词向量模型 — Glove

1,143 阅读9分钟

常见的词嵌入算法有基于矩阵分解的方法和基于浅层窗口的方法,Glove 结合了这两类方法的优点生成词向量。基于矩阵分解的方法可以有效地利用全局信息,但是在大数据集上速度慢;而基于浅层窗口的方法对于词汇类比任务效果较好,训练速度快,但是不能有效利用全局信息。

1.词嵌入算法 Word Embedding

在上一篇文章《词向量模型 — Word2Vec》中,主要介绍了词嵌入算法 Word2Vec。与传统的 one-hot 编码、共现向量相比,词嵌入算法得到的词向量维度更低、也可以更好地支持一些下游的任务,例如文档分类,问答系统等。

本文介绍另一种词嵌入算法 Glove,首先简述目前主要的两类词嵌入算法的优缺点。第一类是 Matrix Factorization (矩阵分解) 方法,例如 LSA;第二类是 Shallow Window-Based (基于浅层窗口) 方法,也称为基于预测的方法,例如 Word2Vec。Glove 算法结合了基于统计和基于浅窗口两种方法的优点。

1.1 矩阵分解

基于矩阵分解的 word embedding 算法是一种利用了全局统计信息的方法,首先需要在语料库中构造出单词共现矩阵或者文档 - 单词矩阵。下面用一个简单的例子说明,假设语料库中包含以下三个文档,则可以构造出对应的单词共现矩阵或者文档 - 单词矩阵

文档 1:I have a cat

文档 2:cat eat fish

文档 3:I have a apple

单词共现矩阵中,单词 “I” 和 单词 “have” 在两篇文档中共同出现,因此它们的连接权重为 2;在文档 - 单词矩阵中文档 1 包含一个单词 “I”,因此为 1。在实际构造文档 - 单词矩阵时则可以使用 tf-idf 作为权重。

在得到单词共现矩阵或者文档 - 单词矩阵后可以采用 LSA 算法学习得到词向量,LSA 算法 (潜在语义分析) 主要用于文本话题分析,通过对文档 - 单词矩阵进行分解可以找出文档与话题、单词与话题之间的联系 。矩阵 X(M×N) 表示文档 - 单词矩阵,其中包含 M 个文档和 N 个单词。LSA 使用 SVD 分解矩阵 X ,得到两个低维的矩阵 U(M×k) 和 V(N×k),V 的每一行就是一个单词的词向量。

基于矩阵分解的方法优点是:可以有效利用全局统计信息。缺点是:1. SVD算法的时间复杂度太大,不适合用于大数据集;2. 主要用于获取词汇的相似性,对于词汇类比任务的表现没有基于浅窗口预测的方法好。

1.2 基于浅窗口

基于浅窗口的方法也称为基于预测的方法,代表算法有 NNLM、Word2Vec 等。基于浅窗口的方法通常使用了语料库的局部信息,在训练的过程中生成一个局部的上下文窗口。通过用上下文单词预测中心词或者用中心词预测上下文单词,最大化条件概率 P(中心词|上下文单词) 或者 P(上下文单词|中心词),从而训练得到词向量。例如在 Word2Vec 的 Skip-Gram 模型中主要是使用中心词预测上下文单词,最大化 P(上下文单词|中心词);而 Word2Vec 中的 CBOW 模型主要是通过上下文单词预测中心词,最大化 P(中心词|上下文单词) 。上一篇文章介绍了 Word2Vec,因此不赘述了。

基于浅窗口方法的优点是:1. 训练的过程中采用了预测的方式,在词汇类比任务中的表现更好;2. 训练更快,能适应大数据集;3. 能够学习到单词之间除了相似性之外的复杂模式。缺点是:1. 不能很好的使用全局统计信息;2. 需要大量的数据集。

可以看到矩阵分解和基于浅窗口的方法都存在一些局限,而 Glove 算法的逻辑就是,结合了两类算法的优点,接下来重点了解 Glove 算法。

2.Glove 单词共现矩阵与共现概率矩阵

GloVe模型将 LSA 和 Word2Vec 的优点结合在一起,既利用了语料库的全局统计信息,也利用了局部的上下文特征 (滑动窗口)。Glove 首先需要构造单词共现矩阵,并提出了共现概率矩阵 (Co-occurrence Probabilities Matrix)的概念,共现概率矩阵可以通过单词共现矩阵计算。

2.1 Glove 单词共现矩阵

Glove 中构造单词共现矩阵时与 LSA 存在一些区别,需要限定一个上下文窗口,构造的过程如下:

1. 构造一个 N×N 的空矩阵,值为 0
2. 定义一个滑动窗口,大小为 c
3. 从语料库的第 1 个单词开始作为中心词滑动窗口,中心词在窗口中心
4. 中心词左右两边的单词有 c-1 个,为上下文单词
5. 统计中心词左右的上下文单词出现的次数,添加到矩阵中
6. 继续滑动窗口

例如给定句子 “I have a cat” 和上下文窗口大小为 3,则可以构造出以下窗口。当遍历到第 3 个窗口 “have a cat” 时,中心词是 “a”,此时要在单词共现矩阵 X 中加上统计信息。X(a, have) += 1,X(a, cat) += 1。注意这种方法构造出的单词共现矩阵 X是对称矩阵。在实际使用的时候,还可以根据上下文单词与中心词的距离调整添加到矩阵 X 中的权重,远的词权重小,而近的词权重大。

2.2 Glove 共现概率矩阵

统计出共现矩阵 X 后,可以使用 Xij 表示单词 i 和 j 共同出现的次数,而 Xi 为所有 Xij 的和,Pij = P(j|i) 表示单词 j 出现在单词 i 上下文的概率。

Glove 在上述基础上提出了共现概率 (Co-occurrence) 的概念,共现概率可以理解为上面条件概率的比例 Ratio。以下是原论文中的例子,给定中心词 ice (冰) 和 steam (水蒸气),可以通过不同的上下文单词 k 与中心词 ice、steam 条件概率的比例 Ratio(ice, steam, k) 判断它们之间的关系。

当单词 k 与 ice 相关性比较大的时候,例如 k = solid (固体),Ratio(ice, steam, k) 会比较大;

当单词 k 与 steam 相关性比较大的时候,如 k = gas (气体),Ratio(ice, steam, k) 会比较小;

当 k 与 ice、steam 都相关时,如 k = water (水),Ratio(ice, steam, k) 的值会接近 1;

当 k 与 ice、steam 都不相关时,如 k = fashione (时尚),Ratio(ice, steam, k) 的值也会接近 1;

通过这个比例 Ratio(ice, steam, k) 可以很好地区分与 ice 相关的词 (solid)、与 steam 相关的词 (gas) 和一些对于 ice、steam 不是很重要的词 (water、fashion)。因此 Glove 使用了一种重要的思想,即给定中心词 i,j 和上下文单词 k,词向量的学习应该与单词条件概率的比例 Ratio(i, j, k) 相关,好的词向量可以编码 Ratio(i, j, k) 的相关信息。

3.Glove 算法的推导

使用 w(x) 表示单词 x 的词向量,w'(x) 表示单词 x 作为上下文时候的词向量。则给定中心词 i,j 和上下文单词 k,Glove 希望词向量可以编码 Ratio(i, j, k)的信息,则会存在一种函数 F,使得下式成立。

上式右侧部分通过单词共现矩阵计算,接下来需要简化公式。Glove 的作者认为,单词词向量空间是一个线性结构,例如 “man” - “women” 的差与 “king” - “queen” 的差很相近。因此一种直观的方法是,通过词向量的差值简化公式。

上式的右侧是一个标量,而左侧 F 函数里面是向量。为了避免函数 F (F可以很复杂,例如使用神经网络来学习) 学习到一些无用的东西,混淆 Glove 希望得到的线性结构,因此进一步对公式进行简化,将公式 F 函数里面的也变为一个标量。

单词共现矩阵 X是一个对称矩阵,说明中心词与上下文词是可以互换位置的,即公式中变换 w(x) 与 w'(x)、X(i, j) 与 X(j, i),公式应该不变。但是上面的式子并不满足这一条件,因此要将上面的公式变成满足同态性的。

从式子可以看出 F 是指数函数,即 F = exp,于是上面的公式可以进行变换,得到下面的公式。

注意到上面的式子右侧交换 i 和 k 的位置会改变公式对称性,为了保证对称性,作者进行了如下变换,增加了两个偏置项 b(i) 与 b'(k)。

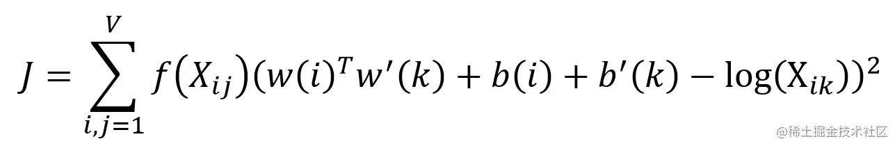
因此最终需要最小化下面的目标函数:

目标函数就是平方误差,其中 f(Xij) 表示损失函数的权重,作者采用了上述公式计算 f(Xij),保证了:1. 两个单词共现次数越多,损失函数权重越大;2. 两单词共现次数超过一个阈值时,权重不继续增大,最大权重为 1;3. 两个单词共现次数为 0,则权重为 0。f(Xij) 的图像如下。

目标函数采用随机梯度下降法进行优化,随机选取单词共现矩阵 X 中的非 0 项进行优化。X 是一个稀疏矩阵,Glove 通常优化速度比 Word2Vec 要快,因为 Word2Vec 中语料库的每一对 (中心词、上下文词) 都是训练样本,样本数量较多。

4.总结

Glove 算法结合了矩阵分解浅窗口方法的优点,充分地利用了全局的统计信息局部上下文窗口的优势。在实际使用中效果会比 Word2Vec 要好,而且训练的速度更快。

5.参考文献

《GloVe : Global Vectors forWord Representation》