6道Python基础练习题

633 阅读2分钟

1、将复数2.3×103-1.34×10-3j赋值给变量A,并分别提取A的实部和虚部。

代码:

A=complex(2.3e3,-1.34e-3)
print(A.real)

print(A.imag)

运行结果: 在这里插入图片描述

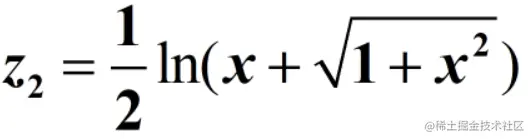
2、计算下列表达式的值: 在这里插入图片描述 程序:

import math
z1=(2*(math.sin(math.pi*85/180)))/(1+math.e**2)
print(z1)

运行结果: 在这里插入图片描述

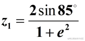
在这里插入图片描述,其中x是从键盘获取的任意实数。

程序:

import math

x = int(input('输入数字:'))
z2 = 1/2*math.log(x+math.sqrt(1+math.pow(x, 2)))
print(z2)

运行结果: 在这里插入图片描述

3、建立一个包含10个字符的字符串A,然后对该字符串进行如下操作:

(1)计算输出字符串的长度;

(2)从第1个字符开始,每间隔2个字符取1个字符,组成子字符串B;

(3)将字符串A倒过来重新排列产生新的字符串C;

(4)将字符串A的前4个字符与字符串C的后5个字符进行组合,产生字符串D。

代码:

A = input('输入字符串:')

B = A[::3]
C = A[::-1]
D = A[0:3]+C[-5:-1]
print(len(A))
print(B)
print(C)
print(D)

运行结果: 在这里插入图片描述 4、分别格式化输出0.002178对应的科学表示法形式、具有4位小数精度的浮点数形式和百分数形式,并将输出宽度设定为10、居中对齐、星号*填充。

代码:

#Python学习交流群:531509025
x = 0.002178

print("x对应的科学表示法形式为:",("%e"%x).center(10,'*'))
print('x具有4位小数精度的浮点数形式为:',('{0:.4f}'.format(x)).center(10,'*'))
print('x百分数形式为:',(('{0:.2f}%'.format(x*100)).center(10,'*')))

运行结果: 在这里插入图片描述5、编写程序,从键盘输入一个1~7的数字,格式化输出对应数字的星期字符串名称。如:输入3,返回“您输入的是星期三”。

代码:

n =int(input('输入一个1~7的数字:'))
if(n==1):
    print("您输入的是星期一")
elif(n==2):
    print("您输入的是星期二")
elif(n==3):
    print("您输入的是星期三")
elif(n==4):
    print("您输入的是星期四")
elif(n==5):
    print("您输入的是星期五")
elif(n==6):
    print("您输入的是星期六")
elif(n==7):
    print("您输入的是星期日")

运行结果:

在这里插入图片描述 6、数字加密游戏:编程程序,从键盘任意输入1个4位数,将该数字中的每位数与7相乘,然后取乘积结果的个位数对该数字进行替换,最后得到1个新的4位数。

代码:

n = int(input('任意输入1个4位数:'))
if 1000<=n<=9999:
    a=n%10
    b=(n-a)%100/10
    c=(n-a-10*b)%1000/100
    d=(n-a-10*b-100*c)%10000/1000
    a=a*7%10
    b=b*7%10
    c=c*7%10
    d=d*7%10
    n=1000*d+100*c+10*b+a
    print(int(n))
elif n<=1000 or n>=9999:
    print("您输入的数字不符合要求,请输入一个四位数字")

运行结果: 在这里插入图片描述