二叉树的遍历

213 阅读12分钟

树的遍历

前序遍历

前序遍历首先访问根节点,然后遍历左子树,最后遍历右子树。

口诀:根左右。前序遍历首先访问根结点然后遍历左子树,最后遍历右子树。在遍历左、右子树时,仍然先访问根节点,然后遍历左子树,最后遍历右子树。若二叉树为空则结束返回,否则: (1)访问根结点。 (2)前序遍历左子树。 (3)前序遍历右子树 。需要注意的是:遍历左右子树时仍然采用前序遍历方法。

image.png

代码实现
方法一:递归
class Solution {
    public List<Integer> preorderTraversal(TreeNode root) {
        List<Integer> res = new ArrayList<Integer>();
        preorder(root, res);
        return res;
    }

    public void preorder(TreeNode root, List<Integer> res) {
        if (root == null) {
            return;
        }
        res.add(root.val);
        preorder(root.left, res);
        preorder(root.right, res);
    }
}
复杂度分析
  • 时间复杂度:O(n)O(n),其中 nn 是二叉树的节点数。每一个节点恰好被遍历一次。

  • 空间复杂度:O(n)O(n),为递归过程中栈的开销,平均情况下为 O(\log n)O(logn),最坏情况下树呈现链状,为 O(n)O(n)。

方法二:迭代
class Solution {
    public List<Integer> preorderTraversal(TreeNode root) {
        List<Integer> res = new ArrayList<Integer>();
        if (root == null) {
            return res;
        }

        Deque<TreeNode> stack = new LinkedList<TreeNode>();
        TreeNode node = root;
        while (!stack.isEmpty() || node != null) {
            while (node != null) {
                res.add(node.val);
                stack.push(node);
                node = node.left;
            }
            node = stack.pop();
            node = node.right;
        }
        return res;
    }
}
复杂度分析
  • 时间复杂度:O(n)O(n),其中 nn 是二叉树的节点数。每一个节点恰好被遍历一次。

  • 空间复杂度:O(n)O(n),为迭代过程中显式栈的开销,平均情况下为 O(\log n)O(logn),最坏情况下树呈现链状,为 O(n)O(n)。

方法三:Morris遍历

思路与算法

有一种巧妙的方法可以在线性时间内,只占用常数空间来实现前序遍历。这种方法由 J. H. Morris 在 1979 年的论文「Traversing Binary Trees Simply and Cheaply」中首次提出,因此被称为 Morris 遍历。

Morris 遍历的核心思想是利用树的大量空闲指针,实现空间开销的极限缩减。其前序遍历规则总结如下:

1.新建临时节点,令该节点为 root;

2.如果当前节点的左子节点为空,将当前节点加入答案,并遍历当前节点的右子节点;

3.如果当前节点的左子节点不为空,在当前节点的左子树中找到当前节点在中序遍历下的前驱节点:

  • 如果前驱节点的右子节点为空,将前驱节点的右子节点设置为当前节点。然后将当前节点加入答案,并将前驱节点的右子节点更新为当前节点。当前节点更新为当前节点的左子节点。
  • 如果前驱节点的右子节点为当前节点,将它的右子节点重新设为空。当前节点更新为当前节点的右子节点。

重复步骤 2 和步骤 3,直到遍历结束。

这样我们利用 Morris 遍历的方法,前序遍历该二叉树,即可实现线性时间与常数空间的遍历。

class Solution {
    public List<Integer> preorderTraversal(TreeNode root) {
        List<Integer> res = new ArrayList<Integer>();
        if (root == null) {
            return res;
        }

        TreeNode p1 = root, p2 = null;

        while (p1 != null) {
            p2 = p1.left;
            if (p2 != null) {
                while (p2.right != null && p2.right != p1) {
                    p2 = p2.right;
                }
                if (p2.right == null) {
                    res.add(p1.val);
                    p2.right = p1;
                    p1 = p1.left;
                    continue;
                } else {
                    p2.right = null;
                }
            } else {
                res.add(p1.val);
            }
            p1 = p1.right;
        }
        return res;
    }
}
复杂度分析
  • 时间复杂度:O(n)O(n),其中 nn 是二叉树的节点数。没有左子树的节点只被访问一次,有左子树的节点被访问两次。

  • 空间复杂度:O(1)O(1)。只操作已经存在的指针(树的空闲指针),因此只需要常数的额外空间。

中序遍历

中序遍历是先遍历左子树,然后访问根节点,然后遍历右子树 口诀:左根右。中序遍历首先遍历左子树,然后访问根结点,最后遍历右子树。

image.png

代码实现
方法一:递归

思路与算法

首先我们需要了解什么是二叉树的中序遍历:按照访问左子树——根节点——右子树的方式遍历这棵树,而在访问左子树或者右子树的时候我们按照同样的方式遍历,直到遍历完整棵树。因此整个遍历过程天然具有递归的性质,我们可以直接用递归函数来模拟这一过程。

定义 inorder(root) 表示当前遍历到 root 节点的答案,那么按照定义,我们只要递归调用 inorder(root.left) 来遍历 root 节点的左子树,然后将 root 节点的值加入答案,再递归调用inorder(root.right) 来遍历 root 节点的右子树即可,递归终止的条件为碰到空节点。

class Solution {
    public List<Integer> inorderTraversal(TreeNode root) {
        List<Integer> res = new ArrayList<Integer>();
        inorder(root, res);
        return res;
    }

public void inorder(TreeNode root, List<Integer> res) {
    if (root == null) {
        return;
    }
    inorder(root.left, res);
    res.add(root.val);
    inorder(root.right, res);
}
}
复杂度分析
  • 时间复杂度:O(n)O(n),其中 nn 为二叉树节点的个数。二叉树的遍历中每个节点会被访问一次且只会被访问一次。
  • 空间复杂度:O(n)O(n)。空间复杂度取决于递归的栈深度,而栈深度在二叉树为一条链的情况下会达到 O(n)O(n) 的级别。
方法二:迭代

思路与算法 方法一的递归函数我们也可以用迭代的方式实现,两种方式是等价的,区别在于递归的时候隐式地维护了一个栈,而我们在迭代的时候需要显式地将这个栈模拟出来,其他都相同,具体实现可以看下面的代码。

class Solution {
    public List<Integer> inorderTraversal(TreeNode root) {
        List<Integer> res = new ArrayList<Integer>();
        Deque<TreeNode> stk = new LinkedList<TreeNode>();
        while (root != null || !stk.isEmpty()) {
            while (root != null) {
                stk.push(root);
                root = root.left;
            }
            root = stk.pop();
            res.add(root.val);
            root = root.right;
        }
        return res;
    }
}
复杂度分析
  • 时间复杂度:O(n)O(n),其中 nn 为二叉树节点的个数。二叉树的遍历中每个节点会被访问一次且只会被访问一次。

  • 空间复杂度:O(n)O(n)。空间复杂度取决于栈深度,而栈深度在二叉树为一条链的情况下会达到 O(n)O(n) 的级别。

方法三:Morris 中序遍历

思路与算法

Morris 遍历算法是另一种遍历二叉树的方法,它能将非递归的中序遍历空间复杂度降为 O(1)O(1)。

Morris 遍历算法整体步骤如下(假设当前遍历到的节点为 xx): 1.如果 xx 无左孩子,先将 xx 的值加入答案数组,再访问 xx 的右孩子,即 x = x.right。 2.如果 xx 有左孩子,则找到 xx 左子树上最右的节点(即左子树中序遍历的最后一个节点,xx 在中序遍历中的前驱节点),我们记为}predecessor。根据predecessor 的右孩子是否为空,进行如下操作。

  • 如果 predecessor 的右孩子为空,则将其右孩子指向 xx,然后访问 xx 的左孩子,即 x = x.left。
  • 如果 predecessor 的右孩子不为空,则此时其右孩子指向 xx,说明我们已经遍历完 xx 的左子树,我们将predecessor 的右孩子置空,将 xx 的值加入答案数组,然后访问 xx 的右孩子,即 x = x.right。

3.重复上述操作,直至访问完整棵树

其实整个过程我们就多做一步:假设当前遍历到的节点为 xx,将 xx 的左子树中最右边的节点的右孩子指向 xx,这样在左子树遍历完成后我们通过这个指向走回了 xx,且能通过这个指向知晓我们已经遍历完成了左子树,而不用再通过栈来维护,省去了栈的空间复杂度。

class Solution {
    public List<Integer> inorderTraversal(TreeNode root) {
        List<Integer> res = new ArrayList<Integer>();
        TreeNode predecessor = null;

        while (root != null) {
            if (root.left != null) {
                // predecessor 节点就是当前 root 节点向左走一步,然后一直向右走至无法走为止
                predecessor = root.left;
                while (predecessor.right != null && predecessor.right != root) {
                    predecessor = predecessor.right;
                }

                // 让 predecessor 的右指针指向 root,继续遍历左子树
                if (predecessor.right == null) {
                    predecessor.right = root;
                    root = root.left;
                }
                // 说明左子树已经访问完了,我们需要断开链接
                else {
                    res.add(root.val);
                    predecessor.right = null;
                    root = root.right;
                }
            }
            // 如果没有左孩子,则直接访问右孩子
            else {
                res.add(root.val);
                root = root.right;
            }
        }
        return res;
    }
}
复杂度分析
  • 时间复杂度:O(n)O(n),其中 nn 为二叉搜索树的节点个数。Morris 遍历中每个节点会被访问两次,因此总时间复杂度为 O(2n)=O(n)O(2n)=O(n)。

  • 空间复杂度:O(1)O(1)。

后序遍历

后序遍历是先遍历左子树,然后遍历右子树,最后访问树的根节点。

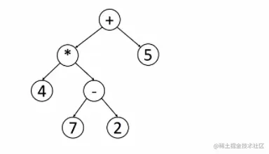
口诀:左右根。后序遍历首先遍历左子树,然后遍历右子树,最后访问根结点,在遍历左、右子树时,仍然先遍历左子树,然后遍历右子树,最后遍历根结点。即:若二叉树为空则结束返回,否则: (1)后序遍历左子树 (2)后序遍历右子树 (3)访问根结点

image.png 值得注意的是,当你删除树中的节点时,删除过程将按照后序遍历的顺序进行。 也就是说,当你删除一个节点时,你将首先删除它的左节点和它的右边的节点,然后再删除节点本身。

另外,后序在数学表达中被广泛使用。 编写程序来解析后缀表示法更为容易。 这里是一个例子:

image.png

您可以使用中序遍历轻松找出原始表达式。 但是程序处理这个表达式时并不容易,因为你必须检查操作的优先级。

如果你想对这棵树进行后序遍历,使用栈来处理表达式会变得更加容易。 每遇到一个操作符,就可以从栈中弹出栈顶的两个元素,计算并将结果返回到栈中。

方法一:递归

思路与算法

首先我们需要了解什么是二叉树的后序遍历:按照访问左子树——右子树——根节点的方式遍历这棵树,而在访问左子树或者右子树的时候,我们按照同样的方式遍历,直到遍历完整棵树。因此整个遍历过程天然具有递归的性质,我们可以直接用递归函数来模拟这一过程。

定义 postorder(root) 表示当前遍历到 root 节点的答案。按照定义,我们只要递归调用 postorder(root->left) 来遍历 root 节点的左子树,然后递归调用 postorder(root->right) 来遍历 root 节点的右子树,最后将 root 节点的值加入答案即可,递归终止的条件为碰到空节点。

class Solution {
    public List<Integer> postorderTraversal(TreeNode root) {
        List<Integer> res = new ArrayList<Integer>();
        postorder(root, res);
        return res;
    }

    public void postorder(TreeNode root, List<Integer> res) {
        if (root == null) {
            return;
        }
        postorder(root.left, res);
        postorder(root.right, res);
        res.add(root.val);
    }
}
复杂度分析
  • 时间复杂度:O(n)O(n),其中 nn 是二叉搜索树的节点数。每一个节点恰好被遍历一次。

  • 空间复杂度:O(n)O(n),为递归过程中栈的开销,平均情况下为 O(\log n)O(logn),最坏情况下树呈现链状,为 O(n)O(n)。

方法二:迭代

思路与算法

我们也可以用迭代的方式实现方法一的递归函数,两种方式是等价的,区别在于递归的时候隐式地维护了一个栈,而我们在迭代的时候需要显式地将这个栈模拟出来,其余的实现与细节都相同,具体可以参考下面的代码。

class Solution {
    public List<Integer> postorderTraversal(TreeNode root) {
        List<Integer> res = new ArrayList<Integer>();
        if (root == null) {
            return res;
        }

        Deque<TreeNode> stack = new LinkedList<TreeNode>();
        TreeNode prev = null;
        while (root != null || !stack.isEmpty()) {
            while (root != null) {
                stack.push(root);
                root = root.left;
            }
            root = stack.pop();
            if (root.right == null || root.right == prev) {
                res.add(root.val);
                prev = root;
                root = null;
            } else {
                stack.push(root);
                root = root.right;
            }
        }
        return res;
    }
}
复杂度分析
  • 时间复杂度:O(n)O(n),其中 nn 是二叉搜索树的节点数。每一个节点恰好被遍历一次。

  • 空间复杂度:O(n)O(n),为迭代过程中显式栈的开销,平均情况下为 O(\log n)O(logn),最坏情况下树呈现链状,为 O(n)O(n)。

方法三:Morris 遍历

思路与算法

有一种巧妙的方法可以在线性时间内,只占用常数空间来实现后序遍历。这种方法由 J. H. Morris 在 1979 年的论文「Traversing Binary Trees Simply and Cheaply」中首次提出,因此被称为 Morris 遍历。

Morris 遍历的核心思想是利用树的大量空闲指针,实现空间开销的极限缩减。其后序遍历规则总结如下:

1.新建临时节点,令该节点为 root;

2.如果当前节点的左子节点为空,则遍历当前节点的右子节点;

3.如果当前节点的左子节点不为空,在当前节点的左子树中找到当前节点在中序遍历下的前驱节点;

  • 如果前驱节点的右子节点为空,将前驱节点的右子节点设置为当前节点,当前节点更新为当前节点的左子节点。

  • 如果前驱节点的右子节点为当前节点,将它的右子节点重新设为空。倒序输出从当前节点的左子节点到该前驱节点这条路径上的所有节点。当前节点更新为当前节点的右子节点。

4.重复步骤 2 和步骤 3,直到遍历结束。

这样我们利用 Morris 遍历的方法,后序遍历该二叉搜索树,即可实现线性时间与常数空间的遍历。

class Solution {
    public List<Integer> postorderTraversal(TreeNode root) {
        List<Integer> res = new ArrayList<Integer>();
        if (root == null) {
            return res;
        }

        TreeNode p1 = root, p2 = null;

        while (p1 != null) {
            p2 = p1.left;
            if (p2 != null) {
                while (p2.right != null && p2.right != p1) {
                    p2 = p2.right;
                }
                if (p2.right == null) {
                    p2.right = p1;
                    p1 = p1.left;
                    continue;
                } else {
                    p2.right = null;
                    addPath(res, p1.left);
                }
            }
            p1 = p1.right;
        }
        addPath(res, root);
        return res;
    }

    public void addPath(List<Integer> res, TreeNode node) {
        int count = 0;
        while (node != null) {
            ++count;
            res.add(node.val);
            node = node.right;
        }
        int left = res.size() - count, right = res.size() - 1;
        while (left < right) {
            int temp = res.get(left);
            res.set(left, res.get(right));
            res.set(right, temp);
            left++;
            right--;
        }
    }
}
复杂度分析
  • 时间复杂度:O(n)O(n),其中 nn 是二叉树的节点数。没有左子树的节点只被访问一次,有左子树的节点被访问两次。

  • 空间复杂度:O(1)O(1)。只操作已经存在的指针(树的空闲指针),因此只需要常数的额外空间。

层序遍历

层序遍历就是逐层遍历树结构。

广度优先搜索是一种广泛运用在树或图这类数据结构中,遍历或搜索的算法。 该算法从一个根节点开始,首先访问节点本身。 然后遍历它的相邻节点,其次遍历它的二级邻节点、三级邻节点,以此类推。

当我们在树中进行广度优先搜索时,我们访问的节点的顺序是按照层序遍历顺序的。

image.png

方法一:广度优先搜索

思路和算法

我们可以用广度优先搜索解决这个问题。

我们可以想到最朴素的方法是用一个二元组 (node, level) 来表示状态,它表示某个节点和它所在的层数,每个新进队列的节点的 level 值都是父亲节点的 level 值加一。最后根据每个点的 level 对点进行分类,分类的时候我们可以利用哈希表,维护一个以 level 为键,对应节点值组成的数组为值,广度优先搜索结束以后按键 level 从小到大取出所有值,组成答案返回即可。

考虑如何优化空间开销:如何不用哈希映射,并且只用一个变量 node 表示状态,实现这个功能呢?

我们可以用一种巧妙的方法修改广度优先搜索:

  • 首先根元素入队
  • 当队列不为空的时候
    • 求当前队列的长度 si
    • 依次从队列中取 si个元素进行拓展,然后进入下一次迭代 它和普通广度优先搜索的区别在于,普通广度优先搜索每次只取一个元素拓展,而这里每次取 si 个元素。在上述过程中的第 i次迭代就得到了二叉树的第 i层的 si个元素。

为什么这么做是对的呢?我们观察这个算法,可以归纳出这样的循环不变式:第 ii 次迭代前,队列中的所有元素就是第 i 层的所有元素,并且按照从左向右的顺序排列。证明它的三条性质(你也可以把它理解成数学归纳法):

  • 初始化:i=1 的时候,队列里面只有 root,是唯一的层数为 1 的元素,因为只有一个元素,所以也显然满足「从左向右排列」;

  • 保持:如果 i=k 时性质成立,即第 k 轮中出队 sk 的元素是第 k 层的所有元素,并且顺序从左到右。因为对树进行广度优先搜索的时候由低 k 层的点拓展出的点一定也只能是 k + 1层的点,并且 k + 1层的点只能由第 k 层的点拓展到,所以由这 sk个点能拓展到下一层所有的 sk+1 个点。又因为队列的先进先出(FIFO)特性,既然第 k 层的点的出队顺序是从左向右,那么第 k+1 层也一定是从左向右。 至此,我们已经可以通过数学归纳法证明循环不变式的正确性。

  • 终止:因为该循环不变式是正确的,所以按照这个方法迭代之后每次迭代得到的也就是当前层的层次遍历结果。至此,我们证明了算法是正确的。

       class Solution {
          public List<List<Integer>> levelOrder(TreeNode root) {
              List<List<Integer>> ret = new ArrayList<List<Integer>>();
              if (root == null) {
                  return ret;
              }
    
              Queue<TreeNode> queue = new LinkedList<TreeNode>();
              queue.offer(root);
              while (!queue.isEmpty()) {
                  List<Integer> level = new ArrayList<Integer>();
                  int currentLevelSize = queue.size();
                  for (int i = 1; i <= currentLevelSize; ++i) {
                      TreeNode node = queue.poll();
                      level.add(node.val);
                      if (node.left != null) {
                          queue.offer(node.left);
                      }
                      if (node.right != null) {
                          queue.offer(node.right);
                      }
                  }
                  ret.add(level);
              }
    
              return ret;
          }
      }
    
复杂度分析

记树上所有节点的个数为 nn。

  • 时间复杂度:每个点进队出队各一次,故渐进时间复杂度为 O(n)O(n)。
  • 空间复杂度:队列中元素的个数不超过 nn 个,故渐进空间复杂度为 O(n)O(n)。