题目:
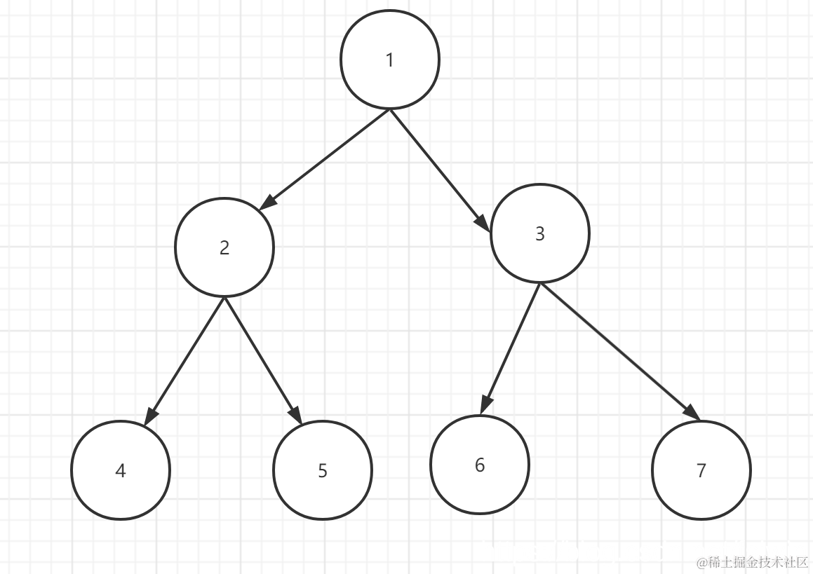
二叉树,深度优先遍历:结果1 2 4 5 3 6 7
思路:
使用栈数据结构实现
1 先节点 1 进栈,节点1在栈顶
2 节点1出栈,访问节点1,节点1的孩子节点3进栈,节点2进栈
3 节点2在栈顶,然后节点2出栈,访问节点2
4 节点2的孩子节点5进栈,节点4进栈
5 节点4在栈顶,节点4出栈,访问节点4
6 节点4左右孩子为空,然后节点5在栈顶,节点5出栈,访问节点5
7 节点5左右孩子为空,然后节点3在站顶,节点3出栈,访问节点3
8 节点3的孩子节点7进栈,节点6进
9 节点6在栈顶,节点6出栈,访问节点6
10 节点6的孩子为空,这个时候节点7在栈顶,节点7出栈,访问节点
11 节点7的左右孩子为空,此时栈为空,遍历结束

1.代码如下:
1.1TreeNode .java
package com.yuhl.right.tree1;
public class TreeNode {
int data;
TreeNode leftNode;
TreeNode rightNode;
public TreeNode() {
}
public TreeNode(int d) {
data=d;
}
public TreeNode(TreeNode left,int d,TreeNode right) {
leftNode=left;
rightNode=right;
data=d;
}
}
1.2TreeNodeTest2.java
package com.yuhl.right.tree1;
import java.util.LinkedList;
import java.util.Queue;
import java.util.Stack;
public class TreeNodeTest2 {
public static void main(String[] args) {
TreeNode node7=new TreeNode(7);
TreeNode node6=new TreeNode(6);
TreeNode node5=new TreeNode(5);
TreeNode node4=new TreeNode(4);
TreeNode node3=new TreeNode(node6,3,node7);
TreeNode node2=new TreeNode(node4,2,node5);
TreeNode head=new TreeNode(node2,1,node3);
System.out.print("深度优先遍历结果:");
depthFirstSearch(head);
}
public static void depthFirstSearch(TreeNode nodeHead) {
if(nodeHead==null) {
return;
}
Stack<TreeNode> myStack=new Stack<>();
myStack.add(nodeHead);
while(!myStack.isEmpty()) {
TreeNode node=myStack.pop();
System.out.print(node.data+" ");
if(node.rightNode!=null) {
myStack.push(node.rightNode);
}
if(node.leftNode!=null) {
myStack.push(node.leftNode);
}
}
}
}
2.执行结果:
深度优先遍历结果:1 2 4 5 3 6 7