十一、了解OpenGL中的向量、矩阵

286 阅读5分钟

向量

了解向量之前,先了解什么是标量

  • 标量:只有大小,例如:1,12,13等
  • 向量是有方向的标量,即不仅有大小,还有方向

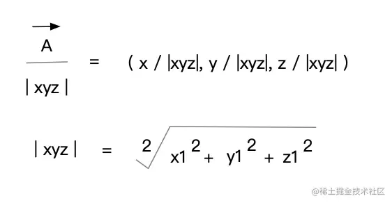
单位向量 单位向量是长度为1的向量,向量长度通过下列公式计算

image

如果一个向量不是单位向量,可以通过单位化将其转化为单位向量,即 非零向量除以向量的模,如下图所示

image

向量点乘

  • 点乘只能发生在两个向量之间,且点乘时,两向量必须是单位向量,如果不是,需要将向量进行单位化后,再点乘

  • 点乘得到的是两个向量之间的夹角的余弦值 即 cosα,范围在[-1, 1]之间,是一个标量

    image

  • OpenGL中针对相应点乘,提供了两个函数

    • m3dDotProduct3:获得2个向量量之间的点乘结果,即余弦值 = cosα
    • m3dGetAngleBetweenVector3:获取2个向量之间夹⻆的角度,即α = arccos(余弦值)

向量叉乘

  • 两个向量之间叉乘得到结果同样是一个向量,且该向量垂直于两个向量所构成的平面,

  • 由于结果与两向量构成平面垂直,也可以理解为得到的结果是该平面的法线

    image

  • OpenGL中针对向量叉乘也提供了对应的API

    • m3dCrossProduct3:获得2个向量之间的叉乘结果得到一个新的向量

OpenGL中向量

  • 向量的表示:有两种方式,三维和四维,如图所示
math3d库中的数据类型说明
M3DVector3f表示⼀一个三维向量量(x,y,z)
M3DVector4f表示⼀一个四维向量量(x,y,z,w) w是缩放因子,在典型情况下,w一般设置为1.0,x、y、z值通过除以w,来进行缩放,当w=1.0时,想xyz的值本质上不会发生变化
  • 关于向量点乘和叉乘对应API汇总

    image

矩阵

单位矩阵

  • 主对角线上数据都是1,其余元素都是0,即为单元矩阵
  • 向量 X 单元矩阵 = 向量 X 1,不会发生任何变化
  • 向量与单元矩阵相乘的前提是:向量的列数 == 单元矩阵的行数

矩阵分类

  • 行优先矩阵:一行一行读取
  • 列优先矩阵:一列一列读取
  • 两者的关系为:行优先矩阵经过转置 即可的到列优先矩阵

image

矩阵的点乘

  • 矩阵可以进行点乘的前提:两个矩阵的行列数相等

  • 矩阵A · 矩阵B = 矩阵C -规则: 矩阵A的第一个元素与矩阵B的第一个元素的乘积 = 矩阵C的第一个元素

    image

矩阵的叉乘

  • 矩阵可以进行叉乘的前提:第一个矩阵的列数 = 第二个矩阵的行数

  • 矩阵A X 矩阵B = 矩阵C

    • 规则:矩阵A第一行与矩阵B第一列对应元素乘积的综合 = 矩阵C的第一个元素

      image

OpenGL中的矩阵

  • OpenGL中单元矩阵有3中初始化方法

    • 通过GLFloat定义一个一维数组

      image

    • 通过M3DMatrix44f创建一个单元矩阵

      image

- 通过方法`m3dLoadIdentity44f`创建单元矩阵

void m3dLoadIdentity44f(M3DMatrix44f m);

  • OpenGL中,使用较多的矩阵都是一维数组创建的,且规定使用以列为主的矩阵排序。
  • OpenGL中的矩阵都是4x4的,每一列都是由4个元素组成的向量,如图所示
    • 第一列表示x轴方向
    • 第二列表示y轴方向
    • 第三列表示z轴方向
    • 第四列表示交换位置
    • 列向量进行了特殊的标注,表示这是以列为主的矩阵,主要体现为矩阵的最后一行都是0,只有最后一个元素为1

image

理解OpenGL中的矩阵相乘

数学角度

  • 数学中为了方便计算,都是以行矩阵为标准,从左到右的顺序进行计算,所以在数学中,顶点将以行向量的方式表示

  • 从数学角度理解mvp矩阵的计算,由于顶点是行向量,要满足矩阵相乘的规定条件(即 叉乘的前提),必须将mvp矩阵放在右边,属于右乘

    • 顶点向量 = V_local * M_model * M_view * M_pro

    • 顶点向量 = 顶点 * 模型矩阵 * 观察矩阵 * 投影矩阵

      image

OpenGL角度

  • OpenGL中的矩阵规定是以列为主,所以顶点以列向量的方式表示

  • 从OpenGL角度理解mvp矩阵的计算,由于顶点是列向量,如果项进行矩阵规则,就需要满足矩阵相乘的条件,需要将mvp矩阵的顺序颠倒为pvm,且放在列向量的左边,属于左乘

    image

OpenGL矩阵堆栈中矩阵相乘源码分析 从OpenGL矩阵堆栈中矩阵相乘源码分析,主要有以下3步 -从栈顶获取栈顶矩阵,复制到mTemp

  • 将栈顶矩阵 mTemp 左乘 mMatrix

  • 将结果放回栈顶,覆盖栈顶矩阵

    image

而我们在观察者不动、物体动的观察方式中,根据之前Demo代码可知

image

  • ChangeSize函数中,得到投影矩阵,将投影矩阵压入投影矩阵堆栈栈顶,并与模型视图矩阵栈顶相乘,将结果覆盖栈顶,即 投影矩阵 * 单元矩阵 = 投影矩阵
  • RenderScene函数中,将栈顶矩阵copy一份,然后将观察者矩阵与模型视图矩阵堆栈栈顶相乘,其结果覆盖栈顶矩阵,即投影矩阵 * 视图矩阵 = 视图投影矩阵
  • 得到模型矩阵,将模型矩阵与栈顶矩阵相乘,其结果覆盖栈顶矩阵,即 栈顶 = 模型视图投影矩阵

上述代码,矩阵堆栈的变化过程如下

image

由此可知,在实际的代码中,mvp矩阵的计算顺序是pvm,最后再将mvp矩阵与顶点矩阵相乘,得到物体变换后的顶点和位置。