树结构系列(一):从普通树到二叉查找树

273 阅读7分钟

文章首发于「陈树义」公众号及个人博客 shuyi.tech

树结构是数据结构中非常重要的一种类型,本文将从最基础的普通树结构入门,延伸到二叉树,再延伸至二叉查找树。通过这种思路,让大家构建起关于树的最基本的知识链路。

普通树

树是一种非线性数据结构,它是数据元素按分支关系组织起来的结构,很像自然界中的树那样。

关于树的官方定义是:一棵树是由 N(N>0)个元素组成的有限集合,其中:

  1. 每个元素称为结点(node)。
  2. 有一个特定的结点,称为根结点或根(root)。
  3. 除根结点外,其余结点被分成 m(m>=0)个互不相交的有限集合,而每个子集又都是一棵树(称为原树的子树)。

关于树有几个重要的概念,这里简单做下介绍:

度即节点的分支数,例如上图树中节点 A 有三个子节点,那么我们称节点 A 的度是 3。

  • 层次

节点的层次,表示节点在书中的位置。根结点的层次为 1,其他结点的层次等于它的父结点的层次数加 1。例如上图中节点 F 的层次为 3。

  • 深度

树的深度,即组成该树各节点的最大层次。例如上图中节点的最大层次为 K/L/M,那么树的深度就为 K/L/M 任何一个的层次,即树的深度为 4。

  • 路径

对于一棵子树中的任意两个不同的结点,如果从一个结点出发,按层次自上而下沿着一个个树枝能到达另一结点,称它们之间存在着一条路径。可用路径所经过的结点序列表示路径,路径的长度等于路径上的结点个数减 1。

例如上图中 A 到 L 的路径为:A > B > E > L,其路径结点个数为 4,那么其长度为 3。

二叉树

二叉树其实就是在普通树的基础上,加上了对树的度限制,即每个节点最多只能有两个子节点。 二叉树有五种基本的形态:

1、空二叉树 —— 如图 a 所示。 2、只有一个根结点的二叉树 —— 如图 b 所示。 3、只有左子树 —— 如图 c 所示。 4、只有右子树 —— 如图 d 所示。 5、完全二叉树 —— 如图 e 所示。

二叉树是一种简单且重要的树,许多其他类型的树都建立在二叉树的基础之上。根据叶子节点的不同情形,我们可以将二叉树再细分为:完满二叉树、完全二叉树、满二叉树。

完满二叉树,指的是所有非叶子节点的度都是 2(只有你有孩子,你必然有两个孩子)。

完全二叉树,指的是深度为 k,有 n 个结点的二叉树当且仅当其每一个结点都与深度为 k 的满二叉树中编号从 1 到 n 的结点一一对应。简单地说,完全二叉树是满二叉树的一个子集。简单地说,完全二叉树就是非叶子节点都有两个子节点,并且必须是从左到右、从上到下的顺序。

完全二叉树

满二叉树,指的是一棵二叉树只有度为 0 的结点和度为 2 的结点,并且度为 0 的结点在同一层上,则这棵二叉树为满二叉树。 简单地说,就是所有叶子节点都在同一个层上,每一层都铺满了节点。

满二叉树

二叉查找树

上面学了那么多树结构的知识,但都没有实际应用,只能说是在打基础,了解基本概念。而二叉查找树可以说是一个非常实用的数据结构,可以用来快速查找元素。

二叉查找树(Binary Search Tree,BST),有些称其为二叉排序树,其平均查找效率为 O(logN),最差查找效率为 O(N)(退化为链表)。而其能实现如此快速的查找速度,主要是其对于数据存储顺序的限制。

二叉查找树的定义为:

  1. 若左子树不空,则左子树上所有结点的值均小于它的根结点的值。
  2. 若右子树不空,则右子树上所有结点的值均大于它的根结点的值。
  3. 左、右子树也分别为二叉排序树
  4. 没有键值相等的结点

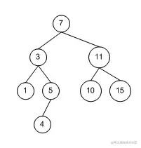
根据上面二叉查找树的定义,我们不难画出下面的二叉查找树。可以看到根节点的 7 元素,大于左边的 3 元素,小于右边的 11 元素。而左右子树 3、11 也同样符合这样的规律。

根据这样的元素排序,要查找一个元素最多只需要查找树的深度次数就够了。例如要查找元素 5,那么我们的查找路径是:7 > 3 > 5,只需要查找 3 次。而如果要查找 4,那么我们的查找路径是:7 > 3 > 5 > 4,只需要查找 4 次。根据二叉树的深度与节点数量的关系,我们就可以算出二叉查找树的深度为 O(LogN),即二叉查找树的时间复杂度为 O(LogN)。

二叉查找树在查询方面的效率提升是巨大的,比起链表来说提升了几万倍。特别是在数据量不断增大的情况下,其提升性能更加恐怖。例如我们有 1 亿个元素,如果使用链表存储,那么其平均需要比较 5000 万次。而使用二叉查找树存储,我们只需要比较 27 次就可以了。5000 万次与 27 次想比较,相差了 185 万倍!

但二叉查找树也有一个问题,即它在极端情况下会退化成链表。例如我们有这样一组数字:30、20、10、1,它们组成二叉查找树之后就会退化成普通链表。

那么如何弥补二叉查找树的这个缺陷呢?这就涉及到了树的平衡这个概念。根据树平衡这个思路,先贤们又创造出了平衡二叉树这个概念,创造出了 AVL 树、红黑树等经典的数据结构。我们下回继续聊平衡二叉树。

总结

今天我们介绍了普通树结构,以及其相关的基础概念。接着我们介绍了非常基础的二叉树结构,接着将其扩展到完满二叉树、完全二叉树、满二叉树。最后,介绍了二叉查找树结构,以及存在的问题。从今天的文章中,我们可以得出一些结论:

  • 二叉树是特殊的树结构,表示其最多只有两个节点。
  • 完满二叉树是非叶子节点都有 2 个节点的二叉树。
  • 完全二叉树是在完满二叉树的基础上,加上左右到有、从上到下都有节点的限制。
  • 满二叉树是是在完全二叉树的基础上,加上每层的节点都是满的这个限制。
  • 二叉查找树能实现 O(logN)的时间复杂度查找,但是会有退化成链表的风险。

到目前为止,我们将学习到的的树结构搭建起来,可以画出如下的树结构大道。

参考资料