一文让你完全入门EM算法

157 阅读10分钟

EM(Expectation Maximum,期望最大化)是一种迭代算法,用于对含有隐变量概率参数模型的极大似然估计或极大后验估计。模型参数的每一次迭代,含有隐变量概率参数模型的似然函数都会增加,当似然函数不再增加或增加的值小于设置的阈值时,迭代结束。

 

EM算法在机器学习和计算机视觉的数据聚类领域有广泛的应用,只要是涉及到后验概率的应用,我们都可以考虑用EM算法去解决问题。EM算法更像是一种数值分析方法,正确理解了EM算法,会增强你机器学习的自学能力,也能让你对机器学习算法有新的认识,本文详细总结了EM算法原理。

目录****

1. 只含有观测变量的模型估计\

2. 含有观测变量和未观测变量的模型参数估计

3. EM算法流程

4. 抛硬币问题举例

5. 高斯混合模型的参数估计

6. 聚类蕴含的EM算法思想

7. 小结

1. 只含有观测变量的模型估计

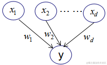
我们首先考虑比较简单的情况,即模型只含有观测变量不含有隐藏变量,如何估计模型的参数?我们用逻辑斯蒂回归模型(logistic regression model)来解释这一过程。\

假设数据集有d维的特征向量X和相应的目标向量Y,其中。下图表示逻辑斯蒂回归模型:\

由之前的文章介绍,逻辑斯蒂回归模型的目标预测概率是S型函数计算得到,定义为:

,则目标预测变量为1;反之,目标预测变量为0。其中w是待估计的模型参数向量。

机器学习模型的核心问题是如何通过观测变量来构建模型参数w,最大似然方法是使观测数据的概率最大化,下面介绍用最大似然方法(Maximum Likelihood Approach)求解模型参数w。

假设数据集,样本数据,模型参数

观测数据的对数似然函数可写为:

由对数性质可知,上式等价于:

式(1)代入式(2),得:

其中:

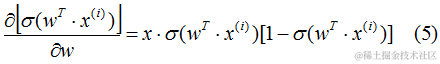
由于(3)式是各个样本的和且模型参数间并无耦合,因此用类似梯度上升的迭代优化算法去求解模型参数w。

因为:

由式(4)(5)(6)可得:

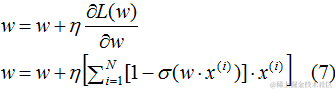
因此,模型参数w的更新方程为:

其中η是学习率。

根据梯度更新方程(7)迭代参数w,似然函数L(w)逐渐增加,当似然函数收敛时,模型参数w不再更新,这种参数估计方法称为最大似然估计。

2.含有观测变量和因变量的模型参数估计

上节介绍当模型只含有观测变量时,我们用极大似然估计方法计算模型参数w。但是当模型含有隐变量或潜在变量(latent)时,是否可以用极大似然估计方法去估计模型参数,下面我们讨论这一问题:

假设V是观测变量,Z是隐变量,是模型参数,我们考虑用极大似然估计方法去计算模型参数:\

由于隐变量在log内部求和,造成不同参数间相互耦合,因此用极大似然方法估计模型参数非常难。(8)式不能估计模型参数的主要原因是隐变量,若隐变量Z已知,完全数据的似然函数为,为了书写方便,观测变量V,Y统一用V表示,即

那么问题来了,如何通过已观测变量估计隐变量Z的值?这个时候我们想到了后验概率:

EM算法最大化完全数据在隐变量分布的对数似然函数期望,得到模型参数,即:

现在我们总结EM算法的流程:

1)初始化模型参数

2)E步估计隐变量的后验概率分布:

3)M步估计模型参数

4)当模型参数或对数似然函数收敛时,迭代结束;反之,返回第(2)步,继续迭代。

3.EM算法的更深层分析

上节我们介绍了EM算法的模型参数估计过程,相信大家会有个疑问:为什么最大化下式来构建模型参数。

下面我给大家解释这一算法的推导过程以及其中蕴含的含义:

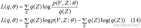
假设隐藏变量的理论分布为,观测数据的对数似然函数可以分解为下式:

由贝叶斯理论可知:

(9)式得:

分子分母除q(Z),得:

(10)式第二项表示相对熵,含义为隐变量后验概率分布与理论概率分布的差异,相对熵的一个性质是:

根据(10)式我们推断:

因此观测数据的对数似然函数的下界为,如果我们能够极大化这个下界,那么同时也极大化了可观测数据的对数似然函数。

当相对熵等于0时,即:

由上式得到隐藏变量的后验概率分布与理论分布相等,即:

进而(11)式等号成立,即:

取得上界,现在我们需要最大化的上界,即:

当相对熵等于0时,式(12)代入式(13)得到的上界为:

式(15)的第二项对应隐变量的熵,可看成是常数,因此最大化(15)式等价于最大化,其中:

最大化(16)式对应上节介绍EM算法的M步。

是不是对EM算法有了新的认识,本节重新整理算法EM的流程:

1)初始化模型参数为

2)当等式(12)成立时,取得上界,最大化等价于最大化下式:

3)最大化,返回参数

4)当收敛时,迭代结束;否则,算法返回到第(2)步继续迭代;

为了大家清晰理解这一算法流程,下面用图形表示EM算法的含义。

E步:模型参数是时,由(13)式可知,用黑色实心点标记;

M步:最大化,返回参数,用红色实心点标记;

,重复E步和M步,当收敛时,迭代结束。

4.抛硬币问题举例

我们有两种硬币A和B,选择硬币A和硬币B的概率分别为π和(1-π),硬币A和硬币B正面向上的概率分别为p和q,假设观测变量为,1,0表示正面和反面,i表示硬币抛掷次数;隐变量,1,0表示选择硬币A和硬币B进行抛掷。

问题:硬币共抛掷n次,观测变量已知的情况下求模型参数的更新表达式。

根据EM算法,完全数据的对数似然函数的期望:

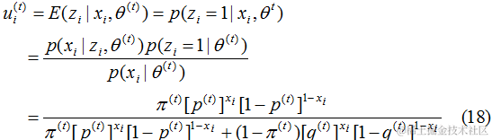
其中表示观测数据来自掷硬币A的概率,用表示:

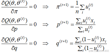
最大化,得到如下更新表达式:

现在我们知道了模型参数的更新方程,假设共抛掷硬币10次,观测结果如下:1,1,0,1,0,0,1,0,1,1。

初始化模型参数为:

由式(18)得:

利用模型参数更新得:

由式(18),得:

模型参数继续更新:

因此,收敛时,最终的模型参数为:

表示选择硬币A和硬币B的概率是一样的,如果模型参数的初始值不同,得到的最终模型参数也可能不同,模型参数的初始化和先验经验有关。

5.高斯混合模型的参数估计

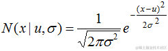
一维变量的高斯分布:

其中u和分别表示均值和标准差。

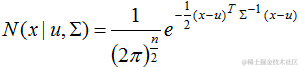
n维变量的高斯分布:

其中u是n维均值向量,是n×n的协方差矩阵。

n维变量的混合高斯分布:

该分布共由k个混合成分组成,每个混合成分对应一个高斯分布,其中是第k个高斯混合成分的均值和协方差。

是归一化混合系数,含义为选择第k个高斯混合成分的概率,满足以下条件:

下图为k=3的高斯混合成分的概率分布图(红色):

假设由高斯混合分布生成的观测数据,其对数似然函数:

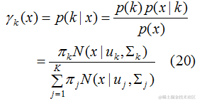
我们用EM算法估计模型参数,其中隐变量对应模型的高斯混合成分,即对于给定的数据x,计算该数据属于第k个高斯混合分布生成的后验概率,记为

根据贝叶斯定律:

最大化式(19),令

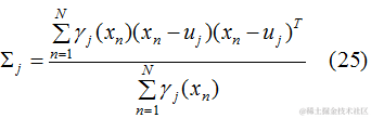
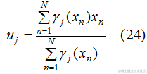
由式(20)(21)(22)(23)可得模型参数:

下面小结EM算法构建高斯混合模型的流程:

1)初始化高斯混合模型的均值,协方差和混合系数,计算完全数据的对数似然值(式(19));

2)E步:使用当前的参数值,通过下式计算均值:

表示观测数据x属于第k个高斯混合成分的后验概率;

3)M步:最大化对数似然函数,得到式(24)(25)(26)的模型更新参数;

4)根据更新的参数值,重新计算完全数据的对数似然函数:

若收敛,则得到最终的模型参数值;反之,回到算法第(2)步继续迭代。

6.聚类蕴含的EM算法思想

我们可以把聚类理解为:计算观测数据x属于不同簇类的后验概率,记为,其中j是簇类个数(j=1,2,...,K),观测数据x所属的簇标记由如下确定:

我们可以用EM算法计算每个样本由不同高斯混合成分生成的后验概率,步骤可参考上一节。

【例】 如下的观测数据,假设簇类个数K=2,初始化每个高斯混合参数得到,根据式(27)得到聚类结果:

根据上一节介绍的EM算法步骤,迭代1次后得到,根据式(27)得到聚类结果:

迭代5次后得到,根据式(27)得到聚类结果:

迭代20次后的,根据式(27)得到聚类结果:

k均值聚类是高斯混合聚类的特例,k均值假设各个维是相互独立的,其算法过程也可用EM思想去理解:

1)初始化簇类中心;\

2)E步:通过簇类中心计算每个样本所属簇类的后验概率

3)M步:最大化当前观测数据的对数似然函数,更新簇类中心

4)当观测数据的对数似然函数不再增加时,迭代结束;反之,返回(2)步继续迭代;

7.小结

EM算法在各领域应用极广,运用了后验概率,极大似然方法和迭代思想构建最优模型参数,后续文章会介绍EM算法在马尔科夫模型的应用,希望通过这篇文章能让读者对EM算法不再陌生。\

参考\

towardsdatascience.com

往期精彩回顾
那些年做的学术公益-你不是一个人在战斗适合初学者入门人工智能的路线及资料下载机器学习在线手册备注:加入本站微信群或者qq群,请回复“加群”加入知识星球(4400+用户,ID:92416895),请回复“知识星球”