[LeetCode 179. 最大数] | 刷题打卡[4]

269 阅读1分钟

c9b440df07605539b510a39e5ceb6007.png

一、题目描述:

给定一组非负整数 nums,重新排列每个数的顺序(每个数不可拆分)使之组成一个最大的整数。

注意:输出结果可能非常大,所以你需要返回一个字符串而不是整数。

示例 1:

输入:nums = [10,2]
输出:"210"

示例 2:

输入:nums = [3,30,34,5,9]
输出:"9534330"

示例 3:

输入:nums = [1]
输出:"1"

示例 4:

输入:nums = [10]
输出:"10"

提示:

    1 <= nums.length <= 100
    0 <= nums[i] <= 109

二、思路分析:

1.使相邻元素按字符的ASCII码顺序排序;如 a = 3,b = 30;
2.直接排需要,会按照数字进行排序,由此转换成字符串进行排序;

三、AC 代码:

JavaScript 解题一

/**
 * @param {number[]} nums
 * @return {string}
 */
var largestNumber = function (nums) {
    let ret = nums.sort((a, b) => {
        return ("" + b + a) - ("" + a + b)
    })
    if (nums[0] === 0) {
        return '0';
    }
    return nums.join("")
};

JavaScript 解题二

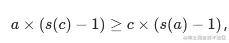
该解法参考官方解法:

图片.png

图片.png

/**
 * @param {number[]} nums
 * @return {string}
 */
var largestNumber = function (nums) {
    nums.sort((a, b) => {
        let x = 10, y = 10
        while (x <= a) {
            x *= 10
        }
        while(y<=b){
            y*=10
        }
        return ("" + a*y+x) - ("" + y*a+b)
    })
    if (nums[0] === 0) {
        return '0';
    }
    return nums.join("")
};

四、总结:

1.本题利用了sort排序规则,对字符串根据ASCII表进行排序,数字值越大,排在后面;
2.拼接字符串得到最大值;

参考解法

官方解法