【面试高频系列】既能考察对「数据结构」的掌握,还能考察对「递归函数」的设计 ... |刷题打卡

105 阅读2分钟

本文正在参与掘金团队号上线活动,点击查看大厂春招职位

题目描述

这是 LeetCode 上的24. 两两交换链表中的节点,难度为 Medium

给定一个链表,两两交换其中相邻的节点,并返回交换后的链表。

你不能只是单纯的改变节点内部的值,而是需要实际的进行节点交换。

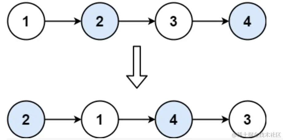
示例 1:

输入:head = [1,2,3,4]
输出:[2,1,4,3]

示例 2:

输入:head = []
输出:[]

示例 3:

输入:head = [1]
输出:[1]

提示:

  • 链表中节点的数目在范围 [0, 100] 内
  • 0 <= Node.val <= 100

递归解法(哨兵技巧)

哨兵技巧我们之前在前面的多道链表题讲过,让三叶来帮你回忆一下:

做有关链表的题目,有个常用技巧:添加一个虚拟头结点(哨兵),帮助简化边界情况的判断。

链表和树的题目天然适合使用递归来做。

我们可以设计一个递归函数,接受一个 ListNode 节点 root 作为参数,函数的作用是将 root 后面的两个节点进行交换,交换完成后再将下一个节点传入 ...

交换的前提条件:节点 root 后面至少有两个节点。同时别忘了应用我们的「哨兵技巧」:

代码:

class Solution {
    public ListNode swapPairs(ListNode head) {
        ListNode dummy = new ListNode(-1);
        dummy.next = head;
        recursive(dummy);
        return dummy.next;
    }
    // 函数的作用是将 root 后面的两个节点进行互换
    void recursive(ListNode root) {
        if (root.next != null && root.next.next != null) {
            ListNode a = root.next, b = a.next;
            root.next = b;
            a.next = b.next;
            b.next = a;
            recursive(a);
        }
    }
}
  • 时间复杂度:会将每个节点处理一遍。复杂度为 O(n)O(n)
  • 空间复杂度:O(1)O(1)

迭代解法(哨兵技巧)

所有的递归都能转化为迭代:

class Solution {
    public ListNode swapPairs(ListNode head) {
        ListNode dummy = new ListNode(-1);
        dummy.next = head;
        for (ListNode cur = dummy; cur.next != null && cur.next.next != null;) {
            ListNode a = cur.next, b = a.next;
            cur.next = b;
            a.next = b.next;
            b.next = a;
            cur = a;
        }
        return dummy.next;
    }
}
  • 时间复杂度:会将每个节点处理一遍。复杂度为 O(n)O(n)
  • 空间复杂度:O(1)O(1)

最后

这是我们「刷穿 LeetCode」系列文章的第 No.24 篇,系列开始于 2021/01/01,截止于起始日 LeetCode 上共有 1916 道题目,部分是有锁题,我们将先将所有不带锁的题目刷完。

在这个系列文章里面,除了讲解解题思路以外,还会尽可能给出最为简洁的代码。如果涉及通解还会相应的代码模板。

为了方便各位同学能够电脑上进行调试和提交代码,我建立了相关的仓库:github.com/SharingSour…

在仓库地址里,你可以看到系列文章的题解链接、系列文章的相应代码、LeetCode 原题链接和其他优选题解。