方程组的几何解释 [MIT线代第一课pdf下载]

150 阅读7分钟

攻读鉴于之前MIT的线代笔记没有跟新完和很多童鞋希望pdf版本下载学习,这里我把相关资源放到github上并重新更新完,希望对大家学习有所帮助。

pdf下载地址与Github地址:

github.com/yizhen20133…

如有帮助,欢迎大家给个Star!!

该笔记总结了我们在学习MIT线性代数课程的学习经验和过程。

课程顺序是按照麻省理工公开课的 Linear Algebra. 记录的学习笔记。

本笔记作者介绍:
丁坤博 东北大学本科生,推免至北京大学攻读硕士
覃立波 哈尔滨工业大学SCIR实验室在读博士生,导师车万翔老师

一、知识概要

本节开始,我们一起来学习线性代数的有关知识,首节我们从解方程谈起,学 习线性代数的应用之一就是求解复杂方程问题,本节核心之一即为从行图像与列 图像的角度解方程。

二.方程组的几何解释基础

2.1 二维的行图像

我们首先通过一个例子来从行图像角度求解方程:

系数矩阵(A):将方程系数按行提取出来,构成一个矩阵

未知向量(x):将方程未知数提取出来,按列构成一个向量。

向量(b) :将等号右侧结果按列提取,构成一个向量

接下来我们通过行图像来求解这个方程:

所谓行图像,就是在系数矩阵上,一次取一行构成方程,在坐标系上作图。

和我们在初等数学中学习的作图求解方程的过程无异。

2.2 二维的列图像

接下来我们使用列图像求解此方程:

即寻找合适的 x,y 使得 x 倍的(2,-1) + y 倍的(-1,2)得到最终的向量(0,3)。在很 明显能看出来,1 倍(2,-1) + 2 倍(-1,2)即满足条件。反映在图像上,明显结果正确。

三.方程组的几何解释推广

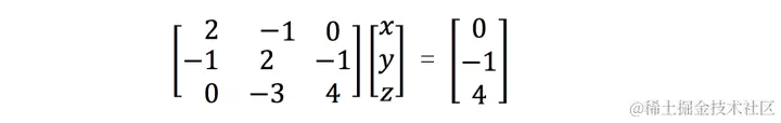
3.1 高维行图像

如果绘制行图像,很明显这是一个三个平面相交得到一点,我们想直接看出 这个点的性质可谓是难上加难,比较靠谱的思路是先联立其中两个平面,使其相 交于一条直线,在研究这条直线与平面相交于哪个点,最后得到点坐标即为方程 的解。

这个求解过程对于三维来说或许还算合理,那四维呢?五维甚至更高维数 呢?直观上很难直接绘制更高维数的图像,这种行图像受到的限制也越来越多。

3.2 高维列图像

左侧是线性组合,右侧是合适的线性组合组成的结果,这样一来思路就清晰多 了,“寻找线性组合”成为了解题关键。

很明显这道题是一个特例,我们只需要取 x = 0,y = 0,z = 1。就得到了结 果,这在行图像之中并不明显。

当然,之所以我们更推荐使用列图像求解方程, 是因为这是一种更系统的求解方法,即寻找线性组合,而不用绘制每个行方程的 图像之后寻找那个很难看出来的点。

另外一个优势在于,如果我们改变最后的结果 b,例如本题中,

那么我们 2 −1 1 0 −3 4 −3 就重新寻找一个线性组合就够了,但是如果我们使用的是行图像呢?那意味着我 们要完全重画三个平面图像,就简便性来讲,两种方法高下立判。

另外,还要注意的一点是对任意的 b 是不是都能求解 Ax = b 这个矩阵方程呢?也就是对 3*3 的系数矩阵 A,其列的线性组合是不是都可以覆盖整个三维空间呢?对于我们举的这个例子来说,一定可以,还有我们上面 2*2 的那个例子,也可以 覆盖整个平面,但是有一些矩阵就是不行的,比如三个列向量本身就构成了一个 平面,那么这样的三个向量组合成的向量只能活动在这个平面上,肯定无法覆盖 2 −1 1 一个三维空间,

这三个向量就构

3.3 矩阵乘法

四、学习感悟

这部分内容是对线性代数概念的初涉,从解方程谈起,引进列空间的概念,可 以发现从列空间角度将求解方程变化为求列向量的线性组合,这个方式更加科学。介绍了矩阵乘法,这部分内容重在理解。

希望对大家有帮助~

下载如下资料可以访问项目地址:

github.com/yizhen20133…

关于本站

“机器学习初学者”公众号由是黄海广博士创建,黄博个人知乎粉丝22000+,github排名全球前110名(32000+)。本公众号致力于人工智能方向的科普性文章,为初学者提供学习路线和基础资料。原创作品有:吴恩达机器学习个人笔记、吴恩达深度学习笔记等。

往期精彩回顾

备注:加入本站微信群或者qq群,请回复“加群

加入知识星球(4300+用户,ID:92416895),请回复“知识星球