飞桨与宸曜科技完成兼容性认证

103 阅读6分钟

AI产业软硬件结合新方案:百度飞桨(PaddlePaddle)和宸曜科技强强联手,完成百度飞桨全流程开发工具PaddleX与宸曜工控机(Nuvo-8000 Series、Nuvo GC Series系列、Nuvis-7306RT系列)的兼容性适配,推出了预装PaddleX的工控机,为AI产业落地提供高性能软硬一体的解决方案。

作为飞桨全流程开发工具,PaddleX可以帮助开发者快速的构建、训练和部署深度学习算法。它消除了深度学习模型产业应用过程中每个步骤的繁杂操作,将您需要的工具和流程拼接在一起,让AI算法开发更轻松。

而得益于PaddleX的能力,宸曜科技的用户可以更快速的获得优质的AI算法开发体验,快速完成AI项目落地。

图 1 PaddleX与宸曜工控机兼容性证明

宸曜科技与百度飞桨

合作的成果

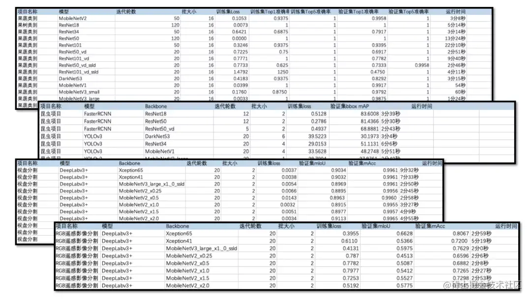
下表给出的是由宸曜科技团队和飞桨团队基于Nuvo-8108GC机型,在Windows10系统环境下进行并完备测试的结果。 处理器 i7-8700,内存16G*2,显卡RTX2080S 8G,250G SSD

图2 Nuvo运行PaddleX示例项目性能数据

由图2所示,PaddleX提供的全部示例工程均在宸曜工控机上稳定、高效的运行。

PaddleX产品介绍

PaddleX提供了图像化开发界面和Python API两种开发形式,覆盖了了机器视觉领域的图像分类、目标检测、实例分割、语义分割四大任务。提供了质检、安防、遥感、人像分割等丰富的行业实践经验。

  • PaddleX拥有可视化开发界面demo,不写代码也可以完成AI算法训练!适配Windows、Mac、Linux三个系统,一键下载、绿色安装!

  • 也可直接pip install安装后通过API开发,最少4个API即可完成深度学习算法训练!隔着屏幕我都闻到了香味!

  • 既适配业界常用CPU、GPU,还提供针对NVIDIA Jetson、树莓派、Android、OpenVINO平台/系统的完善部署方式及超级完善的文档说明。

  • 提供超丰富、实用、完整的工业、遥感、互联网等产业项目示例,从多模型串联到可视化推理等实用方案级别的讲解说明

宸曜工控机的技术优势和特点

Nuvo-8108GC 是一款兼具工业级设计和车载应用功能的强固型GPU 嵌入式边缘计算人工智能平台。其特点包含:

宽温无风扇嵌入式设计 独特的机构设计与散热片,先进的卡槽及风道设计,将图形卡/ AI计算卡产生的热量有效排出而不会出现热节流,系统可在-25℃至60℃的宽温范围下,仍保有100%负载的运算效能。

可靠的电源设计 支持8~48V宽范围直流输入,精密的电源设计足以应对高达350W图形卡/ AI计算卡的满载功耗及瞬间大电流。

紧凑机身,提供丰富I/O 超紧凑的机箱设计中提供了丰富的I/O接口及扩展功能选项,可以插入各种PCIe/ PCI扩展卡和Neousys独特的MezIO™扩展模块,实现功能扩展,如数据采集,分析和通讯。

支持各种高端人工智能边缘计算应用 支持英特尔® 至强®E系列或第八/第九代酷睿™处理器,同时最高可支持350W高端图形卡/AI计算卡,满足高算力需求。

合作展望

PaddleX是飞桨产品矩阵中的一个重要工具组件,它提供了一套极其易用的开发方案,使开发者可以快速完成多种计算机视觉算法的开发、优化并实现高效部署上线。宸曜科技作为优秀的工控机提供厂商,有丰富的的客户资源、技术方案底蕴和强大的推广、销售、系统集成团队,为客户提供专业的展示平台和测试环境,以及优质的方案整合和实施方案。未来,百度飞桨与宸曜科技除了在硬件上进行全面适配,还将携手拓展更广泛的智能应用,针对主流行业应用场景做进一步的性能优化,推出行业标杆的解决方案,共同助力人工智能场景规模化,赋予AI更多可能。

在刚刚结束的第16届慕尼黑上海光博会上,适配了PaddleX的Nuvis-7306RT工控机展出,搭建的高速产线上缺陷检测和物体识别Demo吸引了大量展会观众的关注。

关于飞桨

飞桨(PaddlePaddle)以百度多年的深度学习技术研究和业务应用为基础,是中国首个自主研发、功能完备、开源开放的产业级深度学习平台,集深度学习核心训练和推理框架、基础模型库、端到端开发套件和丰富的 工具组件于一体。目前,飞桨已凝聚超265万开发者,服务企业10万家,基于飞桨开源深度学习平台产生了34万个模型。飞桨助力开发者快速实现AI想法,快速上线AI业务。帮助越来越多的行业完成AI赋能,实现产业智能化升级。

关于宸曜科技

Neousys宸曜科技成立于2010年,专注于设计制造强固及超紧凑的无风扇嵌入式工业电脑和智能系统,核心技术涵盖嵌入式运算及数据采集和处理。宸曜科技的产品致力于创新并贴近用户的实际应用,是自动化,机器视觉,交通运输,智能视频分析,AI计算,自动驾驶等垂直领域的指标解决方案。

加入PaddleX官方QQ群以获得更多技术支持及服务:1045148026。

如果您想详细了解更多飞桨的相关内容,请参阅以下文档。

·飞桨官网地址·

www.paddlepaddle.org.cn/

·飞桨开源框架项目地址·

GitHub: github.com/PaddlePaddl… 

Gitee: gitee.com/paddlepaddl… ·PaddleX开源项目地址·

Github:github.com/PaddlePaddl…

Gitee:gitee.com/PaddlePaddl…

欢迎大家支持PaddleX!

扫描上方二维码立即Star

飞桨(PaddlePaddle)以百度多年的深度学习技术研究和业务应用为基础,是中国首个开源开放、技术领先、功能完备的产业级深度学习平台,包括飞桨开源平台和飞桨企业版。飞桨开源平台包含核心框架、基础模型库、端到端开发套件与工具组件,持续开源核心能力,为产业、学术、科研创新提供基础底座。飞桨企业版基于飞桨开源平台,针对企业级需求增强了相应特性,包含零门槛AI开发平台EasyDL和全功能AI开发平台BML。EasyDL主要面向中小企业,提供零门槛、预置丰富网络和模型、便捷高效的开发平台;BML是为大型企业提供的功能全面、可灵活定制和被深度集成的开发平台。