两个链表的第一个公共节点|刷题打卡

266 阅读3分钟

掘金团队号上线,助你 Offer 临门! 点击 查看详情

一、题目描述

输入两个链表,找出它们的第一个公共节点。

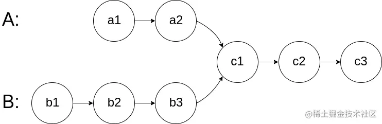
如下面的两个链表:

image.png

在节点 c1 开始相交。

示例 1:

输入

intersectVal = 8, listA = [4,1,8,4,5], listB = [5,0,1,8,4,5], skipA = 2, skipB = 3

输出

Reference of the node with value = 8

输入解释:相交节点的值为 8 (注意,如果两个列表相交则不能为 0)。从各自的表头开始算起,链表 A 为 [4,1,8,4,5],链表 B 为 [5,0,1,8,4,5]。在 A 中,相交节点前有 2 个节点;在 B 中,相交节点前有 3 个节点。

示例 2:

输入

intersectVal = 2, listA = [0,9,1,2,4], listB = [3,2,4], skipA = 3, skipB = 1

输出

Reference of the node with value = 2

输入解释:相交节点的值为 2 (注意,如果两个列表相交则不能为 0)。从各自的表头开始算起,链表 A 为 [0,9,1,2,4],链表 B 为 [3,2,4]。在 A 中,相交节点前有 3 个节点;在 B 中,相交节点前有 1 个节点。

示例 3:

输入

intersectVal = 0, listA = [2,6,4], listB = [1,5], skipA = 3, skipB = 2

输出:

null

输入解释:从各自的表头开始算起,链表 A 为 [2,6,4],链表 B 为 [1,5]。由于这两个链表不相交,所以 intersectVal 必须为 0,而 skipA 和 skipB 可以是任意值。 解释:这两个链表不相交,因此返回 null。

注意:

如果两个链表没有交点,返回 null。在返回结果后,两个链表仍须保持原有的结构。可假定整个链表结构中没有循环。

二、思路分析

我的思路

首先:如何判断相交呢? 最粗暴的: 2个链表都走到尾看他们一不一样。 如何获取第一个相交点:

  1. 求出2个链表长度,然后长的那个先走差额部分,然后一起走,判断是否相等,相等则为第一个相交点(O(3n)了)
  2. 借助栈,将2个链表都放入栈内,然后不断弹出,当不一样的时候,前一个被弹出的就是第一个相交点(空间复杂度高了)
  3. 递归怎么去做?

最佳思路

  • 使用双指针,浪漫相遇,这里面蕴含着数学的的思想:
    • 如果最初a=b的话,那么在a步内就会相遇,这是最好的情况。
    • 如果a!=b的话,那么A走a+b+L B的走法是b+a+L
    • 总之这种走法必会相遇的原因就是一个简单的数学公式:a+L+b=b+L+a => a+b+L=b+a+L
  • 举个例子
    • 2个马路长度为A:a+L+b 和 B:b+L+a ,a长b短就分别代表着a这段只能走路,b这段可以骑自行车,L这段则是只能坐公交。
    • 问:2个人一个在马路A一个在马路B,同时出发,2个人是否一定会同时到终点?
      • 即A和B走的路长度其实都是一样的,由A链和B链组合成的,但是走的顺序有差异,但是把这个链走完耗费的步数一定是一样的。

三、AC 代码

我写的实现太丑了,就不粘出来了,看看最佳写法:

public ListNode getIntersectionNodeBetter(ListNode headA, ListNode headB) {
    if (headA == null || headB == null) {
        return null;
    }
    ListNode n1 = headA;
    ListNode n2 = headB;
    while (n1 != n2) {
        // 走完自己的去走别人的道路,直到相遇
      	// 如果2个不想交,走完一圈下来,2个都会指向null【这里注意下:null == null 是可以比较的!返回为true...】
        n1 = n1 == null ? headB : n1.next;
        n2 = n2 == null ? headA : n2.next;
    }
    return n1;
}

四、总结

题解很多人把这解法讲的很浪漫😆 ,但是这种解法其实更多是套路了,不太好想。但是双指针同时走这个解法还是很经典的,应该可以能想出来。