[LeetCode142. 环形链表 II] | 刷题打卡

192 阅读2分钟

本文正在参与掘金团队号上线活动,点击查看大厂春招职位

题目描述

给定一个链表,返回链表开始入环的第一个节点。 如果链表无环,则返回 null。

为了表示给定链表中的环,我们使用整数 pos 来表示链表尾连接到链表中的位置(索引从 0 开始)。 如果 pos 是 -1,则在该链表中没有环。注意,pos 仅仅是用于标识环的情况,并不会作为参数传递到函数中。

说明:不允许修改给定的链表。

进阶: 你是否可以使用 O(1) 空间解决此题?  

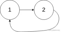
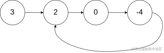
示例 1:

image.png

输入:head = [3,2,0,-4], pos = 1
输出:返回索引为 1 的链表节点
解释:链表中有一个环,其尾部连接到第二个节点。

示例 2:

image.png

输入:head = [1,2], pos = 0
输出:返回索引为 0 的链表节点
解释:链表中有一个环,其尾部连接到第一个节点。

示例 3:

image.png

输入:head = [1], pos = -1
输出:返回 null
解释:链表中没有环。

提示:

1. 链表中节点的数目范围在范围 [0, 104] 内
2. -105 <= Node.val <= 105
3. pos 的值为 -1 或者链表中的一个有效索引

难度:中等。

思路分析

  1. 设置快慢指针
  2. 若不存在环,则快指针会先到达 NULL
  3. 若存在环,快慢指针迟早相遇,设从头结点到入环为 a,相遇时的点离入环点为 b,环的总长度为 b+c
  4. 则快慢指针首次相遇时, s=a+b; f=a+b+n(b+c)=2(a+b); a=(n-1)(b+c)+c;
  5. 即 a 相当于走 n-1 圈加上 c 的和,首次相遇后,再走 c 即会到达环起点,忽略掉圈数的影响,有 a=c

AC 代码

struct ListNode *detectCycle(struct ListNode *head) {
    struct ListNode* fast = head;
    struct ListNode* slow = head;
    while (fast != NULL) {
        slow = slow->next;
        if(fast->next == NULL) return NULL;
        fast = fast->next->next;
        if(fast == slow) {
            // 第一次相遇
            fast = head;
            break;
        }
    }
    if(fast == NULL) return NULL;
    while(fast != slow) {
        slow = slow->next;
        fast = fast->next;
    }
    return fast;
}

总结

这道题主要的考察点是对链表的熟悉度,以及对环形链表特性的分析。

一开始我们想到的解决方案有可能是用哈希表以及两遍循环来得出解。但是题目给的进阶提示是使用 O(1) 空间解决此题,用了哈希表至少就需要 O(n),明显不符合需求,所以使用快慢指针。

解题的关键点主要有以下几点:

  1. 想到用快慢指针进行链表的循环遍历
  2. 搞清楚在有环的情况下,两个指针第一次相遇时所处的关系
  3. 明确在忽略圈数影响的情况下, a = c 的关系
  4. 使快指针变慢并从头开始,制造在两指针能在环起点二次相遇的条件。