员外带你读论文:From RankNet to LambdaRank to LambdaMART: An Overview

1,171 阅读13分钟

严格来说,这并不是一篇论文,只是一个  ,里面系统的介绍了三个比较著名的排序模型 ,链接 Rank[1]

本篇博文将分析总结下这三个排序模型。其参考的代码RankNet、LambdaRank[2],LambdaMart[3]。

需要说明的是,本篇博文在主要总结论文和实现代码同时,也小部分的参考了这篇文章Learning to Rank 算法介绍:RankNet,LambdaRank,LambdaMart[4]

RankNet

这是基于  方法的排序模型。

数据集由  分开。

24 [[-1.0, 0.85, 0.35], [1.0, 0.66, 1.0], [-1.0, 0.42, 0.18], [-1.0, 0.46, 0.1]]
25 [[-1.0, 0.51, 0.6], [-1.0, 0.35, 0.61], [1.0, 0.75, 1.0], [-1.0, 0.58, 0.23]]
26 [[-1.0, 0.55, 0.63], [-1.0, 0.62, 0.74], [-1.0, 0.01, 0.8], [1.0, 0.63, 0.35]]
27 [[1.0, 0.97, 0.27], [-1.0, 0.89, 0.42], [-1.0, 0.56, 0.06], [-1.0, 0.49, 1.0]]
20 [[-1.0, 0.37, 1.0], [-1.0, 0.0, 0.88], [-1.0, 0.0, 0.92], [1.0, 0.97, 0.65]]
21 [[1.0, 0.76, 1.0], [-1.0, 0.52, 0.11], [-1.0, 0.74, 0.6], [-1.0, 0.02, 0.54]]
22 [[1.0, 0.76, 1.0], [-1.0, 0.21, 1.0], [-1.0, 0.0, 0.52], [-1.0, 0.8, 0.31]]
23 [[-1.0, 0.96, 0.02], [-1.0, 0.91, 0.35], [-1.0, 0.59, 1.0], [1.0, 0.87, 0.99]]
28 [[-1.0, 0.35, 0.79], [-1.0, 0.26, 0.39], [-1.0, 0.18, 1.0], [1.0, 0.79, 0.03]]
29 [[-1.0, 0.64, 0.52], [-1.0, 0.56, 0.16], [1.0, 0.83, 1.0], [-1.0, 0.12, 0.55]]
0 [[1.0, 0.85, 0.62], [-1.0, 0.77, 0.13], [-1.0, 0.22, 0.88], [-1.0, 0.79, 0.27]]
4 [[1.0, 0.97, 0.29], [-1.0, 0.0, 0.09], [-1.0, 0.43, 0.72], [-1.0, 0.52, 0.52]]

上面字典数据集是实现代码中生成的, 为  ,  为一个列表,表示与该   可能相关的所有文档集,每个子列表的第一个数表示该文档与  是否相关,第二、第三个数表示该文档的特征。

对于一个给定的  而言,与其可能相关的文档集合中(假设大小为 ),不同  的两两文档形成一个文档对(   ),模型  可以对这两个文档进行打分分别得到  ,可以理解为相关性得分,那么  应该排在  前面的概率为:

注意:这里面的  是个常数,决定了  函数的形状。 上面公式中的  为两两文档打分的差,显然结果应该是一个矩阵。根据公式可知,  越大于  ,其的  越大,符合逻辑。那么在实做时如何实现这一步呢?

代码中定义了一个三层的神经网络作为排序模型,给输入的一个  下的每个文档进行打分。

def compute_graph(X):
    """Build compute graph

    define a function for computing ds_i/dw_k respectively,
    ┆   as the tf.gradient() computes sum_{k} dy_k/dx_i w.r.t x_i

    Args:
    ┆   X: the input feature vector tensor shaped [None, x_i]
    Returns:
    ┆   y: the output predict tensor shaped [None, y_i]
    """
    if config.USE_HIDDEN_LAYER == True:
    ┆   with tf.name_scope("hidden_layer"):
    ┆   ┆   layer_h1 = tf.add(tf.matmul(X, weights["hidden"]), biases["hidden"])
    ┆   ┆   layer_h1 = tf.nn.relu(layer_h1)
    ┆   with tf.name_scope("out_layer"):
    ┆   ┆   y = tf.add(tf.matmul(layer_h1, weights["out"]), biases["out"])
    else:
    ┆   with tf.name_scope("linear_layer"):
    ┆   ┆   y = tf.add(tf.matmul(X, weights["linear"]), biases["linear"])
    return y

这样我们就可以给文档打分了,并且计算两两文档之间的打分差:

y = compute_graph(X)
sigma_ij = y - tf.transpose(y)##广播操作

得到   大小的  矩阵。

 是指预测的分数分布,那么真实的得分分布呢?论文中是这样定义的:

其中 ,为   时,表示文档   比   与  更相关,反正为   ,相关性相等时则为   。

那么损失函数就可想而知了,论文中用  来衡量这两种分布的距离:

那么代码中如何实现这一步呢?

Sij_ = Y - tf.transpose(Y)## Y 为真实得分
Sij = tf.minimum(1.0, tf.maximum(-1.0, Sij_))##将其取值控制在0,1,-1
Pij_hat = 1.0 / 2.0 * (1 + Sij)
Cij = tf.nn.sigmoid_cross_entropy_with_logits(
    ┆   logits=sigma_ij, labels=Pij_hat)

这样就得到了损失函数了,直接利用  来  。

loss = tf.reduce_mean(Cij)
train_op = tf.train.GradientDescentOptimizer(
    ┆   ┆   config.LEARNING_RATE).minimize(loss)

 实现起来很简单?不对啊,论文中还有大量的梯度推导的公式啊,对,  把参数更新的过程都自动化的实现了,无需我们自己实现这些麻烦的过程。

LambdaRank

 以错误  最少为优化目标的算法,然而许多时候仅以错误  数来评价排序的好坏是不够的,像   或者  等评价指标就只关注  个结果的排序,当我们采用  算法时,往往无法以这些指标为优化目标进行迭代,所以  的优化目标和   评价指标之间存在不一致的地方。然而这些指标的缺点是不平滑、不连续,无法求梯度,如果将这些指标直接作为模型评分的函数的话,是无法直接用梯度下降法进行求解的。

由上面的分析,我们必须要重新定义  函数,并且  函数需要考虑指标的优化。这就要我们仔细的推导了。下面我们仔细推导下  参数更新的过程

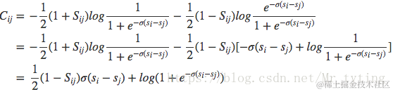
上面  的交叉商损失函数为:

这里写图片描述

可以计算得:

这里写图片描述

再用梯度下降法可以更新参数:

加速训练过程

由上面的推导,我们可以再进行简单的化简:

这里写图片描述

如此,论文中这样定义  :

这里写图片描述

在代码中如何实现这一步呢?

# pairwise lambda matrix
# lambda_ij = dCij/ds_i = 1/2 * (1 - Sij) * dsigma(s_i - s_j)/d(s_i - s_j) * 1
#    - (dsigma(s_i - s_j)/d(s_i - s_j) * 1) / (1 + e^(sigma_ij))
# here we assign sigma = Identity, thus dsigma/d(si - sj) = 1
# thus lambda_ij = 1.0 / 2.0 * (1 - Sij) - 1.0 / (1 + tf.exp(sigma_ij))
# but tf.exp may have numerical precision issue
# comforming to sigma_ij + sigma_ji = 0, lambda_ij + lambda_ji = 0
# use the reformulation exp(-x) = exp(log(1 + exp(-|x|)) - min(0, x)) - 1
lambda_ij = 1.0 / 2.0 * (1 - Sij) - 1.0 / \
    tf.exp(tf.log(1 + tf.exp(-tf.abs(-sigma_ij))) - tf.minimum(0.0, -sigma_ij))

论文中进一步提到,在  中不需要对每个文档进行 ,只需要知道两两文档之间的相对关系即可。

由上面的  的计算可知:

这里写图片描述

在求得  后,我们就可以利用梯度下降法 批量的加速反向更新过程。

应该如何理解上面的   呢?论文中是这样说的,  是针对预测排序后的第  个文档而言,我们假设  和  ,有:

这里写图片描述

这一步不太好理解,举例来说:假设有三个文档 ,其中有 ,则集合  中就包含  共三个文档对,则按照上面损失函数对参数  求偏导的公式来说有:

这里写图片描述

合并相同的 ,可知 , , 。

论文中提到,这个  正负号指的就是文档  下一次的移动方向,其大小指的是移动距离。

这里写图片描述

如上图所示,每个线条表示文档,蓝色表示相关文档,灰色表示不相关文档,  以  的方式计算 ,左图的  为 ,右图通过把第一个相关文档下调 3 个位置,第二个文档上条 5 个位置,将  降为 11,但是像 ** 或者  等评价指标只关注  个结果的排序**,在优化过程中下调前面相关文档的位置不是我们想要得到的结果虽然较小的下调前面文档的位置和较大的提升后面文档位置,得到的  可能会变小,但是实际上指标值却下降了。右图左边黑色的箭头表示  下一轮的调序方向和强度,但我们真正需要的是右边红色箭头代表的方向和强度,即更关注靠前位置的相关文档的排序位置的提升。  正是基于这个思想演化而来,其中  指的就是红色箭头,代表下一次迭代优化的方向和强度,也就是梯度。

那么在代码中如何求得   呢?

# dC/dw_k = \sum{lambda_ij * (ds_i/dw_k - ds_j/dw_k)}
#    = \sum{lambda_i * ds_i/dw_k}
# lambda_i is the coefficiency of dC/dw_k
# which is factorized as lambda_i = \sum_{if Sij = 1}{lambda_ij} -
#    \sum_{if Sji = 1}{lambda_ji}
ij_positive_label_mat = tf.maximum(Sij, 0) #Mij = 1 if (i, j) \in P
ij_positive_mat = ij_positive_label_mat * lambda_ij## 论文中提到在Sij=1的情况下
ij_sum = tf.reduce_sum(ij_positive_mat, [1])
ji_sum = tf.reduce_sum(ij_positive_mat, [0])
lambda_i = ij_sum - ji_sum #lambda_i for \sum_{i}dCij/dsi - \sum_{i}dCji/dsj

这样就求出了  了。

因为  优化目标与评价指标不一致,所以在  的损失函数中,我们需要考虑评价指标的因素,例如 。

在论文中,其实就是在上面  基础上引入评价指标   ,把交换两个文档的位置引起的评价指标的变化作为其中一个因子,此时要优化的  变为:

这里写图片描述

那么这个  如何求呢?显然这应该是个矩阵。代码中是这样实现的:

relevance = tf.maximum(Y, 0) # negative label normalize to 0
##pdb.set_trace()
Y_r = tf.squeeze(Y)
Y_sort_r = tf.nn.top_k(Y_r, k=tf.shape(Y_r)[0]).values
Y_sort = tf.expand_dims(Y_sort_r, [1])
relevance_sort = tf.maximum(Y_sort, 0) # ideal result sequence
ranks_sort_r = tf.cast(tf.range(1, tf.shape(Y)[0] + 1, 1), dtype=tf.float32) # [1, 2, ..]
ranks_sort = tf.expand_dims(ranks_sort_r, [1]) # column vector

y_r = tf.squeeze(y) # row vector (1-D tensor)
# y_indices_sort[i] = j means doc j ranks i
y_indices_sort = tf.nn.top_k(y_r, k=tf.shape(y_r)[0]).indices
def gen_mask_tensor(x):
    """Generate mask tensor

    Args:
    ┆   x: location 1-D tensor
    Return:
    ┆   1-D tensor [0, 0, .. ,1, .., 0] with index x set to 1
    """
    return tf.gather(identity_mat, tf.squeeze(x))
idx_to_rank_mat = tf.map_fn(gen_mask_tensor, tf.expand_dims(y_indices_sort, [1]))
# ranks_compute[i] = j means the document ranks i is doc j
# i.e. reverse mapping of y_indices_sort
ranks_compute_r = tf.reduce_sum(ranks_sort * tf.cast(idx_to_rank_mat, dtype=tf.float32), axis=[0])
ranks_compute = tf.expand_dims(ranks_compute_r, [1])

# DCG(t) = \sum^(t)_{1}
def log2(x):
    """Compute log(x)/log(2)
    """
    return tf.log(x)/tf.log(tf.constant(2.0))
# current DCG
dcg_each = (2 ** relevance - 1) / log2(ranks_compute + 1)
dcg = tf.reduce_sum(dcg_each)
# ideal DCG
max_dcg_each =(2 ** relevance_sort - 1) / log2(ranks_sort + 1)
max_dcg = tf.reduce_sum(max_dcg_each)
# |\Delta NDCG| matrix by swapping each i, j rank position pair
# denoted li = relavance of i, ri = rank of i, lirj = 2^(li)/lg2(rj + 1)
# [l1r1 l1r1 l1r1
#  l2r2 l2r2 l2r2
#  l3r3 l3r3 l3r3]
dcg_each_col_tile = tf.tile(dcg_each, [1, tf.shape(y)[0]])
# [l1r1 l2r2 l3r3
#  l1r1 l2r2 l3r3
#  l1r1 l2r2 l3r3]
dcg_each_row_tile = tf.tile(tf.transpose(dcg_each), [tf.shape(y)[0], 1])
# [l1r1 l1r2 l1r3
#  l2r1 l2r2 l2r3
#  l3r1 l3r2 l3r3]
dcg_swap_col = (2 ** relevance - 1) / log2(tf.transpose(ranks_compute) + 1)
# [l1r1 l2r1 l3r1
#  l1r2 l2r2 l3r2
#  l1r3 l2r3 l3r3]
dcg_swap_row = tf.transpose(dcg_swap_col)
delta_dcg = 0 - dcg_each_col_tile - dcg_each_row_tile + dcg_swap_col + dcg_swap_row
delta_ndcg = delta_dcg / max_dcg

这十几步代码其实挺难理解的,我仔细的推了一遍,是正确的。其中最后得出的矩阵 ,其   即表示第  个文档和第  个文档互换位置后的  差值。,拆分开就是  (把第  个文档放在排序为  的位置的  值和原本第  个文档就在第  个位置的  的差值)和   (同理)

要特别说明的是,这里一定要注意  是如何做的,不是我们想当然的 ,这样理解是错误的,应该是:

由此可以得到需要新的  和新的 :

lambda_ij_objective = lambda_ij * tf.abs(delta_ndcg)## 这句代码揭示了RankNet的不同。

# lambda_i becomes
ij_positive_label_mat = tf.maximum(Sij, 0) # Mij = 1 if (i, j) \in P
ij_positive_mat_objective = ij_positive_label_mat * lambda_ij_objective
ij_sum_objective = tf.reduce_sum(ij_positive_mat_objective, [1])
ji_sum_objective = tf.reduce_sum(ij_positive_mat_objective, [0])
lambda_i_objective = ij_sum_objective - ji_sum_objective

在求得新的   后,我们利用梯度上升法来更新参数:

这里写图片描述

因此相比 ,   只是在  的基础上引入了评价指标的因素。

损失函数的梯度代表了文档下一次迭代优化的方向和强度,由于引入了  评价指标,  梯度更关注位置靠前的优质文档的排序位置的提升。有效的避免了下调位置靠前优质文档的位置这种情况的发生。  相比   的优势在于分解因式后训练速度变快,同时考虑了评价指标,直接对问题求解,效果更明显。

LambdaMart

在之前的博文已经详细总结过  的推导,其实一句话就可以总结:每次生成的树都是在拟合之前所有已经生成的树的残差,也就是在梯度下降的方向来生成这课树。

那么在上面的  方法中我们已经得到了梯度的计算方式,是否可以用集成学习的方式来学习呢?

在论文中提到   的计算方式

注意这里面的  可能是  或者其他任何一个评价指标,当互换  的位置引起的变化,具体计算上面已经详细讲到。

论文中以   为梯度重新定义了损失函数:

后面就是求损失函数的二阶梯度,再利用牛顿法去优化损失函数,得到当前生成的树。

我感觉上面这种讲法有点不太好理解,下面我直接以  的套路讲下个人想法:

我们已经知道残差的计算方式为  ,那么直接去拟合每一步的残差去生成树不就可以了吗,都不需要知道损失函数。在实作时也是这样做的。

model_output = np.zeros(len(features))##初始化
for i in range(n_trees):##预先设定的树的个数
    print " Iteration: " + str(i + 1)

    # Compute psedo responces (lambdas)
    # witch act as training label for document
    start = time.clock()
    print "  --generating labels"

    ##计算之前所有生成的树的预测结果所得lambda值。其就是计算残差,都不需要定义损失函数,因为残差已经定义好了。
    ##在获取每一步模型打分后,根据真实相关,计算NDCG变化值。
    lambdas = compute_lambdas(model_output, scores, queries, k)

    print zip(lambdas, scores)
    #lambdas = mart_responces(model_output, scores)
    print "  --done", str(time.clock() - start) + " sec"

    # create tree and append it to the model
    print "  --fitting tree"
    start = time.clock()
    tree = DecisionTreeRegressor(max_depth=6)##新建一棵树
    # print "Distinct lambdas", set(lambdas)
    tree.fit(features, lambdas)##拟合残差

    print "  ---done", str(time.clock() - start) + " sec"
    print "  --adding tree to ensemble"
    ensemble.add(tree)

    # update model score
    print "  --generating step prediction"
    prediction = tree.predict(features)##当前生成的这课树的预测结果。
    # print "Distinct answers", set(prediction)

    print "  --updating full model output"
    ##这句是重点:将当前这颗树的预测结果累加到之前的预测结果去,作为新预测结果。
    model_output += learning_rate * prediction
    # print set(model_output)

    # train_score
    start = time.clock()
    print "  --scoring on train"
    ##获取当前集成树的NDCG值。
    train_score = score(model_output, scores, queries, 10)

 计算过程:

def query_lambdas(page, k=10):
    true_page, model_page = page##真实打分,模型预测打分
    worst_order = np.argsort(true_page)

    true_page = true_page[worst_order]
    model_page = model_page[worst_order]


    model_order = np.argsort(model_page)

    idcg = dcg(np.sort(true_page)[-10:][::-1])

    size = len(true_page)
    position_score = np.zeros((size, size))

    for i in xrange(size):
    ┆   for j in xrange(size):
    ┆   ┆   position_score[model_order[i], model_order[j]] = \
    ┆   ┆   ┆   point_dcg((model_order[j], true_page[model_order[i]]))

    lambdas = np.zeros(size)

    for i in xrange(size):
    ┆   for j in xrange(size):
    ┆   ┆   ┆   if true_page[i] > true_page[j]:

    ┆   ┆   ┆   ┆   delta_dcg  = position_score[i][j] - position_score[i][i]
    ┆   ┆   ┆   ┆   delta_dcg += position_score[j][i] - position_score[j][j]

    ┆   ┆   ┆   ┆   delta_ndcg = abs(delta_dcg / idcg)

    ┆   ┆   ┆   ┆   rho = 1 / (1 + math.exp(model_page[i] - model_page[j]))

    ┆   ┆   ┆   ┆   lam = rho * delta_ndcg

    ┆   ┆   ┆   ┆   lambdas[j] -= lam
    ┆   ┆   ┆   ┆   lambdas[i] += lam
    return lambdas

总结

 在推导的时候只用了  比  的相关性高还是低 ,没用上包含位置信息的评估指标(如 ),就推出了梯度 ,在  的  的基础上加入评价指标因素。所以  的 ,就强硬的在  的 上乘上了评估指标的变化(因为评估指标不连续导致目标函数难以推导)。注意  到  的目标函数,从代价函数变成了效用函数,所以从使用负梯度变成了正梯度。感觉加上评价指标的因素这一做法有点像强化学习的反馈机制。

参考资料

[1]

Rank: citeseerx.ist.psu.edu/viewdoc/dow…

[2]

RankNet、LambdaRank: github.com/Njust-taoye…

[3]

LambdaMart: github.com/Njust-taoye…

[4]

Learning to Rank算法介绍:RankNet,LambdaRank,LambdaMart: www.cnblogs.com/bentuwuying…

关于本站\

“机器学习初学者”公众号由是黄海广博士创建,黄博个人知乎粉丝23000+,github排名全球前100名(33000+)。本公众号致力于人工智能方向的科普性文章,为初学者提供学习路线和基础资料。原创作品有:吴恩达机器学习个人笔记、吴恩达深度学习笔记等。

往期精彩回顾

备注:加入本站微信群或者qq群,请回复“加群

加入知识星球(4300+用户,ID:92416895),请回复“知识星球