了A、B两幅图的描述子,就将两图中各个scale(全部一遍)的描述子进行匹配,匹配上128维即可表示两个特征点match上了。匹配策略可以使用特征向量的欧氏距离来作为两幅图像中关键点的相似性判定度量。取图像1中的某个关键点,并找出其与图2中欧氏距离最近的前两个关键点,在这两个关键点中,如果最近的距离除以次近的距离少于某个比例阈值,则接收这一对匹配点。降低这个比例阈值,SIFT匹配点数目会减少,但更加稳定。

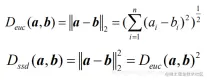
1.距离度量

欧式距离

image.png

汉明距离

image.png

2 匹配策略

最近邻搜索 最近邻距离比

完成图像的SIFT特征提取和鲁棒匹配

实验图片

image.png image.png

特征提取

image.png image.png

鲁棒匹配

image.png

完成基于单应矩阵的图像视点变换与拼接;讨论图像融合方法

图像拼接简单来说有以下几步:

1.对每幅图进行特征点提取

2.对对特征点进行匹配

3.进行图像配准

需要找到基于匹配点将2个图像拼接在一起的变换矩阵。

这种转换称为单应性矩阵。简而言之,如果Homography是3x3矩阵,可用于许多应用,例如相机姿态估计,透视校正和图像拼接。如果Homography是2D变换。它将点从一个平面(图像)映射到另一个平面。

SIFT算法,其实真正匹配的结果不会特别好,一旦视角上的变化比较大或者出现之前图像中没有出现的区域,就很容易产生误匹配。但是在实际应用中这些误匹配的点并没有对最终的匹配结果造成很大的影响,这是因为一般在进行匹配以后,都进行了去除误匹配点对的操作,RANSAC是一种适合线性模型的迭代算法。

RANSAC(Random Sample Consensus)算法是一种简单且有效的去除噪声影响,估计模型的一种方法。与普通的去噪算法不同,RANSAC算法是使用尽可能少的点来估计模型参数,然后尽可能的扩大得到的模型参数的影响范围。

随机选出四对匹配点(因为,最小需要4个点才能求解单应),对数据进行归一化(这种归一化操作要使点集的中心出处于原点,到原点的平均距离为 ),然后求解出由这些归一化的匹配点得出的 ,然后再反解出H。然后就是标准的RANSAC流程,大概如下:给定N个数据点组成的集合P,假设集合中大多数的点都是可以通过一个模型来产生的,且最少通过n个点(n<N)可以拟合出模型的参数,则可以通过以下的迭代方式拟合该参数。

对下面的操作执行k次:

(1)从P中随机选择n个数据点;

(2)用这n个数据点拟合出一个模型M;

(3)对P中剩余的数据点,计算每个点与模型M的距离,距离超过阈值的则认定为局外点,不超过阈值的认定为局内点,并记录该模型M所对应的局内点的值m;

迭代k 次以后,选择m 最大的模型M作为拟合的结果。

因为在实际应用中N的值通常会很大,那么从其中任选n个数据点的组合就会很大,如果对所有组合都进行上面的操作运算量就会很大,因此对k的选择就很重要。通常情况下,只要保证模型估计需要的n个点都是点的概率足够高即可。因此设w 为N 个数据中局内点的比例,z 为进行k 次选取后,至少有一次选取的n 个点都是局内点的概率。则有 z=1−(1−w n ) k

其中1−wn 表示一次选取不都是局内点的概率 (1−wn)k 表示k次选取中没有一次都是局内点的概率。

则有 k=log(1−z)log(1−wn) 得到最多的内点后,再重新用这些内点求解

4.把图像拷贝到另一幅图像的特定位置

5.对重叠边界进行特殊处理 融合后图像

image.png