天秀!花费 200W 设计的新版 “小米”图标,看看用Python怎么绘制?

567 阅读2分钟

最终呈现效果

哈哈,咋们在讲述之前,首先看看最终呈现的效果吧,整体来说还是很不错的。
在这里插入图片描述

小米 “新” 图标背后的数学

前段时间,小米公司发布了一条微博,引发了热议,原来小米换了新logo了。
在这里插入图片描述

很多人,都觉得雷总被骗了。说实话,我当时猛的一看,也是很蒙蔽,可能咋们不懂美学,不懂新logo背后蕴藏的文化底蕴吧!
在这里插入图片描述

但是,原设计者原研哉说到:最新设计的小米logo,融入了东方哲学的思考,从而提出了一个具有「超椭圆」数学之美的小米新 LOGO,同时还增加了黑色和科技银来作为小米品牌色彩的新搭档。
在这里插入图片描述

原研哉还说到:在验证的过程中,用到了一个数学公式。
在这里插入图片描述

从上面的公式可以看到,这里有一个n,因此可以知道:上述公式能够绘制出n种类型的超椭圆。而设计者最终推荐使用n=3这一形状。
在这里插入图片描述

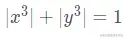
n=3时的超椭圆公式如下所示,其中x的取值范围为[-1, 1]。
在这里插入图片描述
转换以后,可以得到如下公式:
在这里插入图片描述

Python绘制新logo流程

① 绘图原理 在正式绘图之前,我们先来讲述一下Python绘制新logo的“绘图原理”。掌握了原理后,剩下的问题就交给代码吧。 ① 利用 “超椭圆” 公式,绘制一个带填充色的椭圆; ② 遍历 “旧logo” 上的像素值,保留白色 “米字” 处的像素值; ③ 将带“米字” 的像素值,写入第一步的超椭圆中;

② 重要知识点的普及

关于整个代码,有几个函数需要给大家提一下,为了大家更够很快学习。但是不会讲解的很详细,大家可以根据说明,自行下去查阅相关资料。

① plt.fill():用于给图形填充颜色;

② plt.axis():用于打开/取消坐标轴展示;

③ plt.subplots_adjust()和plt.margins():用于去掉图形外侧多余的留白;

④ image.getpixel():用于读取图片的像素值;

⑤ image.putpixel():用于在指定坐标位置处,写入像素值;

然后,遍历旧logo的像素值,保留 “米字” 那一块儿。将该像素值,写入上面的 “fill.png” 中。有一点需要注意的是:白色的rgb值是255, 255, 255。

近期有很多朋友通过私信咨询有关Python学习问题。为便于交流,点击蓝色自己加入讨论解答资源基地