【机器学习基础】四个小项目完全解读支持向量机

192 阅读5分钟

支持向量机算法的基础是最大间隔分类器,最大间隔分类器虽然很简单,但不能应用于大部分数据,因为大部分属是非线性数据,无法用线性分类器进行分类,解决方案是对特征空间进行核函数映射,然后再运行最大间隔分类器。

本文跳过枯燥乏味的算法推导过程,循序渐进的介绍支持向量机分类原理,并通过四个小项目快速的理解支持向量机的线性分类,非线性分类和参数调参过程。

1.最大间隔分类器

最大间隔分类器使用超平面进行分类。

什么是超平面?\

假如特征空间是 p 维,超平面就是 p-1维,为了可视化超平面,假设特征空间是3个维度的,那么超平面是2维的。

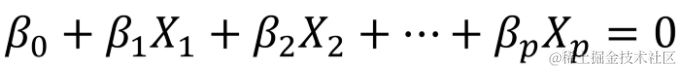
超平面表达式如下:

如果数据的特征满足上式,那么该点落在超平面上,若不满足,则该点处于超平面的两侧。\

超平面如下图:\

一般来说,如果数据可以用超平面完美地进行分离,那么超平面的数量是无限的,因为它可以向上移动、向下移动,或者对该超平面进行小角度的选择而不与观测数据接触。\

超平面是无限的,如何选择最优超平面?

最优超平面是离观测点最远的分离超平面,在给定超平面的情况下,我们计算每个训练数据到超平面的距离,这就是所谓的间隔,最优超平面也就是间隔最大的分类器。如下图:\

正如你所看到的,有三个观测点到超平面的距离相等,这三个观测点就是支持向量,若这三个观测点的位置改变了,超平面也会相应的改变。最大间隔分类器的性能只与这三个点相关,与其他数据不相关,看到这里,是不是对支持向量机算法有了新的收获了?\

如果数据分布是非线性的,不能用超平面进行分类,如下图:\

对于这样的数据分布,我们将使用核函数映射为新的特征空间,再运行最大间隔分类器进行分类,这种方法称为支持向量机。\

2.支持向量机

支持向量机的核函数映射是一种扩展特征空间的方法,核函数的核心思想是计算两个数据点的相似度。核函数的度没有限制,使用度大于1的内核可以得到更灵活的决策边界,如下图所示:\

为了更好的理解核函数的选择是如何影响SVM算法,我们在四个不同的场景实现它。\

项目1——线性核支持向量机

在开始之前,让我们导入一些有用的库:

导入需要训练和测试的数据路径:\

定义可多次调用的画图函数:

散点图可视化数据:\

散点图如下:

线性核支持向量机对该数据进行分类,其中正则化参数C=1,并使用预测值绘制超平面(hyperplane),如下图:\

由上图的分类结果可知,当正则化参数等于1时,模型对异常值不敏感。因此,低的正则化参数往往泛化能力更好,测试误差率大于验证误差率。\

若增加正则化参数C等于100,那么模型对异常点异常敏感,分类结果如下图:\

由上图结果可知:C=100时,异常值能够正确分类,但是分类超平面与样本点的距离非常近,可以推断该模型处于过拟合状态,泛化能力差。

项目2——高斯核支持向量机\

若分类边界是非线性的,我们常常使用高斯核进行SVM分类。\

首先,可视化需要分类的数据:\

散点图:

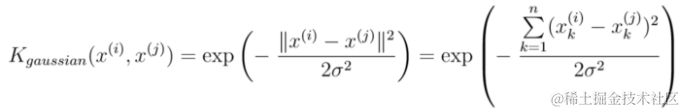
高斯核用来衡量两个数据点的相似度,公式如下:\

其中参数σ决定相似度指标趋于零的速度。\

高斯核支持向量机训练和预测代码:\

预测结果及分类边界如下图:\

项目3——支持向量机调参\

本节介绍用交叉验证方法选择模型最优参数,首先下载数据集:\

图形如下:\

使用交叉验证方法选择最优参数,代码如下:\

选择最优参数的模型(C=1,sigma=0.1)来预测和画出分类边界:

结果图:

项目4——用SVM进行垃圾邮件分类

下载数据,并用线性核进行分类,得到训练准确率和测试准确率。\

代码如下:

得到训练准确率和测试准确率的结果分别为:99.8%和98.9%。\

3.小结

本文介绍了最大间隔分类器的原理,若遇到非线性边界数据的分类任务,则需要用支持向量机去构建模型。文章通过四个小项目解释线性核SVM,高斯核SVM,正则化参数C的作用以及如何用交叉验证方法选择模型的最优参数。


往期精彩回顾



适合初学者入门人工智能的路线及资料下载机器学习及深度学习笔记等资料打印机器学习在线手册深度学习笔记专辑《统计学习方法》的代码复现专辑
AI基础下载机器学习的数学基础专辑
本站qq群851320808,加入微信群请扫码: