C语言编程>第十三周 ⑥ 请编写函数fun,其功能是:计算并输出当x<0.97时下列多项式的值,直到|Fn-Fn-1|<0.000001为止。

268 阅读3分钟

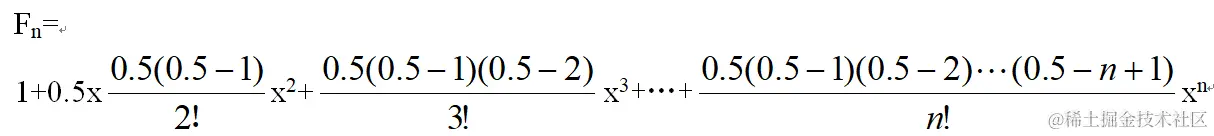
例题:请编写函数fun,其功能是:计算并输出当x<0.97时下列多项式的值,直到|Fn-Fn-1|<0.000001为止。
Fn=1+0.5x+ x2+ x3+…+ xn

例如,若主函数从键盘给x输入0.33后,则输出为f=1.153256
请勿改动主函数main与其它函数中的任何内容,仅在函数fun的花括号中填入所编写的若干语句。

代码如下:

#include<stdio.h>
#include<math.h>
double fun(double x)
{
	double f1=1.0,p=1.0,sum=0.0,f0,t=1.0;
	int n=1;
	do
	{
		f0=f1;
		sum+=f0;
		t*=n;
		p*=(0.5-n+1)*x;
		f1=p/t;
		n++;
	}while(fabs(f1-f0)>=1e-6);
	return sum;
}
main()
{
	int i;
	double x,f;
	FILE*out;
	printf("INput x: ");
	scanf("%lf",&x);
	f=fun(x);
	printf("f=%f\n",f);
	out=fopen("outfile.dat","w");
	for(i=20;i<30;i++)
	fprintf(out,"%f\n",fun(i/100.0));
	fclose(out);
}

输出运行窗口如下:
在这里插入图片描述
本周其他练习

C语言程序设计专栏

C语言编程>第十三周 ① 请编写函数fun,该函数的的功能是:删除一维数组中所有相同的数,使之只剩一个。数组中的数已按由小到大的顺序排列,函数返回删除后数组中数据的个数。

C语言编程>第十三周 ② 请编写函数fun,该函数的功能是:将放在字符串数组中的M个字符串(每串的长度不超过N),按顺序合并组成一个新的字符串。

C语言编程>第十三周 ③ 编写一个函数fun,它的功能是:实现两个字符的连接(不使用库函数strcat),即把str2所指的字符串连接到str1所指的字符串后。

C语言编程>第十三周 ④ 假定输入的字符串中只包含字母和 “#”号。请编写函数fun,它的功能是:除了字符串前导和尾部的 “#”号之外,将串中其他 “#”号全部删除。

C语言编程>第十三周 ⑤ 学生的记录由学生和成绩组成,M名学生的数据已在主函数中放入结构体数组stu中,请编写函数fun,它的功能是:把分数最高的学生数据放在high所指的数组中。

C语言编程>第十三周 ⑥ 请编写函数fun,其功能是:计算并输出当x<0.97时下列多项式的值,直到|Fn-Fn-1|<0.000001为止。

C语言编程>第十三周 ⑦ 请编写函数fun ,其功能是:将str所指字符串中ASCII值为偶数的字符删除。串中剩余字符形成一个新串放入s所指的数组中。

C语言编程>第十三周 ⑧ 已知学生的记录由学号和学习成绩组成,M名学生的数据已存入stu结构体数组中。请编写函数fun,该函数的功能是:

越努力越幸运!
加油,奥力给!!!