第6章 项目进度管理

513 阅读8分钟

一 序

 本文属于pmp学习系列笔记。本篇属于光环国际 培训讲义第六章。

本章有6大过程。本章节视频共有24个。

6.0 理解项目进度管理

进度管理概念

  项目进度管理的目标是”使项目按时完成“。

时间的特点:1时间不等人,2 投入有上限 3 对谁都公平。

本章6个过程:6.1 规划进度管理(制定时间单位)

6.2 定义活动(就是WBS最低级工作包的继续细化)

6.3 排列活动的优先级(理清先后顺序)

6.4 估算活动持续时间(计算多)

6.5 指定进度计划(真正的进度计划)

6.6 控制进度。

2.0敏捷新增看板动画:核心实践

1. 可视化

2.限制在制品(WIP)

3.管理和度量流动。

4 显示化流程规则。

5.建立反馈环路。

6.协作式改进。

具有未完项的迭代进度计划。

敏捷开发常用,老师举例了超市的樱桃分包,就是从待办事项根据优先级挑选用户故事完成。

待办事项可能的情况(1已定义没迭代的用户故事,2 随时加入的新的用户故事,3迭代中为开发完或者未通过评审的用户故事)

敏捷发布计划

 

敏捷发布列车

6.1 规划进度管理

老师没讲。

包含计量单位和准确度等

6.2 定义活动

滚动式开发

滚动式开发是一种迭代式规划计划,即详细规划近期要完成的工作,同时在较高层次上粗略规划远期工作。

它是一种渐进明细的规划方式。

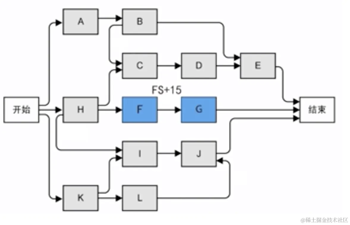
6.3 排列活动顺序

 紧前关系绘图法(PDM)中的四种逻辑关系

FS(Finish-start) SS (start-start)FF(Finish-Finish),SF(start_finish)

活动之间的依赖关系

内部依赖--外部依赖

强制依赖--选择性依赖

滞后量(LAG)和提前量(LEAD )

滞后量 :FS+xx  给项目留出弹性

提前量:FS-xx 压缩工期

紧前关系绘图法(前导图 PDM)

6.4 估算活动持续时间

估算活动持续时间是根据资源估算的结果,估算完成单项活动所需工作时间的过程。

学习曲线

边际收益递减规律

不是越多越好。OFO就是反例

资源日历

知道资源的具体安排,才能更好的评估工作排期。

估算活动持续时间的方法

专家判断:可能存在偏差,甚至失误

类比估算:粗略,准确度不高

参数估算:依赖于模型成熟度及参数准确性。

三点估算

知道乐观O,最可能:M,悲观:P 三个持续时间,使用概率分布均值(期望值T)公式计算。

T= (O+4M+P)/6

期望是60分钟,成功概率50%,为了提高成功率,需要留出安全时间,也就是俗称的buffer。

项目管理:时间储备。

标准差 σ=(P-O)/6

三角估算

正态分布

记住:β分布三点法,正态分布的3个比率是考试重点。

自下而上估算

基于项目wbs工作分解结构,优点:准确可靠,缺点:成本高。

五种常用估算方法的对比

类比估算:适应面高,从细到粗。

参数估算:是个大颗粒度

专家判断:适合小颗粒度

三点估算:适应面也广,

自下而上方法:可以理解为前面4种的汇总结合,适合大项目。

储备分析

应急储备:时间储备、缓冲时间,安全时间

作用:应对项目进度方面的不确定性(风险)

风险可以分为已知风险、未知风险。未知风险分为已知-未知风险,和未知-未知风险。

已知-未知风险(对于风险的概率、影响不知道):多备份、打出提前量、有备选方案。

未知-未知风险:老师举例飞机失事例子,分开乘坐不同航班。降低风险。

关键路径法

要理解格子的内容对应含义,其中TF=LF-EF或者LS-ES。

1 推荐用刻度法(从0开始计算)

2 正推来计算表格上面的一行最早开始时间-最早结束时间 ,逆推来计算表格下面一行:最晚开始时间-最晚结束时间。

把浮动时间为0的,标记出来,连起来就是关键路径。

但是关键路径的浮动时间可能<0(前后挤压工期可能出现),或者浮动时间>0(留buffer,也加载关键路径上).

关于关键路径的表述:代表了7类考题

资源优化

资源平衡(解决资源冲突),到来关键路径改变,通常会延长工期。

资源平滑:解决波动问题,通常活动只在浮动时间内延迟,不会延长工期。

进度压缩技术

快速跟进,代价:返工的风险

赶工: 代价:钱

里程碑计划

横道图(甘特图)

黑色的横道叫做摘要任务,可以用不同的颜色区分不同的层次。

横道图的优点:直观形象,缺点:不能体现出关键路径。

网络图

AON 4种关系包括:FS,SS,FF,SF.双代号网络图:仅有FS一种逻辑关系,其他需要依赖虚线表示。

考试是AON。美国人出题嘛。

时标网络图作为双代号网络图的一种延伸,加上了时间的坐标。实际常用考试不考,作为了解。

插播一条小广告:当我看到这里的时候,班班牛思琦老师说群里有第四章的题目快来做一下啊。还知道是我以前的错题再回来巩固,不放弃每一个学渣,真是负责任。

项目管理中三种浮动时间

1 自由浮动时间:在不影响后续工作最早开始时间的情况下,活动可以拖延的时间。(自己玩,不影响别人)

2. 在不影响项目总工期的前提下,活动可以拖延的总时间。(互相挪一挪,凑时间给延误的)

3. 项目浮动时间: 在项目排期的基础上,客户或者发起人多给的时间。

书上有图,这里不截图了。

关键链法

背景:拖延症,学生时代没治好的并带到工作了。作业总是拖到最后一天完成,工作也是,学pmp也是。

工作会自我膨胀,占满所有可用的时间-帕金森定律(还有这定律,不是帕金森综合征吗?)

因为三点估算法,β曲线是个长尾曲线,期望值只有50%成功概率,为了提高成功概率,增加的安全时间,再风险不发生的情况下,往往被浪费掉。为了改变这种情况,高德拉特提出关键链(CCM:Critical chain method),

在三点估算法没有安全时间的情况下,留出总的项目缓存,如下图所示:

路径汇聚风险:

1.再网络图中,路径汇聚点具有最大的进度风险。

2.如果安全时间不放在并行活动的最末端没他对减小路径汇聚风险没有作用。

杨述老师为了讲了电影票的故事,来区分关键路径法与关键链法。

把资源提前分配到活动中,项目经理自己没有应急储备的是关键链路法。

关键链法初衷为了避免分配的安全时间浪费掉,不给额外分配资源,所有资源都留在应急池中,哪个活动有特殊情况再来申请。

6.6 控制进度

燃尽图:

敏捷开发常用,蓝色是实际曲线,灰色是计划曲线。

本章要点

三点估算法(也叫pert 计划评审技术):会根据公式计算出期望值(50%的概率)

正态分布的三个百分比:1倍标准差占68.26%,2倍标准差占 95.46%,3倍标准差占99.73%。记后还得会计算。

活动之间的依赖关系4种:FS,SS,FF,SF.

2种压缩进度的方式及其代价:快速跟进(返工),赶工(资源)

关键路径法(CPM)参数计算:知道怎么含义,以级怎么计算,再管理有哪些启发:就是7类表述

自由浮动时间跟总浮动时间怎么算出来的

2种资源优化思想:资源平衡(导致工期延长)、资源平滑

储备分析:应急储备(项目经理)应对已知-未知风险,管理储备(高层管理者),应对未知-未知风险。

关键链法CCM:知道CCM与CPM原理上的差异。

*************************

知识点很多,又有计算。跟不上大部队的节奏啊

你是时间管理大师吗?喜欢的小伙伴们点个赞呗。