MySQL:从B树到B+树到索引再到存储引擎,来说说

1,266 阅读5分钟

公众号:Java小咖秀,网站:javaxks.com

作者:that_is_cool , 链接: blog.csdn.net/that_is_cool/article/details/81069945

学习 Java 也有一年多了,但是从来没有就数据库做一个完整的总结,心血来潮立了这么一个网文标题,希望不要虎头蛇尾吧,哈哈。

索引其实是一种数据结构,在数据库中,读写的比例是在 10:1,所以如果每一次查找都全表查找的话,效率将会变的十分的低下。所以,本文将会按照题目,按部就班地讲解 MySql 的索引。

B 树和 B + 树

B 树和 B + 树算是数据结构中出现频率十分高的模型了,在笔者之前的几篇博客,有对二叉查找树和二叉平衡树进行过讲解和代码分析,但是那些都是在程序中使用比较多的树,在数据库中,数据量相对较大,多路查找树显然更加适合数据库的应用场景,接下来我们就介绍这两类多路查找树,毕竟作为程序员,心里没点 B 树怎么能行呢?

B 树:B 树就是 B - 树,他有着如下的特性:

1、B 树不同于二叉树,他们的一个节点可以存储多个关键字和多个子树指针,这也是 B + 树的特点;

2、一个 m 阶的 B 树要求除了根节点以外,所有的非叶子子节点必须要有 [m/2,m] 个子树;

3、根节点必须只能有两个子树,当然,如果只有根节点一个节点的情况存在;

4、B 树是一个查找二叉树,这点和二叉查找树很像,他都是越靠前的子树越小,并且,同一个节点内,关键字按照大小排序;

5、B 树的一个节点要求子树的个数等于关键字的个数 + 1;

好了,话不多说,看看 B 树的模型吧:

img

一个五阶的 B 树

由于 B 树将所有的查找关键字都放在节点中,所以查找方式和二叉查找十分相像,比如说查找 E:

先通过根节点找到了左子树,再顺序地遍历左子树,发现 E 在 F 和 J 的中间,于是查找叶子节点,顺序遍历关键字以后就可以返回 E 了,如果未能查到 E,则表示没有找到。

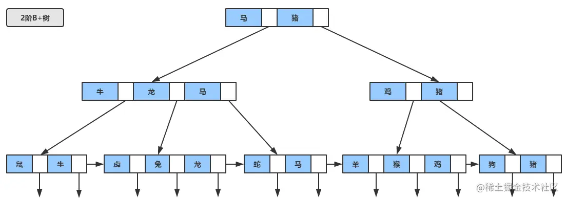
B + 树

人人都喜欢 plus,B + 树就是这么一个 plus,后头所讲解的索引,就是用的 B + 树,我们先来看看他的特性吧:

1、B + 树将所有的查找结果放在叶子节点中,这也就意味着查找 B + 树,就必须到叶子节点才能返回结果;

2、B + 树每一个节点的关键字个数和子树指针个数相同;

3、B + 树的非叶子节点的每一个关键字对应一个指针,而关键字则是子树的最大,或者最小值;

看看模型吧:

img

一个 3 阶的 B + 树

他的查找方式也是简单粗暴的,和 B 树十分像,只不过他会在叶子节点中找到目标,比如我们找兔:

第一步比马小,就会查找他的子树,第二部比龙小,就会查找他的子树,最后在叶子节点中的关键字命中目标。

那么 MySql 是如何利用这数据结构的呢?

MySql 中的两种常见存储引擎

MySql 当然不止两种搜索引擎了,但是本次我们说的 B + 树索引,为接下来这两种存储引擎所用,一个是 Innodb,一个 Myisam。

Innodb 存储引擎

Innodb 使用的是 B + 树,他存在有一个主键索引和辅助索引两种索引,主键索引是在生成主键时就有的索引,他的叶子节点中存放的就是数据行,所以又称之为聚集索引。

而另一类索引,辅助索引,就是我们人为新建的索引,他的叶子节点中存放的是主键,当我们通过辅助索引查找到主键之后,再通过查找的主键去查找主键索引,我们看看两种索引的结构吧:

img

innodb 主索引,其中叶子中存放的就是数据行

img

innodb 辅助索引,其中叶子存放的是主键

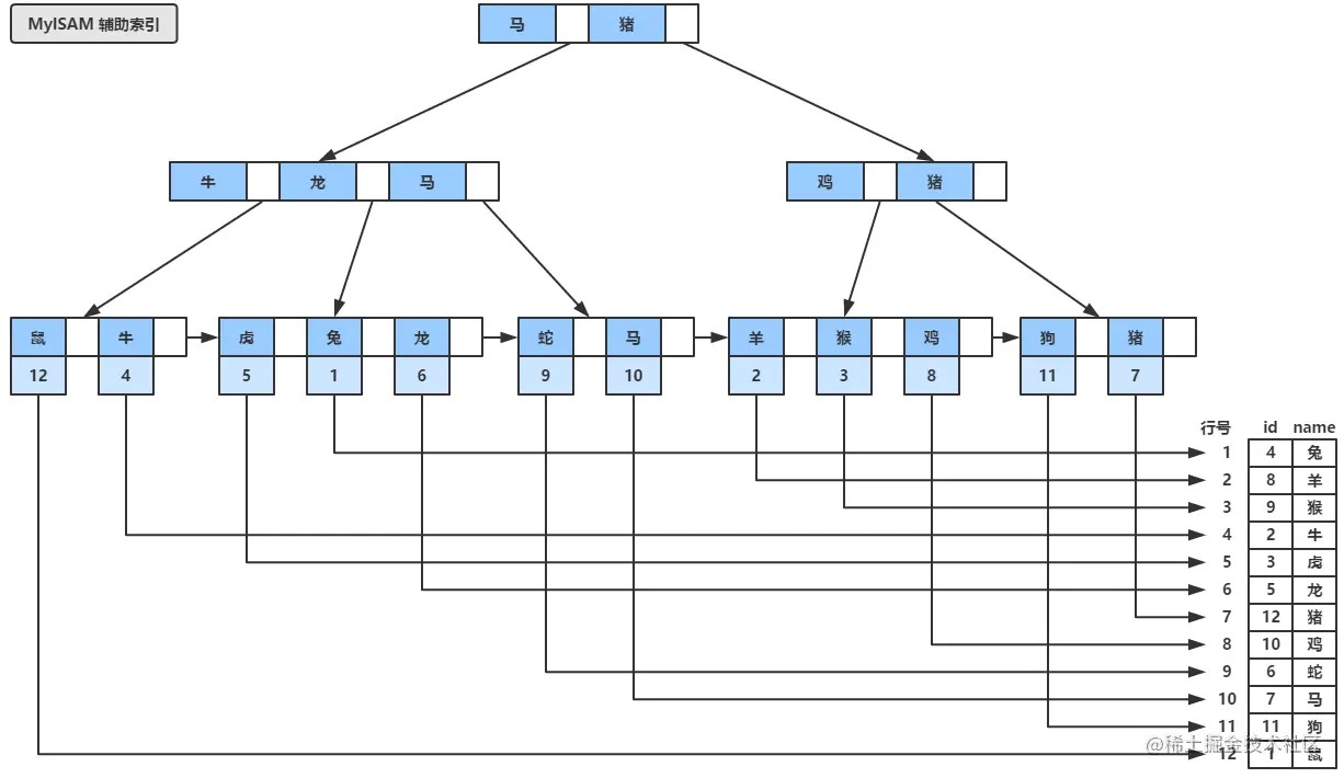
MyIsam 存储引擎

很显然,MyIsam 不可能再会用聚集索引了,虽然他用的是 B + 树,但是他的主键索引和辅助索引没有任何区别,都是在叶子中存储数据行的物理地址,这也使得他的读性能更高,我们来看他的模型吧:

img

MyIsam 存储引擎的主键索引

img

MyIsam 存储引擎的辅助索引,存放的同样是物理地址

区别

1、innodb 支持事务,且默认是 Autocommit,所以每一条 SQL 语句都会封装成一个事务,如果执行多条事务,最好加上 begin 和 commit。MyIsam 不支持事务,也就无法回滚;

2、另外 Innodb 支持行锁,MyIsam 进行写操作会全表上锁,所以 MyIsam 的写操作性能会差些;

3、所以,在查询较多的表中,使用 MyIsam 较优,写比较多的表,使用 Innodb;

拓展 -- 复合索引

我们都知道我们可以对一个列创建一个索引,但是什么是复合索引呢?

创建:

create table test(
a int,
b int,
c int,
KEY a(a,b,c)
);

通过以上代码我们就可以创建一个 a、b、c 三个字段的复合索引了,相对于维护三个索引,维护一个复合索引的开销肯定是更低的。

但是复合索引需要满足一个最左匹配原则,也就是他会依次查找 a、b、c 三个字段,当左边的字段未作为判断条件时,就不会再去执行接下来的索引了,测试如下:

EXPLAIN DELETE from test
where  a=1 and c= 3 and b =2 

img

当 a、b、c 都有的时候,他会继续去匹配右边的字段

EXPLAIN DELETE from test
where  a=1 and c= 3 

img

当去除 b 时,发现复合索引只匹配到 a 就结束了,并不会匹配 c