动态词向量算法 — ELMo

1,438 阅读7分钟

传统的词向量模型,例如 Word2Vec 和 Glove 学习得到的词向量是固定不变的,即一个单词只有一种词向量,显然不适合用于多义词。而 ELMo 算法使用了深度双向语言模型 (biLM),只训练语言模型,而单词的词向量是在输入句子实时获得的,因此词向量与上下文信息密切相关,可以较好地区分歧义。

1.静态词向量算法

在之前的文章中介绍了词嵌入算法 Word2Vec 和 Glove。与传统的 one-hot 编码、共现向量相比,词嵌入算法得到的词向量维度更低、也可以比较好地支持一些下游的任务,例如文档分类,问答系统等。

但是这两种算法都是静态词向量算法,在数据集上训练好一个语言模型之后,每一个词的词向量就固定下来了。后续使用词向量时,无论输入的句子是什么,词向量都是一样的,例如:

  • ”我喜欢吃小米“中的”小米“指一种食物

  • ”小米手机挺好用“中的”小米“指手机品牌

给定上面两个句子,在 Word2Vec 和 Glove 中去得到“小米“的词向量都是一样的,不能根据上下文给出更准确的词向量。

ELMo 是一种动态词向量算法,在大型的语料库里训练一个 biLSTM (双向LSTM模型)。下游任务需要获取单词词向量的时候,将整个句子输入 biLSTM,利用 biLSTM 的输出作为单词的词向量,包含了上下文信息。可以理解成,biLSTM 是一个函数,函数的输入是一个句子,输出是句子中单词的词向量。

2.双向语言模型

首先介绍什么是双向语言模型,以及如何通过 biLSTM 得到单词的词向量,对 LSTM 不熟悉的童鞋可以参考前一篇文章《循环神经网络 RNN、LSTM、GRU》

2.1 双向语言模型

双向语言模型包括前向模型后向模型,给定一个包含 N 个单词的句子 T = [t(1), t(2), ..., t(N)],前向模型需要通过前面的单词 [t(1), t(2), ..., t(k-1)] 预测下一个单词 t(k),而后向模型需要通过后面的单词,预测前一个单词。

2.2 使用 biLSTM 得到上下文相关的词向量

biLSTM 是一种双向的循环神经网络,包含了前向网络与后向网络两部分。上图是一个层数 L = 2 的 biLSTM。

每一个单词 t(i) 的输入是词向量,这个词向量是固定的,可以使用 Word2Vec 或者 Glove 生成的词向量,在 ELMo 中使用了 CNN-BIG-LSTM 生成的词向量。注意,ELMo 输入时的词向量是固定的,ELMo 将输入的词向量传到 biLSTM 得到的才是动态的,包含上下文信息。

ELMo 的论文中使用以下符号表示双向 LSTM 中每一层对应第 i 个单词的输出前向输出包含第 i 个单词之前的语义,后向输出包含了第 i 个单词之后的语义。

文章中比较难添加公式,因此使用 h(k,j,→) 表示前向输出,使用 h(k,j,←) 表示后向向输出,请谅解。每一层的输出 h(k-1,j,→) 和 h(k+1,j,←) 都是单词的动态词向量

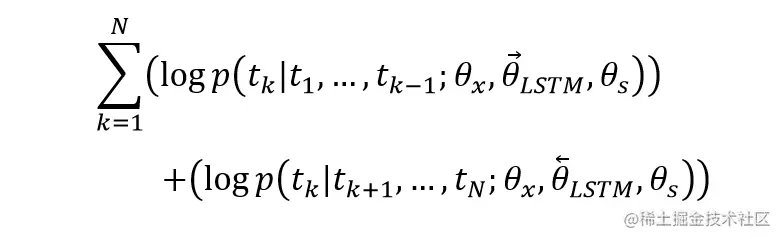
LSTM 一共 L 层,对于前向 LSTM,每一个单词 t(k-1) 的最后一层输出 h(k-1,L,→) 用于预测下一个单词 t(k);对于后向 LSTM,每一个单词 t(k+1) 的最后一层输出 h(k+1,L,←) 用于预测前一个单词 t(k)。预测的过程采用 softmax, biLSTM 需要优化的目标函数如下:

θ(x) 表示单词输入时候的词向量,这个词向量是固定的。θ(s) 表示 softmax 层,用于预测前后的单词。θ(LSTM,→) 表示前向 LSTM 的参数,用于计算 h(k-1,L,→)。θ(LSTM,←) 表示后向 LSTM 的参数,用于计算 h(k-1,L,←)。

3.ELMo 算法

3.1 流程介绍

ELMo 中使用的 biLSTM 层数 L = 2,ELMo 首先在大型的数据集上训练好模型,然后再后续任务中可以根据输入的句子,输出每一个单词的词向量。例如给定一个句子 T = [t(1), t(2), ..., t(N)],ELMo 计算词向量的方法如下:

  • 从静态的词向量表里查找单词的词向量 E(1), ..., E(N) 用于输入。ELMo 使用 CNN-BIG-LSTM 生成的词向量作为输入。

  • 将单词词向量 E(1), ..., E(N) 分别输入第 1 层前向 LSTM 和后向 LSTM,得到前向输出 h(1,1,→), ..., h(N,1,→),和后向输出 h(1,1,←), ..., h(N,1,←)。

  • 将前向输出 h(1,1,→), ..., h(N,1,→) 传入到第 2 层前向 LSTM,得到第 2 层前向输出 h(1,2,→), ..., h(N,2,→);将后向输出 h(1,1,←), ..., h(N,1,←) 传入到第 2 层后向 LSTM,得到第 2 层后向输出 h(1,2,←), ..., h(N,2,←)。

  • 则单词 i 最终可以得到的词向量包括 E(i), h(N,1,→), h(N,1,←), h(N,2,→), h(N,2,←),如果采用 L 层的 biLSTM 则最终可以得到 2L+1 个词向量。

3.2 使用词向量

在上面我们知道句子中一个单词 i 可以得到 2L+1 个词向量,在实际使用的过程中应该如何利用这 2L+1 个词向量?

首先在 ELMo 中使用 CNN-BIG-LSTM 词向量 E(i) 作为输入,E(i) 的维度等于 512。然后每一层 LSTM 可以得到两个词向量 h(i,layer,→) 和 h(i,layer,←),这两个向量也都是 512 维。则对于单词 i 可以构造出 L+1 个词向量。

h(i,0) 表示两个 E(i) 直接拼接,表示输入词向量,这是静态的,1024 维。

h(i,j) 表示第 j 层 biLSTM 的两个输出词向量 h(i,j,→) 和 h(i,j,←) 直接拼接,这是动态的,1024维。

ELMo 中不同层的词向量往往的侧重点往往是不同的,输入层采用的 CNN-BIG-LSTM 词向量可以比较好编码词性信息,第 1 层 LSTM 可以比较好编码句法信息,第 2 层 LSTM 可以比较好编码单词语义信息。

ELMo 的作者提出了两种使用词向量的方法:

第一种是直接使用最后一层 biLSTM 的输出作为词向量,即 h(i,L)。

第二种是更加通用的做法,将 L+1 个输出加权融合在一起,公式如下。γ 是一个与任务相关的系数,允许不同的 NLP 任务缩放 ELMo 的向量,可以增加模型的灵活性。s(task,j) 是使用 softmax 归一化的权重系数。

3.3 ELMo效果

这是论文中的一个例子,上面的是 Glove,下面两行是 ELMo。可以看到 Glove 查找 play 的最近邻,会出现“游戏”、“表演”、“运动”等相关的单词,可能与 paly 在句子中的实际意思不同。但是在 ELMo 中,可以看到第一个句子中的 play 是比赛的意思,其最近邻句子的 play 也是比赛的意思。而第二个句子的 play 都是表演的意思。说明 ELMo 可以根据上下文更好地得到一个单词的词向量。

4.ELMo 总结

  • ELMo 训练语言模型,而不是直接训练得到单词的词向量,在后续使用中可以把句子传入语言模型,结合上下文语义得到单词更准确的词向量。

  • 使用了 biLSTM,可以同时学习得到保存上文信息和下文信息的词向量。

  • biLSTM 中不同层得到的词向量侧重点不同,输入层采用的 CNN-BIG-LSTM 词向量可以比较好编码词性信息,第 1 层 LSTM 可以比较好编码句法信息,第 2 层 LSTM 可以比较好编码单词语义信息。通过多层词向量的融合得到最终词向量,最终词向量可以兼顾多种不同层次的信息。

5.参考文献