NLP学习笔记23-抽样

171 阅读5分钟

一 序

   本文属于贪心NLP训练营学习笔记系列。之前的Python基础以及numpy相关的内容,视频上是60--90的。还有一个关于Python做爬虫的。先跳过后面再看吧。

这一章不知道哪个老师讲的,PPT不是哪个标准的英文,类似手写体那种看着眼花,而且对于概率统计学这种术语很多的,我连名词都不懂。

二 抽样

抽样的目的:

  •  获取统计信息
  • 获取推断  
  • 可视化

任何概率都可以使用函数表示。

优点: 简单、通用

缺点: 很慢,难以获取“合适”的样本。

三 蒙特卡洛方法

采样方法是近似推断算法的核心,也被称为蒙特卡洛方法。采样方法的基本目标时求解某个函数f(x)  在某个特定的概率分布 P(x) 的期望值

E[f(x)]= \int f(x)P(x) dx

但是 x 的维度可能非常高,因此期望值往往时非常难求的。所以为了简化从概率分布 P(x) 采集N个点组成样本集合(值得注意的是,这些点的统计属性服从概率分布P(x))。

\hat{f}=\frac{1}{N} \sum_{1}^{N} f(x_i)

那么,问题就变成了如果我们能够非常容易的从P(x) 采样N个点,就能解决上面的期望。id 是表示采样点是独立的。ppt风格就是这种手写体,对于小白有些难。

蒙特卡洛方法优点是无偏的估计(求出的样本均值就是实际的概率分布)。

百科介绍无偏估计

无偏估计是用样本统计量来估计总体参数时的一种无偏推断。估计量的数学期望等于被估计参数的真实值,则称此估计量为被估计参数的无偏估计,即具有无偏性,是一种用于评价估计量优良性的准则。无偏估计的意义是:在多次重复下,它们的平均数接近所估计的参数真值。无偏估计常被应用于测验分数统计中。

这个吧,老师不跟李文哲老师那样手推公式,解释推导过程了。直接看不懂了。

关于蒙特卡洛的经典应用是计算\pi。老师给了**Mandelbrot集合 的例子。**

补充下分形有关数学背景知识:

Mandelbrot集合是一个复数c的集合,c由 z_{n+1}=z_{n}^2 + c公式在 z_0=0开始迭代而得到。

如 c = 0 时,显然数列永远是0,并不发散,因此 c = 0  不属于Mandelbrot集合.

在二维平面上,将所有不属于Mandelbrot集合的点标记为黑色,将所有属于Mandelbrot集合的点按照其发散速度赋予不同的颜色,就是上图的右上角哪个经典图片。

真正的理论推导式很复杂的,看看知乎上专门的数学博士研究这个方向的答复:www.zhihu.com/question/26…

上面截图,就是在一个(-2,2)的矩阵上求集合的的概率,套用上面的蒙特卡洛公式,就是黑色区域面积/矩形面积。

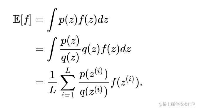
四 重要性采样 (importance sampling)

直接求期望值,而不是从p(z)中获取样本。直接将z分成很多小网格,然后计算

 

这个左侧是公平(fair)分布,右侧是有偏的分布1,2出现概率比较大。

截图右下角的数学公式:没有做手推,看的不是很清晰,明白的同学可以留言解释下。

找了知乎上一篇文章:zhuanlan.zhihu.com/p/62730810

这样计算是不准确的,精度随着网格精度的增加而增加。同时,求和的数量会随着变量z的维度而指数增加。并且,对于一个概率分布而言,往往只有z的一小部分区域p(z)取较大值,而大部分的z对于整个期望值都是无效的。我们猜测能不能重点关注概率取值大的点,而忽略取值小的点,这就是重要性采样的动机。

其中q(z)是标准分布,非常易于采样,样本点集合{z^1,z^2,...z^L },我们称 \frac{ p(z^i)}{q(z^i) } 为重要性权重。

五 负采样nagative sampling

  关于负采样,网上搜出来很多都是与word2vec有关的。(我又吐槽下老师也是不讲word2vec直接就说负采样,这里skip-gram 模型也是用中心词来预测上下文词)

word2vec它是庞大的神经网络,skip-gram 模型优化的策略有3点:

  • 1.把常见的词组作为一个单词。
  • 2.少采样常见的词 (比如:A the)
  • 3.修改优化目标函数,这个策略称之为“Negative Sampling(负采样) “,使得每个训练样本只去更新模型中一小部分的weights。

老师举例也是一样,截图中就是采样率公式的曲线。

这张片子完全不懂,其中苏神文章做了介绍,kexue.fm/archives/56… 

贴一个知乎解释:www.zhihu.com/question/50…

在概率参数估计中使用NCE,相当于是绕过了直接求归一化项这个难题,转而求解一个等效问题的参数估计(用采样方式替换掉原来的归一化常数)。将一个复杂问题转化成一个等价的可计算的简单问题

剩下的基础太差,完全听不懂了。给自己做个TODO。啥时候有基础了,再来整理。