特征检测(一)

1,120 阅读2分钟

基于高斯一阶微分的图像梯度(幅值图与方向图),分析高斯方差对图像梯度的影响

一幅图像中总存在着其独特的像素点,这些点我们可以认为就是这幅图像的特征,成为特征点。计算机视觉领域中的很重要的图像特征匹配就是一特征点为基础而进行的,所以,如何定义和找出一幅图像中的特征点就非常重要。这篇文章我总结了视觉领域最常用的几种特征点以及特征匹配的方法。

在计算机视觉领域,兴趣点(也称关键点或特征点)的概念已经得到了广泛的应用, 包括目标识别、 图像配准、 视觉跟踪、 三维重建等。 这个概念的原理是, 从图像中选取某些特征点并对图像进行局部分析,而非观察整幅图像。 只要图像中有足够多可检测的兴趣点,并且这些兴趣点各不相同且特征稳定, 能被精确地定位,上述方法就十分有效。

图像函数f(x,y)在点(x,y)的梯度是一个具有大小和方向的矢量,设为 Gx 和 Gy 分别表示 x 方向和 y 方向的梯度,这个梯度的矢量可以表示为:

image.png

这个矢量的幅度为

image.png

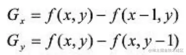
对于数字图像而言,相当于对二维离散函数求梯度,如下: G(x,y) = dx(i,j) + dy(i,j); dx(i,j) = I(i+1,j) - I(i,j); dy(i,j) = I(i,j+1) - I(i,j); 数字图像中,更多的使用差分来近似导数,最简单的梯度近似表达式如下:

image.png

梯度的方向是函数 f(x,y)变化最快的方向,当图像中存在边缘时,一定有较大的 梯度值,相反,当图像中有比较平滑的部分时,灰度值变化较小,则相应的梯度 也较小,图像处理中把梯度的模简称为梯度,由图像梯度构成的图像成为梯度图 经典的图像梯度算法是考虑图像的每个像素的某个邻域内的灰度变化,利用边缘 临近的一阶或二阶导数变化规律,对原始图像中像素某个邻域设置梯度算子,通 常我们用小区域模板进行卷积来计算,有 Sobel 算子、Robinson 算子、Laplace 算子等。 定性地分析,高斯滤波(平滑)对图像进行平滑,会让当前像素与周围像素更加 接近,像素间更加接近自然方差会变小。从频域角度,高斯滤波相当于低通滤波, 会移除图像中“突兀”的高频成分,剩下的自然是相对“不突兀”的部分,反映在方 差上就会变小。