跟我学丨如何用鲲鹏服务器搭建Hadoop全分布式集群

462 阅读12分钟

摘要:今天教大家如何利用鲲鹏服务器搭建Hadoop全分布式集群,动起来···

本文分享自华为云社区《利用鲲鹏服务器快速搭建一个Hadoop全分布式集群笔记分享》,原文作者:Jack20。

一、Hadoop常见的三种运行模式

1、单机模式(独立模式)(Local或Standalone Mode)

默认情况下Hadoop就是处于该模式,用于开发和调式。不对配置文件进行修改。使用本地文件系统,而不是分布式文件系统。

Hadoop不会启动NameNode、DataNode、JobTracker、TaskTracker等守护进程,Map()和Reduce()任务作为同一个进程的不同部分来执行的。

用于对MapReduce程序的逻辑进行调试,确保程序的正确。

2、伪分布式模式(Pseudo-Distrubuted Mode)

Hadoop的守护进程运行在本机机器,模拟一个小规模的集群,在一台主机模拟多主机。

Hadoop启动NameNode、DataNode、JobTracker、TaskTracker这些守护进程都在同一台机器上运行,是相互独立的Java进程。

在这种模式下,Hadoop使用的是分布式文件系统,各个作业也是由JobTraker服务,来管理的独立进程。在单机模式之上增加了代码调试功能,允许检查内存使用情况,HDFS输入输出,以及其他的守护进程交互。类似于完全分布式模式,因此,这种模式常用来开发测试Hadoop程序的执行是否正确。

3、全分布式集群模式(Full-Distributed Mode)

Hadoop的守护进程运行在一个集群上 Hadoop的守护进程运行在由多台主机搭建的集群上,是真正的生产环境。

  1. 下载并解压Hadoop、JDK安装包并配置好环境变量、节点域名解析、防火墙、端口等组成相互连通的网络。
  2. 进入Hadoop的解压目录,编辑hadoop-env.sh文件(注意不同版本后配置文件的位置有所变化)
  3. 编辑Hadoop中配置文件core-site.xml(Hadoop集群的特性,作用于全部进程及客户端)、hdfs-site.xml(配置HDFS集群的工作属性)、mapred-site.xml(配置MapReduce集群的属性)、yarn-site.xml四个核心配置文件
  4. 配置ssh,生成密钥,使到ssh可以免密码连接localhost,把各从节点生成的公钥添加到主节点的信任列表。
  5. 格式化HDFS后 使用./start-all.sh启动Hadoop集群

二、Hadoop常见组件

Hadoop由HDFS、Yarn、Mapreduce三个核心模块组成,分别负责分布式存储、资源分配和管理、分布式计算。

1、Hadoop-HDFS模块

  1. HDFS:是一种分布式存储系统,采用Master和Slave的主从结构,主要由NameNode和DataNode组成。HDFS会将文件按固定大小切成若干块,分布式存储在所有DataNode中,每个文件块可以有多个副本,默认副本数为3。
  2. NameNode: Master节点,负责元数据的管理,处理客户端请求。
  3. DataNode: Slave节点,负责数据的存储和读写操作。

2、Hadoop-Yarn模块

  1. Yarn:是一种分布式资源调度框架,采用Master和Slave的主从结构,主要由ResourceManager . ApplicationMaster和NodeManager组成,负责整个集群的资源管理和调度。
  2. ResourceManager:是一个全局的资源管理器,负责整个集群的资源管理和分配。
  3. ApplicationMaster:当用户提交应用程序时启动,负责向ResourceManager申请资源和应用程序的管理。
  4. NodeManager:运行在Slave节点,负责该节点的资源管理和使用。
  5. Container: Yarn的资源抽象,是执行具体应用的基本单位,任何一个Job或应用程序必须运行在一个或多个Container中。

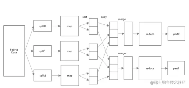
3、Hadoop-Mapreduce模块

  1. Mapreduce:是一种分布式计算框架,主要由Map和Reduce两个阶段组成。支持将一个计算任务划分为多个子任务,分散到各集群节点并行计算。
  2. Map阶段:将初始数据分成多份,由多个map任务并行处理。
  3. Reduce阶段:收集多个Map任务的输出结果并进行合并,最终形成一个文件作为reduce阶段的结果。

全分布式集群模式(Full-Distributed Mode)搭建

【基本环境】

三台鲲鹏km1.2xlarge.8内存优化型 8vCPUs | 64GB CentOS 7.6 64bit with ARM CPU:Huawei Kunpeng 920 2.6GHz

其中jack20节点作为NameNode, Node1、 Node2作为DataNode,而Node1也作为辅助NameNode ( Secondary NameNode )。

【基本流程】

  1. 下载并解压Hadoop、JDK安装包并配置好环境变量、节点域名解析、防火墙、端口
  2. 进入Hadoop的解压目录,编辑hadoop-env.sh文件(注意不同版本后配置文件的位置有所变化)
  3. 编辑Hadoop中配置文件core-site.xml、hdfs-site.xml、mapred-site.xml、yarn-site.xml四个核心配置文件
  4. 配置ssh,生成密钥,使到ssh可以免密码连接localhost
  5. 格式化HDFS后 使用./start-all.sh启动Hadoop集群

关闭防火墙和selinux

(1)各个节点都执行命令关闭防火墙:

systemctl stop firewalld
systemctl disable firewalld
systemctl status firewalld

(2)关闭selinux

进入selinux的config文件,将selinux原来的强制模式(enforcing)修改为关闭模式(disabled)

setenforce 0getenforce
sed -i 's#SELINUX=enforcing#SELINUX=disabled#g' /etc/sysconfig/selinux
grep SELINUX=disabled /etc/sysconfig/selinux
cat /etc/sysconfig/selinux

1.安装openJDK-1.8.0

1.1. 下载安装openJDK-1.8.0

下载openJDK-1.8.0并安装到指定目录(如“/home”)。

进入目录:

cd /home

下载openJDK-1.8.0并安装:

wget https://sandbox-experiment-resource-north-4.obs.cn-north-4.myhuaweicloud.com/hadoop-performance-tuning/OpenJDK8U-jdk_aarch64_linux_hotspot_8u252b09.tar.gz
#解压
tar -zxf OpenJDK8U-jdk_aarch64_linux_hotspot_8u252b09.tar.gz

1.2. 配置环境变量

执行如下命令,打开/etc/profile文件:

vim /etc/profile

点击键盘"Shift+g"移动光标至文件末尾,单击键盘“i”键进入编辑模式,在代码末尾回车下一行,添加如下内容:

下一行,添加如下内容:

export JAVA_HOME=/home/jdk8u252-b09
export PATH=$JAVA_HOME/bin:$PATH
export CLASSPATH=.:$JAVA_HOME/lib/dt.jar:$JAVA_HOME/lib/tools.jar

添加完成,单击键盘ESC退出编辑,键入“:wq”回车保存并退出。

1.3. 环境变量生效

使环境变量生效:

source /etc/profile

验证openJDK-1.8.0安装是否成功:

java -version

1.4.配置域名解析

vim /etc/hosts

2.安装dstat资源监控工具

yum install dstat-0.7.2-12.el7 -y

验证dstat是否安装成功:

dstat -V

3. 部署hadoop-3.1.1

3. 1. 获取hadoop-3.1.1软件包

①下载hadoop-3.1.1安装包到/home目录下:

cd /home
wget https://sandbox-experiment-resource-north-4.obs.cn-north-4.myhuaweicloud.com/hadoop-performance-tuning/hadoop-3.1.1.tar.gz
#解压hadoop-3.1.1
tar -zxvf hadoop-3.1.1.tar.gz

②建立软链接

ln -s hadoop-3.1.1 hadoop

③配置hadoop环境变量,打开/etc/profile文件:

vim /etc/profile

点击键盘"Shift+g"移动光标至文件末尾,单击键盘“i”键进入编辑模式,在代码末尾回车下一行,添加如下内容:

export HADOOP_HOME=/home/hadoop
export PATH=$HADOOP_HOME/bin:$PATH

添加完成,单击键盘ESC退出编辑,键入“:wq”回车保存并退出。

④使环境变量生效:

source /etc/profile

⑤验证hadoop安装是否成功:

hadoop version

执行结果如下图所示,表示安装成功:

3.2. 修改hadoop配置文件

hadoop所有的配置文件都在HADOOP_HOME/etc/hadoop目录下,修改以下配置文件前,需要切换到"HADOOP\_HOME/etc/hadoop目录下,修改以下配置文件前,需要切换到"HADOOP_HOME/etc/hadoop"目录。

cd $HADOOP_HOME/etc/hadoop/

①修改hdfs-env.xml

打开hadoop-env.sh文件:

vim hadoop-env.sh

找到hadoop-env.sh的第54行中的java目录(在命令模式下输入“:set nu”,查看行数),输入java的安装目录(),然后删除行左端“#”取消注释,并保存退出

② 修改core-site.xml

打开core-site.xml文件

vim core-site.xml

在标签之间添加如下代码并保存退出

    <property>
        <name>fs.defaultFS</name>
        <value>hdfs://jack20:9000/</value>
        <description> 设定NameNode的主机名及端口</description>
    </property>

    <property>
        <name>hadoop.tmp.dir</name>
        <value>/home/hadoop/tmp/hadoop-${user.name}</value>
        <description>指定hadoop 存储临时文件的目录 </description>
    </property> 
 
    <property>
        <name>hadoop.proxyuser.hadoop.hosts</name>
        <value>*</value>
        <description>配置该superUser允许通过代理的用户 </description>
    </property>

    <property>
        <name>hadoop.proxyuser.hadoop.groups</name>
        <value>*</value>
        <description>配置该superUser允许通过代理用户所属组 </description>
    </property>

③ 修改hdfs-site.xml,

打开hdfs-site.xml文件

vim hdfs-site.xml

在标签之间添加如下代码并保存退出

    <property>  
        <name>dfs.namenode.http-address</name>  
        <value>jack20:50070</value>  
        <description> NameNode 地址和端口 </description>  
    </property>
 
    <property>  
        <name>dfs.namenode.secondary.http-address</name>  
        <value>node1:50090</value>  
        <description> Secondary NameNode地址和端口 </description>  
    </property> 
 
    <property>
        <name>dfs.replication</name>
        <value>3</value>
        <description> 设定 HDFS 存储文件的副本个数,默认为3 </description>
    </property>
 
    <property>  
        <name>dfs.namenode.name.dir</name>  
        <value>file:///home/hadoop/hadoop3.1/hdfs/name</value>  
               <description> NameNode用来持续存储命名空间和交换日志的本地文件系统路径</description>  
    </property>  

    <property>  
        <name>dfs.datanode.data.dir</name>  
        <value>file:///home/hadoop/hadoop3.1/hdfs/data</value>  
               <description> DataNode在本地存储块文件的目录列表</description>  
    </property> 

    <property>  
        <name>dfs.namenode.checkpoint.dir</name>  
        <value>file:///home/hadoop/hadoop3.1/hdfs/namesecondary</value>  
        <description> 设置 Secondary NameNode存储临时镜像的本地文件系统路径。如果这是一个用逗号分隔的文件列表,则镜像将会冗余复制到所有目录
        </description>  
    </property> 
 
    <property>
        <name>dfs.webhdfs.enabled</name>
        <value>true</value>
        <description>是否允许网页浏览HDFS文件</description>
    </property>

    <property>
        <name>dfs.stream-buffer-size</name>
        <value>1048576</value>
        <description> 默认是4 KB,作为Hadoop缓冲区,用于Hadoop读HDFS的文件和写HDFS的文件,
                      还有map的输出都用到了这个缓冲区容量(如果太大了map和reduce任务可能会内存溢出)   
        </description>
    </property> 

④修改mapred-site.xml

打开mapred-site.xml文件:

vim mapred-site.xml

在标签之间添加如下代码并保存退出

    <property>
        <name>mapreduce.framework.name</name>
        <value>yarn</value>
        <description> 指定MapReduce程序运行在Yarn上 </description>  
    </property>

    <property>
        <name>mapreduce.jobhistory.address</name>
        <value>jack20:10020</value>
        <description> 指定历史服务器端地址和端口 </description>
    </property>
 
    <property>
        <name>mapreduce.jobhistory.webapp.address</name>
        <value>jack20:19888</value>
        <description> 历史服务器web端地址和端口</description>
    </property>

    <property>
          <name>mapreduce.application.classpath</name>
          <value>
           /home/hadoop/etc/hadoop,
           /home/hadoop/share/hadoop/common/*,
           /home/hadoop/share/hadoop/common/lib/*,
           /home/hadoop/share/hadoop/hdfs/*,
           /home/hadoop/share/hadoop/hdfs/lib/*,
           /home/hadoop/share/hadoop/mapreduce/*,
           /home/hadoop/share/hadoop/mapreduce/lib/*,
           /home/hadoop/share/hadoop/yarn/*,
           /home/hadoop/share/hadoop/yarn/lib/*
          </value>
     </property>

    <property>
        <name>mapreduce.map.memory.mb</name>
        <value>6144</value>
        <description> map container配置的内存的大小(调整到合适大小防止物理内存溢出)</description>
    </property>

    <property>
        <name>mapreduce.reduce.memory.mb</name>
        <value>6144</value>
        <description> reduce container配置的内存的大小(调整到合适大小防止物理内存溢出)</description>
    </property>

    <property>
        <name>yarn.app.mapreduce.am.env</name>
        <value>HADOOP_MAPRED_HOME=/home/hadoop</value>
    </property>

    <property>
        <name>mapreduce.map.env</name>
        <value>HADOOP_MAPRED_HOME=/home/hadoop</value>
    </property>

    <property>
        <name>mapreduce.reduce.env</name>
        <value>HADOOP_MAPRED_HOME=/home/hadoop</value>
    </property>

⑤修改yarn-site.xml

打开yarn-site.xml文件:

vim yarn-site.xml

在标签之间添加如下代码并保存退出

    <property>
        <name>yarn.resourcemanager.hostname</name>
        <value>jack20</value>
        <description> 指定ResourceManager的主机名</description>
    </property>

    <property>
        <name>yarn.nodemanager.resource.memory-mb</name>
        <value>53248</value>
        <description> NodeManager总的可用物理内存。
                               注意:该参数是不可修改的,一旦设置,整个运行过程中不可动态修改。
                               该参数的默认值是8192MB,即使你的机器内存不够8192MB,YARN也会按照这些内存来使用,
                               因此,这个值通过一定要配置。
        </description>
     </property>
 
    <property>
        <name>yarn.nodemanager.aux-services</name>
        <value>mapreduce_shuffle</value>
        <description> 指定MapReduce走shuffle</description>
    </property>
 
    <property>
        <name>yarn.nodemanager.aux-services.mapreduce.shuffle.class</name>
        <value>org.apache.hadoop.mapred.ShuffleHandler</value>
    </property>
 
    <property>
        <name>yarn.resourcemanager.address</name>
        <value>jack20:8032</value>
        <description> 指定ResourceManager对客户端暴露的地址和端口,客户端通过该地址向RM提交应用程序,杀死应用程序等</description>
    </property>
 
    <property>
        <name>yarn.resourcemanager.scheduler.address</name>
        <value>jack20:8030</value>
        <description> 指定ResourceManager对ApplicationMaster暴露的访问地址。ApplicationMaster通过该地址向RM申请资源、释放资源等</description>
    </property>
 
    <property>
        <name>yarn.resourcemanager.resource-tracker.address</name>
        <value>jack20:8031</value>
        <description> 指定ResourceManager对NodeManager暴露的地址。NodeManager通过该地址向RM汇报心跳,领取任务等</description>
    </property>
 
    <property>
        <name>yarn.resourcemanager.admin.address</name>
        <value>jack20:8033</value>
        <description> 指定ResourceManager 对管理员暴露的访问地址。管理员通过该地址向RM发送管理命令等</description>
    </property>
 
    <property>
        <name>yarn.resourcemanager.webapp.address</name>
        <value>jack20:8088</value>
        <description> 指定ResourceManager对外web UI地址。用户可通过该地址在浏览器中查看集群各类信息</description>
    </property>

    <property>
        <name>yarn.log-aggregation-enable</name>
        <value>true</value>
        <description> 开启日志聚集功能</description>
    </property>

    <property>  
        <name>yarn.log.server.url</name>  
        <value>http://jack20:19888/jobhistory/logs</value>
        <description> 设置日志聚集服务器地址</description>
    </property>

    <property>
        <name>yarn.log-aggregation.retain-seconds</name>
        <value>604800</value>
        <description> 设置日志保留时间为7天</description>
    </property>

⑥将各个节点加入到workers

echo jack20 > workers
echo node1 > workers
echo node2 > workers

⑦修改dfs和yarn的启动脚本,添加root用户权限

(1)打开start-dfs.sh和stop-dfs.sh文件:

vim /home/hadoop/sbin/start-dfs.sh
vim /home/hadoop/sbin/stop-dfs.sh

单击键盘“i”键进入编辑模式,在两个配置文件的第一行添加并保存退出:

HDFS_DATANODE_USER=root
HDFS_DATANODE_SECURE_USER=hdfs
HDFS_NAMENODE_USER=root
HDFS_SECONDARYNAMENODE_USER=root

(2)打开start-yarn.sh 和 stop-yarn.sh文件

vim /home/hadoop/sbin/start-yarn.sh
vim /home/hadoop/sbin/stop-yarn.sh

单击键盘“i”键进入编辑模式,在两个配置文件的第一行添加并保存退出:

YARN_RESOURCEMANAGER_USER=root
HADOOP_SECURE_DN_USER=yarn
YARN_NODEMANAGER_USER=root

4.集群配置&节点间免密登录

(1)连通性测试

(2)从主节点同步各个节点域名解析文件

scp /etc/hosts node1:/etc/hosts
scp /etc/hosts node2:/etc/hosts

(3) 配置各节点间SSH免密登录

分别在三台服务器中输入命令生成私钥和公钥(提示输入时按回车即可):

ssh-keygen -t rsa

jack20:

node1:

node2:

然后分别在三台服务器上输入命令以复制公钥到服务器中:

ssh-copy-id -i ~/.ssh/id_rsa.pub root@jack20
ssh-copy-id -i ~/.ssh/id_rsa.pub root@node1
ssh-copy-id -i ~/.ssh/id_rsa.pub root@node2

①继续连接:输入“yes”回车;
②输入密码(输入密码时,命令行窗口不会显示密码,输完之后直接回车)

查看所有协商的秘钥

SSH免密登录测试:

Jack20->node1->node2->jack20->node2->node1->jack20

(4) 复制hadoop到各datanode并修改

把jack20的hadoop目录、jdk目录、/etc/hosts、/etc/profile复制到node1,node2节点

cd $HADOOP_HOME/..
#hadoop目录
scp -r hadoop node1:/home
scp -r hadoop node2:/home
#java目录
scp -r jdk8u252-b09 node1:/home
scp -r jdk8u252-b09 node2:/home

登录修改各服务器java和haoop环境变量

vim /etc/profile

点击键盘"Shift+g"移动光标至文件末尾,单击键盘“i”键进入编辑模式,在代码末尾回车下一行,添加如下内容并保存退出:

export JAVA_HOME=/home/jdk8u252-b09
export PATH=$JAVA_HOME/bin:$PATH
export CLASSPATH=.:$JAVA_HOME/lib/dt.jar:$JAVA_HOME/lib/tools.jar
export HADOOP_HOME=/home/hadoop
export PATH=$HADOOP_HOME/bin:$PATH

使环境变量生效:

source /etc/profile

5.启动hadoop

**注意:**如果启动报错,请检查hadoop配置文件是否配置有误。

第一次启动前一定要格式化HDFS:

hdfs namenode -format

**注意:**提示信息的倒数第2行出现“>= 0”表示格式化成功,如图。在Linux中,0表示成功,1表示失败。因此,如果返回“1”,就应该好好分析前面的错误提示信息,一 般来说是前面配置文件和hosts文件的问题,修改后同步到其他节点上以保持相同环境,再接着执行格式化操作

执行脚本命令群起节点

cd /home/hadoop/sbin
#群起节点
./start-all.sh

启动HDFS后,可以发现jack20节点作为NameNode, Node1、 Node2作为DataNode,而Node1也作为辅助NameNode ( Secondary NameNode )。可以通过jps命令在各节点上验证HDFS是否启动。jps 也是Windows中的命令,表示开启的Java进程如果出现下图所示的结果,就表示验证成功。

客户端Web访问测试:

(1)RMwebUI界面http://IP:8088

(2)NameNode的webUI界面http://IP:50070

6.集群基准测试

(1)使用Hadoop自带的WordCount例子/share/Hadoop/mapredu icehadoop-mapreduce-examples-3.1.1.jar验证集群

#创建目录,目录/data/wordcount用来存储Hadoop自带的WordCount例子的数据文件,运行这个MapReduce任务的结果输出到目录中的/output/wordcount文件中
hdfs dfs -mkdir -p /data/wordcount
hdfs dfs -mkdir -p /output/
 
#将本地文件上传到HDFS中(这里上传一个配置文件),执行如下命令
hdfs dfs -put /home/hadoop/etc/hadoop/core-site.xml /data/wordcount

可以查看,上传后的文件情况,执行如下命令

hdfs dfs -ls /data/wordcount

下面运行WordCount案例,执行如下命令

hadoop jar /home/hadoop/share/hadoop/mapreduce/hadoop-mapreduce-examples-3.1.1.jar wordcount /data/wordcount /output/wordcount

(2)DFSIO测试

使用hadoop的DFSIO写入50个文件,每个文件1000M

hadoop jar /home/hadoop/share/hadoop/mapreduce/hadoop-mapreduce-client-jobclient-3.1.1-tests.jar TestDFSIO -write -nrFiles 50 -filesize 1000

可以在RMwebUI界面查看当前任务的基本情况,包括内存使用量,CPU使用量等

在NameNode的webUI界面查看刚刚DFSIO测试的各个节点HDFS占用情况

(3)计算圆周率的大小

hadoop jar /home/hadoop/share/hadoop/mapreduce/hadoop-mapreduce-client-jobclient-3.1.1-tests.jar pi 20 20

静静等待结果就可以~

点击关注,第一时间了解华为云新鲜技术~