使用 Node.js 实现蒙特卡洛树搜索

avatar
ZFE @ZFE

使用 Node.js 实现蒙特卡洛树搜索

11.jpg

本文是上一篇文章的后续,我会提供足够的背景知识,也顺便提一下这篇文章。要注意的是,本文的技术含量会比较高。本文所有代码都可以在 GitHub 仓库中找到。

与上一篇文章一样,本文也假设读者具备一定的计算机科学知识,尤其是数据结构中关于树结构的工作原理,还需要具备 JavaScript(ES6+)的中级知识。

本文的目标很简单:

实现蒙特卡洛树搜索(MCTS)算法来玩一个给定规则的游戏。

这整个过程将是指导性和实践性的,并且忽略掉性能优化的部分。我将会对链接的代码片段进行简要解释,希望你能跟上我的脚步并花一些时间理解代码中复杂难懂的部分。

让我们开始吧!

创建骨架文件

game.js 文件中:

/** 代表游戏棋盘的类。 */
class Game {

  /** 生成并返回游戏的初始状态。 */
  start() {
    // TODO
    return state
  }

  /** 返回当前玩家在给定状态下的合法移动。 */
  legalPlays(state) {
    // TODO
    return plays
  }

  /** 将给定的状态提前并返回。 */
  nextState(state, move) {
    // TODO
    return newState
  }

  /** 返回游戏的胜利者。 */
  winner(state) {
    // TODO
    return winner
  }
}

module.exports = Game

monte-carlo.js 文件中:

/** 表示蒙特卡洛树搜索的类。 */
class MonteCarlo {

  /** 从给定的状态中,反复运行 MCTS 来建立统计数据。 */
  runSearch(state, timeout) {
    // TODO
  }

  /** 从现有的统计数据中获取最佳的移动。 */
  bestPlay(state) {
    // TODO
    // return play
  }
}

module.exports = MonteCarlo

index.js 文件中:

const Game = require('./game.js')
const MonteCarlo = require('./monte-carlo.js')

let game = new Game()
let mcts = new MonteCarlo(game)

let state = game.start()
let winner = game.winner(state)

// 从初始状态开始轮流进行游戏,直到有玩家胜利为止
while (winner === null) {
  mcts.runSearch(state, 1)
  let play = mcts.bestPlay(state)
  state = game.nextState(state, play)
  winner = game.winner(state)
}

console.log(winner)

先花点时间梳理一下代码吧。在脑海中搭建一个子版块的脚手架,然后尝试去明白一下这个东西。这是一个思维上的检查点,先确保你明白它是如何组合在一起的,如果感到无法理解,就请留言吧,让我看看我能为你做些什么。

找到合适的游戏

在开发一个 MCTS 游戏智能体的背景下,我们可以把我们真正的程序看作是实现 MCTS 框架的代码,也就是 monte-carlo.js 文件中的代码。在 game.js 文件中的游戏专用代码是可以互换并且即插即用的,它是我们使用 MCTS 框架的接口。我们主要是想做 MCTS 背后的大脑,它应该真的能在任何游戏上运行。毕竟,我们感兴趣的是一般性的游戏玩法。

不过,为了测试我们的 MCTS 框架,我们需要选择一个特定的游戏,并使用该游戏运行我们的框架。我们希望看到 MCTS 框架在每个步骤中都做出对我们选择的游戏有意义的决策。

做一个井字游戏(Tic-Tac-Toe)怎么样呢?几乎所有的游戏入门教学都会用到它,它还有着一些非常令我们满意的特性:

  • 大家之前都玩过。
  • 它的规则很简单,可以用算法实现。
  • 它具有一份确定的完善的信息
  • 它是一款对抗性的双人游戏。
  • 状态空间很简单,可以在心理上进行建模。
  • 状态空间的复杂程度足以证明算法的强大。

但是,井字游戏真的很无聊,不是吗?另外,你大概已经知道井字游戏的最佳策略,这就失去了一些吸引力。有这么多游戏可以选择,我们再选一个:四子棋(Connect Four)怎么样?除了可能比井字游戏享有更低的人气外,它不仅有上面所列举的特性,还可能让玩家不那么容易地建立四子棋状态空间的心理模型。

22.jpg

在我们的实现中,我们将使用 Hasbro(孩之宝:美国著名玩具公司)的尺寸和规则,即是 6 行 7 列,其中垂直、水平和对角线棋子数相连为 4 就算胜利。棋子会从上方落下,并借助重力落在自底向上数的第一个空槽。

不过在我们继续讲述之前,要先说明一下。如果你有信心,你可以自己去实现任何你想要的游戏,只要它遵守给定的游戏 API。只是当你搞砸了,不能用的时候不要来抱怨。请记住,像国际象棋和围棋这样的游戏太复杂了,即使是 MCTS 也无法(有效地)独自解决;谷歌在 AlphaGo 中通过向 MCTS 添加有效的机器学习策略来解决这个问题。如果你想玩自己的游戏,你可以跳过接下来的两个部分。

实现四子棋游戏

现在,直接将 game.js 改名为 game-c4.js,将类改名为 Game_C4。同时,创建两个新类:State_C4state-c4.js 中表示游戏状态,Play_C4play-c4.js 中表示状态转换。

虽然这不是本文的主要内容,但是你自己会如何构建呢?

  • 你会如何在 State_C4 中表示一个游戏状态呢?
  • Play_C4 中,你将如何表示一个状态转换(例如一个动作)呢?
  • 你会如何把 State_C4Play_C4 和四子棋游戏规则 —— 用冰冷的代码放在 Game_C4 中吗?

注意,我们需要通过骨架文件 game-c4.js 中定义的高级 API 方法所要求的形式实现四子棋游戏。

你可以独立思考完成或者直接使用我完成的 play-c4.jsstate-c4.jsgame-c4.js 文件。


这是一个工作量很大的活,不是吗?至少对我来说是这样的。这段代码需要一些 JavaScript 知识,但应该还是很容易读懂的。最重要的工作在 Game_C4.winner() 中 —— 它用于在四个独立的棋盘中建立积分系统,而所有的棋盘都在 checkBoards 里面。每个棋盘都有一个可能的获胜方向(水平、垂直、左对角线或右对角线)。我们需要确保棋盘的三个面比实际棋盘大,方便为算法提供零填充。

我相信还有更好的方法。Game.winner() 的运行时性能并不是很好,具体来说,在大 O 表示法中,它是 O(rows * cols),所以性能并不是很好。通过在状态对象中存储 checkBoards,并且只更新 checkBoards 中最后改变状态的单元格(也会包含在状态对象中),可以大幅改善运行时性能,也许你以后可以尝试这个优化方法。

运行四子棋游戏

此时,我们将通过模拟 1000 次四子棋游戏来测试 Game_C4。点击获取 test-game-c4.js 文件。

在终端上运行 node test-game-c4.js。在一个相对现代的处理器和最新版本的 Node.js 上,运行 1000 次迭代应该会在一秒钟内完成:

$ node test-game-c4.js

[ [ 0, 0, 0, 0, 0, 0, 2 ],
  [ 0, 2, 0, 0, 0, 0, 2 ],
  [ 0, 1, 0, 1, 2, 1, 2 ],
  [ 0, 2, 1, 2, 2, 1, 2 ],
  [ 0, 1, 1, 2, 1, 2, 1 ],
  [ 0, 1, 2, 1, 1, 2, 1 ] ]
0.549

二号棋手在内部用 -1 表示,这是为了方便 game-c4.js 的计算。用 2 代替 -1 的那段代码只是为了对齐棋盘输出结果。为了简便起见,程序只输出了一块棋盘,但它确实玩了另外的 999 次四子棋游戏。在单个棋盘输出之后,它应该输出一号棋手在所有 1000 盘棋中获胜的分数 —— 预计数值在 55% 左右,因为第一个棋手有先发优势。

分析现在的状况

我们已经实现一个带有 API 方法并且可以运行的游戏,这些 API 方法可以与 State 对象表示的游戏状态协同运行。我们现在的状况如何?

目标:实现蒙特卡洛树搜索(MCTS)算法来玩一个给定规则的游戏。

当然,我们还没有达到目的。刚才我们完成了一件非常重要的事情:让它设立一个切实的目标,并组成测试我们实现 MCTS 的核心模块。现在,我们进入正题。

实现蒙特卡洛树搜索

阅读上一篇文章 —— 尤其是 MCTS 详解部分 —— 应该有助于理解本文的其他内容。在这里,我将按照 MCTS 详解中类似的组织方式,我也会在一些地方用自己的话来阐明某些观点。

实现搜索树节点

33.jpg

为了存储从这些模拟中获得的统计信息,MCTS 从头开始建立了自己的搜索树。

现在请你回顾树结构知识。MCTS 是一个树结构搜索,因此我们需要使用树节点。我们将在 monte-carlo-node.jsMonteCarloNode 类中实现这些节点。然后,我们将在 MonteCarlo 中使用它来构建搜索树。

/** 代表搜索树中一个节点的类。 */
class MonteCarloNode {

  constructor(parent, play, state, unexpandedPlays) {
    
    this.play = play
    this.state = state

    // 蒙特卡洛的内容
    this.n_plays = 0
    this.n_wins = 0

    // 树结构的内容
    this.parent = parent
    this.children = new Map()
    for (let play of unexpandedPlays) {
      this.children.set(play.hash(), { play: play, node: null })
    }
  }

  ...

先再确认一下是否能够理解这些:

  • parentMonteCarloNode 父节点。
  • play 是指从父节点到这个节点所做的 Play
  • state 是指与该节点相关联的游戏 State
  • unexpandedPlaysPlays 的一个合法数组,可以从这个节点进行。
  • this.children 是由 unexpandedPlays 创建的,是 Plays 指向子节点 MonteCarloNodes 的一个 Map 对象(不完全是,见下文)。

MonteCarloNode.children 是一个从游戏哈希到对象的映射,包含游戏对象和相关的子节点。我们在这里包含了游戏对象,以便从它们的哈希中恢复游戏对象。

重要的是,PlayState 应该提供 hash() 方法。我们将在一些地方使用这些哈希作为 JavaScript 的 Map 对象,比如在 MonteCarloNode.children 中。

请注意,两个 State 对象应该被 State.hash() 认为是不同的 —— 即使它们有相同的棋盘状态 —— 如果每个对象通过不同的下棋顺序达到相同的棋盘状态。考虑到这一点,我们可以简单地让 State.hash() 返回一个字符串化的 Play 对象的有序数组,代表为达到该状态而下的棋。如果你获取了我的 state-c4.js,这个已经完成了。

现在我们将为 MonteCarloNode 添加成员方法。

  ...

  /** 获取对应于给定游戏的 MonteCarloNode。 */
  childNode(play) {
    // TODO
    // 返回 MonteCarloNode
  }

  /** 展开指定的 child play,并返回新的 child node。*/
  expand(play, childState, unexpandedPlays) {
    // TODO
    // 返回 MonteCarloNode
  }

  /** 从这个节点 node 获取所有合法的 play。*/
  allPlays() {
    // TODO
    // 返回 Play[]
  }

  /** 从这个节点 node 获取所有未展开的合法 play。 */
  unexpandedPlays() {
    // TODO
    // 返回 Play[]
  }

  /** 该节点是否完全展开。 */
  isFullyExpanded() {
    // TODO
    // 返回 bool
  }

  /** 该节点 node 在游戏树中是否为终端,
    不包括因获胜而终止游戏。 */
  isLeaf() {
    // TODO
    // 返回 bool
  }
  
  /** 获取该节点 node 的 UCB1 值。 */
  getUCB1(biasParam) {
    // TODO
    // 返回 number
  }
}

module.exports = MonteCarloNode

方法可真多!

特别是,MonteCarloNode.expand()MonteCarloNode.children 中未展开的空节点替换为实节点。这个方法将是四阶段的 MCTS 算法中阶段二:扩展的一部分,其他方法自行理解。

通常你可以自己实现这些,也可以获取完成的 monte-carlo-node.js。即使你自己做,我也建议在继续之前对照我完成的程序进行检查,以确保正常运行。

如果你刚获取到我完成的程序,请快速浏览一下源代码,就当是另一个心理检查点,重新梳理你的整体理解。这些都是简短的方法,你会在短时间内看懂它们。

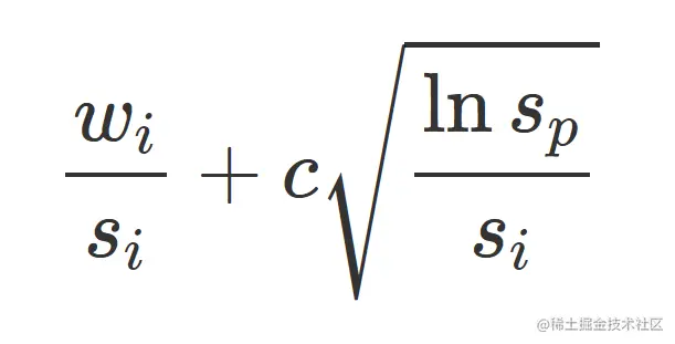
44.png

尤其是 MonteCarloNode.getUCB1() 几乎是将上面的公式直接翻译成代码。这整个公式在上一篇文章中有详细的解释,再去看一下吧,这并不难理解,也是值得看的。

更新蒙特卡洛的类

目前的版本是 monte-carlo-v1.js,只是一个骨架文件。该类的第一个更新是增加 MonteCarloNode,并创建一个构造函数。

const MonteCarloNode = require('./monte-carlo-node.js')

/** 表示蒙特卡洛搜索树的类。 */
class MonteCarlo {
    
  constructor(game, UCB1ExploreParam = 2) {
    this.game = game
    this.UCB1ExploreParam = UCB1ExploreParam
    this.nodes = new Map() // map: State.hash() => MonteCarloNode
  }

  ...

MonteCarlo.nodes 允许我们获取任何给定状态的节点,这将是有用的。至于其他的成员变量,将它们与 MonteCarlo 联系起来就很有意义了。

  ...

  /** 如果给定的状态不存在,就创建空节点。 */
  makeNode(state) {
    if (!this.nodes.has(state.hash())) {
      let unexpandedPlays = this.game.legalPlays(state).slice()
      let node = new MonteCarloNode(null, null, state, unexpandedPlays)
      this.nodes.set(state.hash(), node)
    }
  }

  ...

以上代码让我们可以创建根节点,还可以创建任意节点,这可能很有用。

  ...

  /** 从给定的状态,反复运行 MCTS 来建立统计数据。 */
  runSearch(state, timeout = 3) {

    this.makeNode(state)

    let end = Date.now() + timeout * 1000
    while (Date.now() < end) {

      let node = this.select(state)
      let winner = this.game.winner(node.state)

      if (node.isLeaf() === false && winner === null) {
        node = this.expand(node)
        winner = this.simulate(node)
      }
      this.backpropagate(node, winner)
    }
  }

  ...

最后,我们来到了算法的核心部分。引用第一篇文章的内容,以下是过程描述:

  1. 在第 (1) 阶段,利用现有的信息反复选择连续的子节点,直至搜索树的末端。
  2. 接下来,在第 (2) 阶段,通过增加一个节点来扩展搜索树。
  3. 然后,在第 (3) 阶段,模拟运行到最后,决定胜负。
  4. 最后,在第 (4) 阶段,所选路径中的所有节点都会用模拟游戏中获得的新信息进行更新。

这四个阶段的算法反复运行,直至收集到足够的信息,产生一个好的移动结果。

  ...

  /** 从现有的统计数据中获得最佳的移动。 */
  bestPlay(state) {
    // TODO
    // 返回 play
  }

  /** 第一阶段:选择。选择直到不完全展开或叶节点。 */
  select(state) {
    // TODO
    // 返回 node
  }

  /** 第二阶段:扩展。随机展开一个未展开的子节点。 */
  expand(node) {
    // TODO
    // 返回 childNode
  }

  /** 第三阶段:模拟。游戏到终止状态,返回获胜者。 */
  simulate(node) {
    // TODO
    // 返回 winner
  }

  /** 第四阶段:反向传播。更新之前的统计数据。 */
  backpropagate(node, winner) {
    // TODO
  }
}

接下来讲解四个阶段具体的实现方法,我们现在的版本是 monte-carlo-v2.js

实现 MCTS 第一阶段:选择

55.jpg

从搜索树的根节点开始,我们通过反复选择一个合法移动,前进到相应的子节点来向下移动。如果一个节点中的一个、几个或全部合法移动在搜索树中没有对应的节点,我们就停止选择。

  ...  

  /** 第一阶段:选择。选择直到不完全展开或叶节点。 */
  select(state) {

    let node = this.nodes.get(state.hash())
    while(node.isFullyExpanded() && !node.isLeaf()) {

      let plays = node.allPlays()
      let bestPlay
      let bestUCB1 = -Infinity

      for (let play of plays) {
        let childUCB1 = node.childNode(play)
                            .getUCB1(this.UCB1ExploreParam)
        if (childUCB1 > bestUCB1) {
          bestPlay = play
          bestUCB1 = childUCB1
        }
      }
      node = node.childNode(bestPlay)
    }
    return node
  }

  ...

该函数通过查询每个子节点的 UCB1 值,使用现有的 UCB1 统计。选择 UCB1 值最高的子节点,然后对所选子节点的子节点重复这个过程,以此类推。

当循环终止时,保证所选节点至少有一个未展开的子节点,除非该节点是叶子节点。这种情况是由调用函数 MonteCarlo.runSearch() 处理的,所以我们在这里不必担心。

实现 MCTS 第二阶段:扩展

66.jpg

停止选择后,搜索树中至少会有一个未展开的移动。现在,我们随机选择其中的一个,然后我们创建该移动对应的子节点(图中加粗)。我们将这个节点作为子节点添加到选择阶段最后选择的节点上,扩展搜索树。节点中的统计信息初始化为 0 次模拟中的 0 次胜利。

  ...

  /** 第二阶段:扩展。随机展开一个未展开的子节点。 */
  expand(node) {

    let plays = node.unexpandedPlays()
    let index = Math.floor(Math.random() * plays.length)
    let play = plays[index]

    let childState = this.game.nextState(node.state, play)
    let childUnexpandedPlays = this.game.legalPlays(childState)
    let childNode = node.expand(play, childState, childUnexpandedPlays)
    this.nodes.set(childState.hash(), childNode)

    return childNode
  }

  ...

再来看一下 MonteCarlo.runSearch()。扩展是在检查 if (node.isLeaf() === false && winner === null) 时完成的。很明显,如果在游戏树中没有可能的子节点 —— 例如,当棋盘满了的时候,是不可能进行扩展的。如果有赢家的话,我们也不想扩展 —— 这就像说当你的对手赢了的时候你应该停止玩游戏一样明显。

那么如果是叶子节点,会发生什么呢?我们只需用在该节点中获胜的人进行反向传播 —— 无论是玩家 1,玩家 -1,甚至是 0(平局)。同样,如果在任何节点上有一个非空的赢家,我们只需跳过扩展和模拟,并立即与该赢家(1-10)进行反向传播。

反向传播 0 赢家是什么意思?用 MCTS 真的可以吗?真的可以用,后面再细讲。

实现 MCTS 第三阶段:模拟

77.jpg

从扩张阶段新建立的节点开始,随机选择棋步,反复推进对局状态。这样重复进行,直到对局结束,出现赢家。在此阶段不创建新节点。

  ...
  
  /** 第三阶段:模拟。游戏到终止状态,返回获胜者。 */
  simulate(node) {

    let state = node.state
    let winner = this.game.winner(state)

    while (winner === null) {
      let plays = this.game.legalPlays(state)
      let play = plays[Math.floor(Math.random() * plays.length)]
      state = this.game.nextState(state, play)
      winner = this.game.winner(state)
    }

    return winner
  }

  ...

因为这里没有保存任何东西,所以这主要涉及到 Game,而 MonteCarloNode 的内容不多。

再看一下 MonteCarlo.runSearch(),模拟是在与扩展一样的检查 if (node.isLeaf() === false && winner === null) 时完成的。原因是:如果这两个条件之一成立,那么最后的赢家就是当前节点的赢家,我们只是用这个赢家进行反向传播。

实现 MCTS 第四阶段:反转

88.jpg

模拟阶段结束后,所有被访问的节点(图中粗体)的统计数据都会被更新。每个被访问的节点的模拟次数都会递增。根据哪个玩家获胜,其获胜次数也可能递增。在图中,蓝节点赢了,所以每个被访问的红节点的胜利数都会递增。这种反转是由于每个节点的统计数据是用于其父节点的选择,而不是它自己的。

  ...

  /** 第四阶段:反向传播。更新之前的统计数据。 */
  backpropagate(node, winner) {
    while (node !== null) {
      node.n_plays += 1
      // 父节点的选择
      if (node.state.isPlayer(-winner)) {
        node.n_wins += 1
      }
      node = node.parent
    }
  }
}

module.exports = MonteCarlo

这是影响下一次迭代搜索中选择阶段的部分。请注意,这假设是一个两人游戏,允许在 node.state.isPlayer(-winner) 中进行反转。你也许可以把这个函数泛化为 n 人游戏,做成 node.parent.state.isPlayer(winner) 之类的。

想一想,反向传播 0 赢家是什么意思?这相当于一盘平局,每个访问节点的 n_plays 统计数据都会增加,而玩家 1 和玩家 -1n_wins 统计数据都不会增加。这种更新的行为就像两败俱伤的游戏,将选择推向其他游戏。最后,以平局结束的游戏和以失败结束的游戏一样,都有可能得不到充分的开发。这并没有破坏任何东西,但它导致了当平局比输棋更可取时的次优发挥。一个快速的解决方法是在平局时将双方的 n_wins 递增一半。

实现最佳游戏选择

99.jpg

MCTS(UCT) 的妙处在于,由于它的不对称性,树的选择和成长逐渐趋向于更好的移动。最后,你得到模拟次数最多的子节点,那就是你根据 MCTS 的最佳移动结果。

  ...
  
  /** 从现有的统计数据中获得最佳的移动结果。 */  
  bestPlay(state) {

    this.makeNode(state)

    // 如果不是所有的子节点都被扩展,则信息不足
    if (this.nodes.get(state.hash()).isFullyExpanded() === false)
      throw new Error("Not enough information!")

    let node = this.nodes.get(state.hash())
    let allPlays = node.allPlays()
    let bestPlay
    let max = -Infinity

    for (let play of allPlays) {
      let childNode = node.childNode(play)
      if (childNode.n_plays > max) {
        bestPlay = play
        max = childNode.n_plays
      }
    }

    return bestPlay
  }

  ...

需要注意的是,选择最佳玩法有不同的策略。这里所采用的策略在文献中叫做 robust child,选择最高的 n_plays。另一种策略是 max child,选择最高的胜率 n_wins/n_plays

实现统计自检和显示

现在,你应该可以在当前版本 index-v1.js 上运行 node index.js。但是,你不会看到很多东西。要想看到里面发生了什么,我们需要完成以下事情。

monte-carlo.js 文件中:

  ...  
  
  // 工具方法

  /** 返回该节点和子节点的 MCTS 统计信息 */
  getStats(state) {

    let node = this.nodes.get(state.hash())
    let stats = { n_plays: node.n_plays, 
                  n_wins: node.n_wins, 
                  children: [] }
    
    for (let child of node.children.values()) {
      if (child.node === null) 
        stats.children.push({ play: child.play, 
                              n_plays: null, 
                              n_wins: null})
      else 
        stats.children.push({ play: child.play, 
                              n_plays: child.node.n_plays, 
                              n_wins: child.node.n_wins})
    }

    return stats
  }
}

module.exports = MonteCarlo

这让我们可以查询一个节点及其直接子节点的统计数据。做完这些,我们就完成了 MonteCarlo。你可以用你所拥有的东西来运行,也可以选择获取我完成的 monte-carlo.js。请注意,在我完成的版本中,bestPlay() 上有一个额外的参数来控制使用的最佳玩法策略。

现在,将 MonteCarlo.getStats() 整合到 index.js 中,或者获取我的完整版 index.js 文件。

接着运行 node index.js

$ node index.js

player: 1
[ [ 0, 0, 0, 0, 0, 0, 0 ],
  [ 0, 0, 0, 0, 0, 0, 0 ],
  [ 0, 0, 0, 0, 0, 0, 0 ],
  [ 0, 0, 0, 0, 0, 0, 0 ],
  [ 0, 0, 0, 0, 0, 0, 0 ],
  [ 0, 0, 0, 0, 0, 0, 0 ] ]
{ n_plays: 3996,
  n_wins: 1664,
  children: 
   [ { play: Play_C4 { row: 5, col: 0 }, n_plays: 191, n_wins: 85 },
     { play: Play_C4 { row: 5, col: 1 }, n_plays: 513, n_wins: 287 },
     { play: Play_C4 { row: 5, col: 2 }, n_plays: 563, n_wins: 320 },
     { play: Play_C4 { row: 5, col: 3 }, n_plays: 1705, n_wins: 1094 },
     { play: Play_C4 { row: 5, col: 4 }, n_plays: 494, n_wins: 275 },
     { play: Play_C4 { row: 5, col: 5 }, n_plays: 211, n_wins: 97 },
     { play: Play_C4 { row: 5, col: 6 }, n_plays: 319, n_wins: 163 } ] }
chosen play: Play_C4 { row: 5, col: 3 }

player: 2
[ [ 0, 0, 0, 0, 0, 0, 0 ],
  [ 0, 0, 0, 0, 0, 0, 0 ],
  [ 0, 0, 0, 0, 0, 0, 0 ],
  [ 0, 0, 0, 0, 0, 0, 0 ],
  [ 0, 0, 0, 0, 0, 0, 0 ],
  [ 0, 0, 0, 1, 0, 0, 0 ] ]
{ n_plays: 6682,
  n_wins: 4239,
  children: 
   [ { play: Play_C4 { row: 5, col: 0 }, n_plays: 577, n_wins: 185 },
     { play: Play_C4 { row: 5, col: 1 }, n_plays: 799, n_wins: 277 },
     { play: Play_C4 { row: 5, col: 2 }, n_plays: 1303, n_wins: 495 },
     { play: Play_C4 { row: 4, col: 3 }, n_plays: 1508, n_wins: 584 },
     { play: Play_C4 { row: 5, col: 4 }, n_plays: 1110, n_wins: 410 },
     { play: Play_C4 { row: 5, col: 5 }, n_plays: 770, n_wins: 265 },
     { play: Play_C4 { row: 5, col: 6 }, n_plays: 614, n_wins: 200 } ] }
chosen play: Play_C4 { row: 4, col: 3 }

...

winner: 2
[ [ 0, 0, 2, 2, 2, 0, 0 ],
  [ 1, 0, 2, 2, 1, 0, 1 ],
  [ 2, 0, 2, 1, 1, 2, 2 ],
  [ 1, 0, 1, 1, 2, 1, 1 ],
  [ 2, 0, 2, 2, 1, 2, 1 ],
  [ 1, 0, 2, 1, 1, 2, 1 ] ]

完美!

总结

本文主要讲述如何使用 Node.js 实现蒙特卡洛树搜索,希望大家喜欢。下一篇文章将介绍如何优化,以及蒙特卡洛树搜索(MCTS)的现状。

感谢你的阅读!

如果发现译文存在错误或其他需要改进的地方,欢迎到 掘金翻译计划 对译文进行修改并 PR,也可获得相应奖励积分。文章开头的 本文永久链接 即为本文在 GitHub 上的 MarkDown 链接。


掘金翻译计划 是一个翻译优质互联网技术文章的社区,文章来源为 掘金 上的英文分享文章。内容覆盖 AndroidiOS前端后端区块链产品设计人工智能等领域,想要查看更多优质译文请持续关注 掘金翻译计划官方微博知乎专栏